CONTEÚDO
RESOLUÇÃO PREVIC Nº 23, DE 14.08.2023(*)
Estabelece procedimentos para aplicação das normas relativas às atividades desenvolvidas pela Superintendência Nacional de Previdência Complementar, bem como normas complementares às diretrizes do Conselho Nacional de Previdência Complementar e do Conselho Monetário Nacional.
XA DIRETORIA COLEGIADA DA SUPERINTENDÊNCIA NACIONAL DE PREVIDÊNCIA COMPLEMENTAR (PREVIC), na sessão 652º, realizada em 14 de agosto de 2023, com fundamento na Lei Complementar nº 109, de 29 de maio de 2001, na Lei nº 12.154, de 23 de dezembro de 2009, e no Decreto nº 11.241, de 18 de outubro de 2022, resolve:
(Nota: sobre a Resolução Previc 23/2023, vide também "Consolidado e comentários à Resolução Previc 23/2023")
CAPÍTULO I
DAS DISPOSIÇÕES GERAIS
Art. 1º Esta Resolução estabelece os procedimentos para a aplicação das normas relativas às atividades desenvolvidas pela Superintendência Nacional de Previdência Complementar - Previc, bem como normas complementares às diretrizes do Conselho Nacional de Previdência Complementar - CNPC e do Conselho Monetário Nacional - CMN.
Art. 2º No desenvolvimento de suas atividades de supervisão e licenciamento, a Previc deverá considerar o porte, a diversidade, a complexidade e os riscos atinentes às entidades fechadas de previdência complementar - EFPC e aos planos de benefícios por elas administrados.
Art. 3º Considerando o disposto no art. 1º da Resolução CGPC nº 13, de 1º de outubro de 2004, as EFPC serão enquadradas, em decorrência da soma dos fatores de porte e de complexidade, em um dos seguintes segmentos:
Art. 3º Considerando o disposto no art. 1º da Resolução CGPC nº 13, de 1º de outubro de 2004, as EFPC, exceto aquelas que se encontram sob regimes especiais de intervenção ou liquidação, serão enquadradas, em decorrência da soma dos fatores de porte e de complexidade, em um dos seguintes segmentos:
(Nota: caput do art. 3º alterado pela Resolução Previc nº 26, de 16.12.2025)
I - Segmento 1 (S1), quando o resultado for maior que 7;
II - Segmento 2 (S2), quando o resultado for maior que 5 e menor ou igual a 7;
III - Segmento 3 (S3), quando o resultado for maior que 3 e menor ou igual a 5; ou
IV - Segmento 4 (S4), quando o resultado for menor ou igual a 3.
§ 1º O fator de porte será definido considerando a soma das provisões matemáticas dos planos de benefícios administrados pela EFPC, face ao total das provisões matemáticas de todas as EFPC, atribuindo-se valor referencial de 1 a 4.
§ 2º O fator de complexidade, cujo valor referencial será de 1 a 4, constitui uma média ponderada dos seguintes critérios:
a) número total de participantes e assistidos;
b) número de patrocinadores;
c) número e modalidade de planos de benefícios;
d) valor do exigível contingencial face ao total de ativos; e
e) valor total dos fluxos previdenciários.
Art. 4º A Diretoria de Normas da Previc publicará, até o dia 30 de junho de cada exercício, a fórmula de cálculo utilizada para definição dos fatores de porte e de complexidade, assim como a relação de entidades enquadradas em cada segmento para o exercício social seguinte.
Art. 4º A Diretoria de Normas da Previc publicará, até o dia 31 de agosto de cada exercício, a fórmula de cálculo utilizada para definição dos fatores de porte e de complexidade, assim como a relação de entidades enquadradas em cada segmento para o exercício social seguinte.
(Nota: caput do art. 4º alterado pela Resolução Previc nº 26, de 16.12.2025)
Parágrafo único. Para fins de enquadramento serão utilizadas as informações das EFPC relativas ao mês de dezembro do exercício anterior.
(Nota: sobre a segmentação das EFPC, vide também Portaria Previc nº 539, de 2025)
CAPÍTULO II
DAS REGRAS RELATIVAS À GOVERNANÇA
Seção I
Estrutura de Governança
Art. 5º A estrutura organizacional mínima das EFPC é constituída de conselho deliberativo, conselho fiscal e diretoria-executiva.
Parágrafo único. Podem ser criadas outras instâncias de governança de caráter consultivo ou deliberativo, desde que vinculadas e subordinadas ou complementares àquelas previstas no caput, considerando, entre outros fatores, o porte, a complexidade e o número de planos de benefícios e patrocinadores da EFPC.
Seção II
Funcionamento dos Órgãos Estatutários
Art. 6º Os membros dos órgãos estatutários das EFPC devem exercer suas funções nos termos da lei, do estatuto e do regimento interno, quando houver.
Art. 7º O conselho deliberativo, órgão máximo da estrutura organizacional, é responsável pela definição da política geral de administração da EFPC e planos de benefícios por ela administrados e sua ação deve ser exercida por meio do estabelecimento de diretrizes e normas gerais de organização, funcionamento, administração e operação.
Parágrafo único. O conselho deliberativo, no desempenho de suas funções, deve observar os princípios, regras e práticas de governança, a gestão e os controles internos aplicáveis segundo o porte da EFPC e dos planos, a complexidade e os riscos inerentes a estes, visando à segurança da situação econômico-financeira e atuarial.
Art. 8º O conselho fiscal é o órgão de controle interno, responsável pelo acompanhamento da gestão administrativa e econômico-financeira da EFPC e de seus planos de benefícios, e deve exercer suas funções nos termos da lei, do estatuto e na forma disciplinada no regimento interno, quando houver.
§ 1º O conselho fiscal, no desempenho de suas funções, deve zelar pela gestão econômico-financeira da EFPC e dos seus planos de benefícios, observando sempre os princípios, regras e práticas de governança, gestão e controles internos adequados ao porte, à complexidade e aos riscos inerentes aos planos administrados.
§ 2º O conselho fiscal deve pautar sua atuação na análise dos atos e decisões de gestão praticados por órgãos de administração ou colegiados, comunicando eventuais irregularidades e recomendando providências sem interferência na gestão da EFPC.
§ 3º O conselho fiscal poderá contratar especialistas ou empresa especializada para a consecução dos seus objetivos, observado o disposto no art. 4º da Resolução CGPC nº 13, de 2004.
Art. 9º A diretoria-executiva é o órgão de administração e gestão da EFPC, cabendo-lhe executar as diretrizes e a política de administração estabelecidas pelo conselho deliberativo.
Parágrafo único. A diretoria-executiva deve zelar pelos interesses da EFPC e pela consecução de seus objetivos, observando sempre os princípios, regras e práticas de governança, gestão e controles internos adequados ao porte, à complexidade e aos riscos inerentes aos planos administrados, visando à segurança da situação econômico-financeira e atuarial.
Art. 10. O conselho deliberativo da entidade, ou outra instância estatutária competente, deve fixar os critérios quantitativos e qualitativos para realização de gastos com pessoal, incluindo a política de remuneração da diretoria-executiva, com definição de condicionantes e indicadores de gestão e metas, consoante com os objetivos da entidade de previdência, observado o disposto no art. 10, inciso III, da Resolução CNPC nº 48, de 2021.
Art. 11. As reuniões ordinárias e extraordinárias dos órgãos estatutários das EFPC devem seguir o disposto no estatuto e no regimento interno, quando houver.
Art. 12. Os conselheiros suplentes de órgãos estatutários previstos no estatuto ou no regimento interno, quando houver, somente devem substituir os respectivos titulares nas hipóteses de impedimentos e afastamentos registrados em ata.
Art. 13. Em acréscimo ao estatuto e aos regulamentos dos planos, as EFPC podem adotar regimento interno para disciplinar sobre o funcionamento dos órgãos estatutários e outras unidades organizacionais.
§ 1º O regimento interno é norma complementar ao estatuto da EFPC, que é a sua norma soberana, recomendando-se seja único para todos os órgãos estatutários e aprovado pelo Conselho Deliberativo.
§ 2º O regimento interno deve dispor, no mínimo, sobre as reuniões ordinárias e extraordinárias dos órgãos estatutários, seu sistema de deliberação e de documentação, hipóteses e modo de substituição temporária dos seus membros.
§ 3º O regimento interno não deve ser submetido à análise e aprovação da Diretoria de Licenciamento, devendo, contudo, permanecer na EFPC à disposição da Previc.
Art. 13-A. É recomendável para as EFPC classificadas no segmento S1 e S2:
I - a adoção de programa de integridade, em observância ao disposto na Lei nº 12.846, de 2013; e
II - a adoção de programa que promova a diversidade, equidade e inclusão - DEI na estrutura de governança da EFPC, inclusive para sua política de pessoal.
(Nota: art. 13-A incluído pela Resolução Previc nº 26, de 16.12.2025)
Seção III
Auditoria Interna
Art. 14. O conselho deliberativo poderá instituir auditoria interna que a ele se reporte, para avaliar de maneira independente os controles internos da EFPC.
§ 1º A atividade de auditoria interna de que trata o caput poderá ser realizada por auditor independente devidamente habilitado, na forma da regulamentação vigente, desde que este não seja responsável pela auditoria das demonstrações contábeis da entidade ou por qualquer outra atividade com potencial conflito de interesses.
§ 2º É recomendado que a permanência na função de responsável pela auditoria interna própria seja de três anos consecutivos, com a possibilidade de prorrogação, uma única vez, por igual período.
§ 3º Caso a EFPC opte por contratação de empresa de auditoria para realização dos trabalhos de auditoria interna, a EFPC deve promover, em no máximo cinco exercícios sociais consecutivos, a substituição do responsável técnico, do diretor, do gerente e de qualquer outro integrante com função de gerência da equipe envolvida nos trabalhos de auditoria interna terceirizada.
§ 4º A contagem de prazo para o disposto no § 3º inicia-se a partir da última substituição do responsável técnico, do diretor, do gerente e de qualquer outro integrante com função de gerência da equipe envolvida nos trabalhos de auditoria terceirizada.
§ 5º O retorno do responsável técnico, do diretor, do gerente e de qualquer outro integrante com função de gerência da equipe envolvida nos trabalhos de auditoria, somente poderá ocorrer após decorridos três exercícios sociais contados a partir da data de sua substituição.
Seção IV
Comitê de Auditoria
Art. 15. É obrigatória, nos termos do art. 8º da Resolução CNPC nº 44, de 2021, a constituição de Comitê de Auditoria para as EFPC enquadradas no segmento S1.
Parágrafo único. As EFPC mencionadas no caput devem constituir Comitê de Auditoria até 31 de dezembro do ano subsequente à publicação de seu enquadramento no segmento S1 pela Previc.
Art. 16. Os integrantes do Comitê de Auditoria devem cumprir, no mínimo, os seguintes requisitos para nomeação ou recondução:
I - não ter exercido cargo ou exercer, no exercício social corrente e no anterior:
a) de diretor da EFPC;
b) de membro responsável pela equipe de auditoria independente na EFPC; e
c) de membro do conselho fiscal e deliberativo da EFPC.
II - não ser cônjuge, parente em linha reta ou colateral, até o terceiro grau, e por afinidade, até o segundo grau, das pessoas referidas nas alíneas "a" a "c" no inciso anterior; e
III - não receber qualquer outro tipo de remuneração da EFPC, que não seja aquela relativa à sua função de integrante do Comitê de Auditoria, excluída a percepção de benefícios.
Art. 17. O Comitê de Auditoria deve ser vinculado ao Conselho Deliberativo da EFPC.
Art. 18. O Comitê de Auditoria pode, no âmbito de suas atribuições, ser assessorado por especialistas, sem eximir-se de suas responsabilidades.
Art. 19. O Comitê de Auditoria deve elaborar relatório até 30 de junho do exercício social subsequente, contendo, no mínimo, as seguintes informações:
I - atividades exercidas no período, no âmbito de suas atribuições;
II - manifestação sobre a efetividade dos controles internos da EFPC, com evidenciação das deficiências detectadas;
III - manifestação sobre a efetividade da auditoria independente e da auditoria interna, quando houver, inclusive com relação à verificação do cumprimento de dispositivos legais e normativos aplicáveis à EFPC, além de seus regulamentos e códigos internos, com evidenciação das deficiências detectadas;
IV - descrição das recomendações apresentadas à Diretoria Executiva, se houver, especificando aquelas não acatadas, com as respectivas justificativas; e
V - manifestação sobre a adequação das demonstrações contábeis às práticas contábeis adotadas no Brasil e especificadas também nas normas editadas pelo Conselho Nacional de Previdência Complementar e pela Previc.
Parágrafo único. As EFPC devem manter à disposição da Previc o relatório disposto no caput, pelo prazo mínimo de 5 (cinco) anos de sua elaboração, podendo ser armazenado em formato digital, com garantia de autenticidade.
Seção V
Auditor Independente
Art. 20. As EFPC devem contratar auditor independente para produzir, anualmente, os seguintes relatórios:
I - relatório sobre as demonstrações contábeis, em conformidade com as normas brasileiras e internacionais de auditoria aprovadas pelo Conselho Federal de Contabilidade;
II - relatório circunstanciado sobre as deficiências de controles internos, identificadas as respectivas recomendações em consonância com a Norma Brasileira de Contabilidade para Trabalhos de Auditoria - Comunicação de Deficiências de Controle Interno; e
III - relatório para propósito específico, no qual deve ser avaliada a adequação dos controles internos aos riscos suportados, bem como a governança da EFPC.
Parágrafo único. § 1º - O relatório requerido no inciso III é exigido, em observância ao disposto no § 2º do art. 13 da Resolução CNPC nº 44, de 2021, apenas para as EFPC classificadas pela Previc no segmento S1.
§ 2º Para as EFPC classificadas pela Previc nos segmentos S1 e S2 é também recomendada a realização, pelo menos a cada cinco exercícios, de auditorias atuariais e de benefícios nos seus planos de benefícios, com a produção dos respectivos relatórios por auditores independentes.
(Nota: parágrafo único renumerado e incluído parágrafo 2º pela Resolução Previc nº 26, de 16.12.2025)
Art. 21. O relatório para propósito específico, de que trata o inciso III do art. 20, deve levar em consideração os principais processos existentes na EFPC, abrangendo aspectos relativos a:
I - governança;
II - avaliação e decisão de investimentos;
III - contingências judiciais;
IV - cadastro e concessão de benefícios; e
V - atuária.
§ 1º Em relação à governança, o relatório deve abordar os aspectos relativos aos processos da EFPC que tratem dos controles para tomada de decisão, conflito de interesses, relacionamento com patrocinadores, concentração de poder e segregação de funções, comunicação e fluxo de informações, e contratação de serviços técnicos especializados.
§ 2º Em relação à avaliação e à decisão de investimentos, o relatório deve abordar o estabelecimento de alçadas de decisão, controles e avaliação de riscos, observância à política de investimentos e à legislação vigente no que se refere à aplicação dos recursos dos planos de benefícios.
§ 3º Em relação às contingências judiciais, o relatório deve tratar do acompanhamento dos processos judiciais, dos critérios de gradação de risco, da razoabilidade das estimativas dos processos contingentes e do tratamento contábil adequado, bem como acompanhamento dos depósitos judiciais junto às instituições financeiras.
§ 4º Em relação ao cadastro e à concessão de benefícios, o relatório deve tratar dos procedimentos adotados referentes à integridade do cadastro, à atualização das provisões matemáticas, ou das contas individuais dos participantes, às rotinas relativas aos pagamentos de benefícios e à conciliação contábil.
§ 5º Em relação aos aspectos atuariais, o relatório deve abordar a adequação dos regimes financeiros, métodos de financiamento, evolução das provisões matemáticas e do resultado atuarial, evolução dos custos e do plano de custeio, assim como a adequação e a aderência das hipóteses atuariais à massa coberta pelo plano de benefícios.
Art. 21-A. A EFPC, ao contratar auditoria independente, deve exigir do responsável técnico pela auditoria independente certificação específica para atuação de auditor em EFPC, emitida pelo Conselho Federal de Contabilidade.
Parágrafo único. Os relatórios dos auditores independentes devem ser assinados pelo responsável técnico pela auditoria independente, devidamente certificado, com a indicação do número de registro no Conselho Regional de Contabilidade.
(Nota: art. 21-A incluído pela Resolução Previc nº 25/2024)
Seção VI
Habilitação de Dirigente
Art. 22. A EFPC deverá enviar à Previc, para fins de habilitação, a documentação comprobatória de atendimento aos requisitos exigidos para o exercício dos cargos definidos na legislação.
Parágrafo único. A EFPC enquadrada nos segmentos S3 ou S4 deverá enviar os dados relativos aos membros do conselho fiscal e do conselho deliberativo apenas por meio do Cadastro Nacional de Dirigentes (Cand), considerando-se automaticamente habilitado o dirigente, o que não exime o cumprimento de todos os requisitos exigidos pela legislação, que poderão ser aferidos a qualquer tempo pela Previc.
Art. 22. A EFPC, observado plano de sucessão, deverá enviar à Previc, para fins de habilitação, no prazo mínimo de trinta dias antes da posse, a documentação comprobatória de atendimento aos requisitos exigidos para o exercício dos cargos definidos na legislação.
§ 1º A EFPC enquadrada nos segmentos S3 ou S4 deverá enviar os dados relativos aos membros do conselho fiscal e do conselho deliberativo apenas por meio do sistema informatizado indicado no sítio eletrônico da autarquia, considerando-se automaticamente habilitado o dirigente, o que não exime o cumprimento de todos os requisitos exigidos pela legislação, que poderão ser aferidos a qualquer tempo pela Previc.
§ 2º É vedada a posse e entrada em exercício antes da conclusão do processo de habilitação.
(Nota: art. 22 alterado pela Resolução Previc nº 26, de 16.12.2025)
Art. 23. A EFPC enquadrada no segmento S1 deverá, antes do envio da documentação para a Previc, providenciar a publicação de declaração de propósitos, cujos nomes não tenham sido anteriormente aprovados pela Previc para o exercício de tais cargos nas referidas instituições.
§1º A declaração de propósito deverá ser publicada no sítio eletrônico da entidade, de acordo com modelo disponibilizado pela Previc.
§2º O prazo para apresentação à EFPC de objeções por parte do público em decorrência da publicação de propósito será de dez dias, contados da data da divulgação do comunicado pela entidade de previdência.
§3º Eventuais objeções e respectivas análises realizadas pela EFPC deverão integrar a documentação que acompanhará o requerimento de habilitação de dirigente.
Art. 24. Eventual substituição temporária de membro de órgão para o qual se exija a habilitação, quando superior a trinta dias, deve ser exercida por profissional previamente habilitado.
Parágrafo único. § 1º Em situações excepcionais, devidamente justificadas, a Previc poderá permitir a prorrogação do prazo previsto no caput, sem prejuízo do encaminhamento imediato de solicitação de habilitação do substituto.
§ 2º Na hipótese de não realização tempestiva e prévia do processo seletivo previsto na legislação vigente aplicável, excepcionalmente, deverá ser requerida pela EFPC a habilitação de empregado ou dirigente que já presta serviço à mesma para o exercício de cargo na condição de interino, por prazo não superior a seis meses, condicionada à apresentação de cronograma para a realização do processo seletivo, sem prejuízo de apuração de responsabilidade.
(Nota: parágrafo único renumerado para 1º e parágrafo 2º incluído pela Resolução Previc nº 25/2024)
Art. 25. São considerados requisitos mínimos para habilitação:
I - ter comprovada experiência de, no mínimo, três anos no exercício de atividades nas áreas financeira, administrativa, contábil, jurídica, de fiscalização, de atuária, de previdência complementar ou de auditoria, nos termos da legislação aplicável;
II - não ter sofrido penalidade administrativa por infração da legislação da seguridade social, inclusive da previdência complementar, ou como servidor público;
III - não ter sofrido condenação criminal transitada em julgado; e
IV - ter reputação ilibada.
§1º A experiência de que trata o inciso I poderá ser comprovada mediante certificado emitido por instituição certificadora reconhecida pela Previc, que poderá ser dispensado para dirigentes de EFPC em fase de encerramento
§2º Para fins de avaliação do cumprimento do requisito mencionado no inciso II do caput, serão consideradas apenas as penalidades de suspensão ou de inabilitação com trânsito em julgado.
§3º As condenações criminais não relacionadas com as responsabilidades de dirigente de EFPC ou com as funções inerentes ao cargo pretendido não são consideradas para fins de avaliação do requisito previsto no inciso III do caput.
§ 4º A ausência de reputação ilibada será configurada pela verificação de condenação judicial proferida por órgão colegiado, em ação de natureza criminal, ação de responsabilidade civil ou ação de improbidade administrativa, devendo a condenação possuir relação com as atividades do cargo pretendido.
§5º Os requisitos relacionados nos incisos III e IV do caput devem ser comprovados por meio de declaração assinada pelo habilitando e pelos representantes estatutários autorizados, sem prejuízo da requisição, pela Previc, da documentação pertinente, bem como da sua verificação por meio de consulta às bases de dados disponíveis.
Art. 26. O membro da diretoria-executiva indicado para a função de administrador estatutário tecnicamente qualificado (AETQ) deve possuir certificado específico para profissionais de investimentos e experiência mínima de três anos de exercício de atividades na área de investimentos.
§1º Para as EFPC dos segmentos S3 e S4, a Previc pode considerar para fins de experiência profissional do administrador estatutário tecnicamente qualificado atividades correlatas a de investimentos que suprem os requisitos para o desempenho do cargo.
§2º São considerados para fins de comprovação da experiência profissional os cargos, empregos e funções regularmente ocupados nos quinze anos que antecedem o pedido de habilitação.
Art. 27. O membro da diretoria-executiva indicado para a função de administrador estatutário tecnicamente qualificado de EFPC enquadrada no segmento S1 deve ser submetido a entrevista, previamente à emissão do atestado de habilitação, a fim de confirmar o cumprimento dos requisitos técnicos exigidos e verificar a sua efetiva aptidão técnica.
§1º A entrevista prevista no caput não se aplica aos casos de renovação de atestado de habilitação quando o habilitando tiver sido entrevistado anteriormente para o cargo de administrador estatutário tecnicamente qualificado na mesma EFPC.
§2º A entrevista será agendada mediante comunicação enviada à EFPC requerente, a quem caberá a apresentação da pessoa indicada ao cargo na data e horário marcados, realizada presencialmente ou por meio eletrônico, podendo ser gravada pelo habilitando ou pela Previc.
§3º A entrevista do indicado para o cargo de AETQ será realizada por meio de comitê composto por no mínimo três servidores, indicados pelo Diretor de Fiscalização, pelo Diretor de Normas e pelo Diretor de Licenciamento, sendo coordenada pelo servidor indicado por este último.
§ 4º Ao final da entrevista os membros do comitê decidirão, por meio de relatório técnico, se o entrevistado está apto ou não para o exercício do cargo de AETQ, com a motivação relativa à decisão adotada.
(Nota: sobre o disposto no art. 27, vide Portaria Previc nº 789, de 09.09.2024)
Art. 27-A. Mediante decisão fundamentada da Diretoria Colegiada, integrantes de diretoria-executiva e de conselhos deliberativo e fiscal de quaisquer EFPC, inclusive das que estiverem em processo de encerramento de regime especial, poderão ser convocados para a entrevista de que trata o art. 27.
(Nota: art. 27-A incluído pela Resolução Previc nº 26, de 16.12.2025)
Art. 28. A validade do atestado de habilitação deve ser de quatro anos, expirando ao final do mandato do dirigente, se ocorrer antes.
Parágrafo único. No caso de AETQ, a validade do atestado de habilitação expira na data de vencimento da certificação em investimentos, se esta ocorrer antes do prazo mencionado no caput.
Art. 29. Deve ser prorrogada automaticamente, por noventa dias, a validade do atestado de habilitação:
I - para os dirigentes que são reconduzidos ou permanecem no cargo, período no qual devem solicitar a renovação da habilitação; e
II - para os dirigentes que têm seus mandatos prorrogados, desde que fundamentado em expressa previsão estatutária ou por ato do conselho deliberativo, devendo o fato ser comunicado à Previc no prazo de dez dias.
§1º O disposto no caput é aplicável somente na hipótese em que o dirigente possua certificado válido para todo o período da prorrogação.
§2º Caso a prorrogação do mandato seja realizada por prazo superior a noventa dias, a EFPC deve solicitar a renovação da habilitação antes de finalizado esse período.
Art. 30. Fica suspensa a habilitação do dirigente:
I - durante o cumprimento de penalidade administrativa de suspensão; ou
II - enquanto não apresentado o certificado exigido para o exercício do cargo ou função, na hipótese de não encaminhamento no prazo regulamentar, até o seu vencimento.
§1º O disposto neste artigo independe de notificação específica da Diretoria de Licenciamento.
§2º É vedado ao dirigente exercer as atribuições do cargo ou função na EFPC durante a suspensão da habilitação.
Art. 31. Deve ser cancelada a habilitação do dirigente:
I - com o afastamento definitivo do cargo ou função;
II - em virtude de condenação judicial transitada em julgado ou em processo administrativo disciplinar que determina a perda do mandato;
III - em decorrência de penalidade de inabilitação confirmada pela Câmara de Recursos da Previdência Complementar; ou
IV - quando constatada falsidade de declaração ou de quaisquer outros documentos apresentados pelo requerente ou, ainda, a ocorrência de vício insanável a que deu causa no processo de habilitação.
§1º Na hipótese prevista no inciso IV do caput o cancelamento da habilitação depende de procedimento administrativo prévio e específico, assegurados o contraditório e a ampla defesa.
§2º É vedado ao dirigente exercer as atribuições do cargo ou função na EFPC após o cancelamento da habilitação.
Art. 32. O órgão estatutário competente da EFPC deve instaurar regular procedimento interno para apurar eventual descumprimento, pelos dirigentes, dos requisitos exigidos nesta Resolução para o exercício de cargo ou função.
§1º O disposto no caput aplica-se a todos os dirigentes da EFPC, habilitados ou não pela Previc.
§2º O procedimento referido no caput deve ser instaurado no prazo de sessenta dias após evidenciada a situação que possa configurar o descumprimento dos requisitos exigidos nesta seção para o exercício de cargo ou função.
§3º O prazo para a conclusão do procedimento referido no caput é de noventa dias, prorrogável por igual período apenas uma vez.
§4º A EFPC deve comunicar à Previc, no prazo de dez dias após a sua conclusão, o resultado final do procedimento referido no caput.
Art. 33. O interessado pode interpor recurso, no prazo de dez dias, contados da ciência da decisão que indeferir o requerimento de habilitação de dirigente ou que cancelar a habilitação concedida.
§1º O recurso deve ser dirigido à autoridade que proferiu a decisão, com os documentos que justifiquem a reconsideração do indeferimento ou do cancelamento da habilitação.
§2º Caso a autoridade que proferiu a decisão não a reconsiderar no prazo de cinco dias, o recurso deve ser encaminhado à Diretoria Colegiada da Previc para julgamento.
Art. 34. As intimações decorrentes das análises realizadas no âmbito dos processos referidos nesta Instrução serão encaminhadas para o endereço eletrônico cadastrado pela EFPC e para o habilitando.
Art. 35. Os nomes dos dirigentes habilitados devem ser divulgados no sítio eletrônico da Previc.
Art. 36. A EFPC deve manter permanentemente atualizado os dados cadastrais dos ocupantes de cargos na diretoria-executiva, no conselho deliberativo e no conselho fiscal.
Parágrafo único. A atualização dos dados dos dirigentes deve ser feita mediante:
I - comunicação eletrônica à Previc, no prazo de cinco dias a contar do fato que motivou a alteração dos dados cadastrais dos membros habilitados; e
II - atualização dos dados referentes aos mandatos, no Portal de Sistemas da Previc, dos membros dos conselhos deliberativo e fiscal da EFPC enquadrada no segmento S3 ou S4, no prazo de cinco dias a contar do fato que motivou a alteração.
I - comunicação eletrônica à Previc, no prazo de cinco dias a contar do fato que motivou a alteração dos dados cadastrais dos membros habilitados;
II - atualização dos dados referentes aos mandatos, no Portal de Sistemas da Previc, dos membros dos conselhos deliberativo e fiscal da EFPC enquadrada no segmento S3 ou S4, no prazo de cinco dias a contar do fato que motivou a alteração; e
III - comunicação eletrônica à Previc, no prazo de cinco dias, da data efetiva da posse dos membros do conselho deliberativo, do conselho fiscal e da diretoria-executiva, em consonância com normatização a ser expedida pela Diretoria de Licenciamento.
(Nota: incisos I e II alterados e incluído inciso III pela Resolução Previc nº 25/2024)
Art. 37. A EFPC deve observar o disposto nesta seção no curso dos processos seletivos, eleitorais e de designação para os seus mandatos, cargos ou funções nos órgãos estatutários.
Seção VII
Instituição Autônoma Certificadora e Certificados
Art. 38. A certificação deve atestar a comprovação de atendimento e a verificação de conformidade dos requisitos técnicos necessários para o exercício de determinado cargo ou função na EFPC.
Art. 39. Compete à Diretoria de Licenciamento analisar os pedidos de reconhecimento das Certificadoras e os respectivos certificados.
Art. 40. Será reconhecida a capacidade técnica da Instituição Certificadora que atender aos seguintes requisitos mínimos:
I - demonstrar capacidade para, no mínimo, três anos na emissão de certificados ou em atividades de treinamento vinculadas aos conteúdos previstos no Anexo II;
II - comprovar capacidade para a guarda, controle e renovação de certificados;
III - emitir certificado que exija conhecimento, formação e experiência compatíveis com os requisitos técnicos necessários para o exercício de cargo ou função em EFPC; e
IV - compartilhar com a Previc, semestralmente, informações acerca dos certificados emitidos, respeitados os termos da Lei nº 13.709, de 2018.
Parágrafo único. A análise do requerimento de reconhecimento do certificado deve considerar a abrangência, a profundidade e a aplicabilidade do conteúdo para fins do exercício do cargo ou função na EFPC.
Art. 41. A Instituição Certificadora deve viabilizar processo de renovação da certificação dentro do prazo máximo de quatro anos, a contar da sua emissão.
§1º O certificado pode ser renovado por meio de outras Instituições Certificadoras reconhecidas pela Previc.
§ 2º Havendo a revogação do reconhecimento da Instituição Certificadora, por deixar de atender aos requisitos mínimos, não serão mais aceitos os certificados emitidos a partir da data da revogação.
Art. 42. A Instituição Certificadora deve manter registro com informações dos profissionais certificados e respectivos certificados emitidos, especificando, no mínimo:
I - dados pessoais do profissional certificado;
II - denominação do certificado;
III - forma de avaliação;
IV - aproveitamento;
V - data de emissão; e
VI - prazo de validade.
Parágrafo único. A Previc pode solicitar, quando necessário, informações que permitam o controle da verificação dos requisitos e condições exigidas de que trata o caput.
Art. 43. Somente deve ser reconhecido certificado cujo processo de obtenção seja mediante avaliação com aprovação em exames por provas, por provas e títulos ou por experiência.
§1º A avaliação por provas deve contemplar, integral ou parcialmente, o conteúdo previsto no Anexo II.
§2º A comprovação por experiência deverá considerar as atividades desenvolvidas nos últimos quinze anos anteriores à solicitação e ser avaliada por uma banca especializada, que deverá realizar entrevista do candidato, elaborando parecer que ficará à disposição da Previc.
§3º A avaliação por experiência exigirá no mínimo três anos de exercício em cargo em corpo diretivo ou do primeiro e segundo níveis hierárquicos gerenciais, imediatamente abaixo do corpo diretivo de entidade de previdência, suas patrocinadoras, instituidoras, assim como órgãos privados ou públicos relacionados à previdência complementar.
Art. 44. A Previc pode, a qualquer tempo, revogar o reconhecimento de Instituição Certificadora ou de certificado quando constatado o não atendimento aos requisitos mínimos exigidos pela legislação vigente.
Art. 45. A Instituição Certificadora pode pedir reconsideração da decisão que indeferir ou revogar seu reconhecimento ou de seu certificado, no prazo de dez dias contados da ciência da decisão.
Parágrafo único. O pedido de reconsideração deve ser dirigido à autoridade que proferiu a decisão, instruído com os documentos que o justifiquem, o qual deve ser avaliado no prazo de cinco dias e, caso mantida a decisão, submetido como recurso à instância superior.
Art. 46. As notificações decorrentes das análises realizadas no âmbito dos requerimentos previstos nesta seção devem ser encaminhadas para o endereço eletrônico informado pela Instituição Certificadora, que deve ser notificada na data do envio da mensagem eletrônica.
Seção VIII
Comunicação e Atendimento aos Participantes e Assistidos
(Nota: seção VIII incluída pela Resolução Previc nº 26, de 16.12.2025)
Art. 46-A. Nos termos do parágrafo único do art. 2º e do art. 17 da Resolução CNPC nº 32, de 2019, as EFPC devem ter uma política de comunicação assertiva e de atendimento acolhedor, ético e resolutivo com os participantes, assistidos, patrocinadores e instituidores, observados os seguintes critérios:
I - adoção de linguagem simples, acessível e humanizada das demandas dos participantes, assistidos, com prazos definidos de análise e resposta e registro eletrônico das interações;
II - zelo pela imagem institucional e pela reputação da EFPC, reconhecendo os participantes e assistidos como sujeitos de direitos; e
III - utilização de canais de atendimento multimídias (voz, eletrônico, digital, presencial, chatbox), observado o perfil (etário, renda) e a localização dos participantes e assistidos, escalonado por nível de respostas, com sistema de registro e identificação, no prazo máximo de trinta dias, conforme art. 10 da Resolução CNPC nº 32, de 2019.
§ 1º As EFPC dos segmentos S1 e S2 devem designar formalmente membro da diretoria executiva responsável pela comunicação e pelo atendimento.
§ 2º Às EFPC do segmento S1, recomenda-se constituir unidade de Ouvidoria, vinculada à alta administração e que desenvolva ações que busquem o reconhecimento e o respeito dos participantes e assistidos.
(Nota: art. 46-A incluído pela Resolução Previc nº 26, de 16.12.2025)
CAPÍTULO III
DAS REGRAS ATUARIAIS
Seção I
Parâmetros e Procedimentos Atuariais
Subseção I
Apuração do Resultado
Art. 47. O resultado do plano de benefícios a ser registrado no balanço patrimonial deve ser apurado mediante avaliação atuarial posicionada no encerramento de cada exercício.
§ 1º A ocorrência de fato relevante enseja nova avaliação atuarial, a ser posicionada no último dia do mês da data de efetivação do fato relevante.
§ 2º Considera-se fato relevante:
I - a alteração do regulamento com impacto no custo, no custeio ou no resultado do plano de benefícios;
II - a cisão, fusão ou incorporação de planos de benefícios;
III - a migração de participantes ou assistidos entre planos de benefícios;
IV - o saldamento de planos de benefícios;
V - a retirada parcial de patrocínio ou a rescisão unilateral parcial de convênio de adesão; e
V - a retirada parcial de patrocínio ou a rescisão de convênio de adesão por iniciativa da EFPC parcial de convênio de adesão; e
(Nota: inciso V alterado pela Resolução Previc nº 25/2024)
VI - outros eventos supervenientes com impacto significativo no custo, no custeio ou no resultado do plano de benefícios que necessitem de imediata resposta da EFPC, devidamente fundamentados.
Subseção II
Duração do Passivo
Art. 48. Os fluxos de pagamentos de benefícios de cada plano devem considerar os benefícios a conceder e concedidos que tenham seu valor ou nível previamente estabelecido e cujo custeio seja determinado atuarialmente, bem como os benefícios concedidos que adquiriram característica de benefício definido na fase de concessão, de forma a assegurar sua concessão e manutenção.
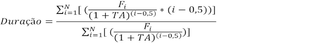
Art. 49. Para fins de cálculo do Limite de Reserva de Contingência, do Limite de Déficit Técnico Acumulado e do prazo para amortização do valor a ser equacionado, a duração do passivo deve ser apurada em anos no sistema de Duração do Passivo e Ajuste de Precificação (DPAP) considerando a formulação constante no Anexo I desta Resolução e calculada:
I - para avaliações atuariais de final de exercício ao final do exercício de referência; ou
II - para avaliações atuariais por fato relevante ao final do mês da data de efetivação do fato relevante.
Parágrafo único. Caso ocorra equacionamento de déficit no próprio encerramento do exercício de apuração do resultado deficitário, a duração do passivo para fins de atendimento ao disposto no caput deve ser a calculada previamente ao lançamento do correspondente fluxo de contribuições extraordinárias futuras.
Subseção III
Taxa de Juros Parâmetro
Art. 50. A taxa de juros parâmetro corresponde àquela cujo ponto da Estrutura a Termo de Taxa de Juros Média (ETTJ) seja o mais próximo à duração do passivo do respectivo plano de benefícios.
§ 1º A duração do passivo para encontrar a taxa de juros referida no caput é aquela calculada considerando o fluxo projetado na avaliação de encerramento do exercício anterior ao de referência.
§ 2º Na ocorrência de fato relevante que enseje a elaboração de nova avaliação atuarial, deve ser considerado o fluxo projetado que reflita a nova realidade do plano de benefícios.
§ 3º Os pontos das ETTJ devem ser apurados com data-base do primeiro dia útil de abril.
§ 4º Os pontos das ETTJ e correspondentes taxas de juros parâmetro, bem como os limites inferior e superior, devem ser divulgados anualmente pela Previc até 30 de abril de cada exercício, por Portaria expedida pela Diretoria de Normas.
(Nota: sobre a divulgação dos pontos das ETTJ, para o exercício de 2024, vide Portaria Previc nº 343/2025)
Art. 51. O cálculo da taxa de juros parâmetro deve considerar a duração do passivo com uma casa decimal, conforme definido no Anexo I a esta Resolução.
Art. 52. Independentemente da modalidade, quando o plano apresentar benefícios com características de benefício definido, a duração do passivo deve ser considerada para efeito de definição da taxa de juros parâmetro.
§ 1º O plano de benefícios que apresente benefício com características de contribuição definida e utilize taxa real anual de juros em seu cálculo, deve adotar a taxa de juros dentro do intervalo regulatório estabelecido, considerando a duração de dez anos.
§ 2º Caso o plano de benefícios possua fundo previdencial que utilize em sua constituição e manutenção a hipótese de taxa real anual de juros, aplicam-se os critérios de definição para a taxa de juros parâmetro previstos no caput, conforme evento ou risco ao qual esteja associado.
Art. 53. No caso de inviabilidade técnica para apuração da duração do passivo, o plano de benefícios deve aplicar a ETTJ considerando a duração de dez anos para efeito de definição da taxa de juros parâmetro.
Parágrafo único. Cabe ao atuário responsável pelo plano de benefícios a manifestação sobre a inviabilidade técnica a que se refere o caput, nas Demonstrações Atuariais (DA).
Subseção IV
Ajuste de Precificação
Art. 54. O ajuste de precificação é restrito aos títulos públicos federais atrelados a índices de preços mantidos em carteira própria ou em fundos de investimento exclusivos que atendam, cumulativamente, aos seguintes requisitos:
I - estejam classificados na categoria títulos mantidos até o vencimento;
II - tenham por objetivo o pagamento dos benefícios a conceder e concedidos com valor ou nível previamente estabelecidos e cujo custeio seja determinado atuarialmente, de forma a assegurar sua concessão e manutenção, bem como dos benefícios concedidos que adquiriram característica de benefício definido na fase de concessão;
III - o valor presente do fluxo dos títulos públicos federais objetos do ajuste, principal e juros, seja igual ou inferior ao valor presente do fluxo de pagamento de benefícios, apurados anualmente para todo o período do fluxo;
IV - a duração do fluxo dos títulos públicos federais objetos do ajuste seja inferior à duração do fluxo de pagamento de benefícios; e
V - esteja demonstrada a capacidade financeira de atendimento às necessidades de liquidez do plano de benefícios.
§ 1º No cálculo do valor presente e da duração dos fluxos referidos nos incisos III e IV do caput, deve ser aplicada a taxa real anual de juros utilizada na avaliação atuarial de encerramento do exercício correspondente.
§ 2º Os títulos utilizados para fins de ajuste não podem ser excluídos do cálculo dos exercícios subsequentes, exceto quando não atenderem aos requisitos constantes nos incisos I a IV do caput.
§ 3º São obrigatórias a apuração e a divulgação do ajuste de precificação para os títulos públicos federais em carteira própria ou em fundos de investimento exclusivos que se enquadrem nas condições constantes deste artigo, devendo constar das notas explicativas das demonstrações contábeis.
Art. 55. A EFPC deve considerar o ajuste de precificação de títulos no cálculo do equilíbrio técnico ajustado constante das informações complementares da Demonstração do Ativo Líquido (DAL), para fins de destinação de superávit ou equacionamento de déficit da seguinte forma:
I - positivo ou negativo, no caso de equacionamento de déficit; ou
II - somente negativo, no caso de destinação de superávit.
Parágrafo único. A EFPC deve apurar novo valor de ajuste de precificação na ocorrência de fato relevante, destinação de superávit ou equacionamento de déficit em data diferente da data de encerramento de exercício.
Art. 56. Na ocorrência de ajuste de precificação, o atuário responsável pelo plano de benefícios deve:
a) registrar o ajuste de precificação no parecer atuarial constante nas DA;
b) emitir manifestação acerca dos impactos na solvência e no equilíbrio atuarial do plano ao longo do tempo; e
c) evidenciar os requisitos necessários para registro de títulos na categoria mantidos até o vencimento, especialmente em relação à capacidade financeira de atendimento às necessidades de liquidez do plano de benefícios.
Seção II
Adequação das Hipóteses
Subseção I
Hipóteses Biométricas
Art. 57. As tábuas biométricas utilizadas nas avaliações atuariais dos planos de benefícios devem ter sua aderência atestada por meio de estudo específico, elaborado em conformidade com a Seção VII deste Capítulo.
Art. 57. As tábuas biométricas utilizadas nas avaliações atuariais dos planos de benefícios devem ter sua aderência atestada por meio de estudo específico, elaborado em conformidade com a Seção VI deste Capítulo.
(Nota: caput do art 57 alterado pela Resolução Previc nº 25/2024)
§ 1º As tábuas de mortalidade geral referenciais para o cálculo das provisões matemáticas dos planos de benefícios devem ser "AT-2000 Básica - M" para o sexo masculino e "AT-2000 Básica - F" para o sexo feminino.
§ 2º No caso de impossibilidade técnica de realização de testes de aderência, os planos de benefícios não podem adotar tábuas de mortalidade geral que gerem provisões matemáticas menores do que as tábuas referenciais mencionadas no §1º.
§ 3º No caso de planos de benefícios que comprovem aderência das tábuas de mortalidade geral nos termos definidos na Seção VII, deste capítulo, que gerem provisões matemáticas menores que aquelas geradas pelas tábuas referenciais, é necessário que o atuário responsável pelo plano emita parecer específico, acompanhado de manifestação de ciência e concordância do administrador responsável pelos planos de benefícios, comprovando a aderência e a razoabilidade da adoção da hipótese.
§ 3º No caso de planos de benefícios que comprovem aderência das tábuas de mortalidade geral nos termos definidos na Seção VI, deste capítulo, que gerem provisões matemáticas menores que aquelas geradas pelas tábuas referenciais, é necessário que o atuário responsável pelo plano emita parecer específico, acompanhado de manifestação de ciência e concordância do administrador responsável pelos planos de benefícios, comprovando a aderência e a razoabilidade da adoção da hipótese.
(Nota: parágrafo 3º alterado pela Resolução Previc nº 25/2024)
Subseção II
Taxa Real Anual de Juros
Art. 58. A taxa real anual de juros a ser utilizada como taxa de desconto para apuração do valor presente dos fluxos de benefícios e contribuições do plano de benefícios deve ser:
I - divulgada anualmente aos participantes, aos patrocinadores e instituidores; e
II - utilizada para a transformação de saldo de conta em benefícios, se previsto no regulamento do plano de benefícios de caráter previdenciário.
Subseção III
Responsabilidade, das Vedações e da Divulgação
Art. 59. A proposição e validação das hipóteses adotadas na avaliação atuarial do plano de benefícios é de responsabilidade exclusiva do atuário do plano, assim como a responsabilidade pela aprovação das hipóteses propostas compete aos membros estatutários da EFPC, sem prejuízo da responsabilidade atribuível a outros profissionais que tenham contribuído para a realização dos estudos.
Parágrafo único. A responsabilidade pela proposição ou validação das hipóteses de que trata o caput também alcança as pessoas jurídicas das quais façam parte os profissionais indicados como sócios, empregados ou prestadores de serviço.
Art. 60. As EFPC não podem adotar taxas negativas para as projeções de crescimento real de salários ou crescimento real dos benefícios do plano, bem como o agravamento ou desagravamento em outras hipóteses cuja combinação resulte em taxa real anual de juros fora dos limites regulatórios.
Seção III
Custeio e da Utilização do Equilíbrio Técnico Ajustado
Subseção I
Custeio do Plano
Art. 61. O atendimento às exigências relativas ao custeio do plano de benefícios deve observar o disposto no regulamento do plano, com o devido reflexo na nota técnica atuarial e no plano de custeio estabelecido para o exercício em que está sendo apurado o resultado.
§ 1º Ao estabelecer o plano de custeio para o ano subsequente, o atuário responsável pelo plano de benefícios deve utilizar critérios que preservem o equilíbrio financeiro e atuarial do plano de benefícios, considerando os métodos de financiamento adotados, de modo a não caracterizar utilização de resultado acumulado no exercício anterior e contabilizado como reserva de contingência, nem utilização de resultado do exercício em desacordo com as definições regulatórias.
§ 2º A revisão do plano de custeio para redução ou suspensão de contribuições extraordinárias de participantes, assistidos ou patrocinador somente pode ser efetuada em função da apuração de equilíbrio técnico ajustado positivo para o plano de benefícios, no exercício de referência.
§ 3º No caso de contribuições extraordinárias relativas a serviço passado, a possibilidade de sua revisão em função de valor do equilíbrio técnico ajustado positivo, na forma do § 2º deve estar prevista no regulamento do plano de benefícios.
Subseção II
Revisão do Plano de Custeio
Art. 62. A utilização do equilíbrio técnico ajustado positivo para fins de revisão do plano de custeio em relação às contribuições extraordinárias, na forma prevista no art. 61, deve ser justificada em parecer do atuário responsável pelo plano de benefícios e aprovada pelas instâncias competentes da EFPC.
§ 1º A utilização referida no caput deve ser precedida da segregação entre o montante atribuível aos participantes e assistidos, de um lado, e ao patrocinador, de outro, observada a proporção contributiva do período em que se deu a constituição do equilíbrio técnico ajustado positivo, ressalvado o disposto no § 2º do art. 74.
§ 2º Em caso de vigência de dois ou mais planos de equacionamento em curso, a utilização do equilíbrio técnico ajustado positivo deve ser realizada de forma proporcional às respectivas provisões a constituir remanescentes.
Art. 63. Não são admitidos como fonte de recursos para o equacionamento de déficit resultados oriundos de alterações de hipóteses atuariais, de regimes financeiros ou de métodos de financiamento.
Seção IV
Revisão do Plano de Benefícios e da Destinação da Reserva Especial
Subseção I
Revisão Obrigatória do Plano de Benefícios
Art. 64. O plano de benefícios deve ser revisado até o final do exercício subsequente do exercício social que registrar a terceira apuração consecutiva de reserva especial.
Parágrafo único. Na revisão obrigatória deve ser destinado, no mínimo, o valor integral da reserva especial registrado nos últimos três exercícios.
Subseção II
Destinação da Reserva Especial
Art. 65. Devem ser deduzidos da reserva especial, para fins de cálculo do montante a ser destinado, os valores correspondentes à diferença entre as provisões matemáticas calculadas com as hipóteses efetivamente adotadas pelo plano e aquelas calculadas adotando tábuas biométricas de mortalidade geral utilizadas para projeção da longevidade, exceto daqueles na condição de inválidos: "AT 2000 Básica - F" para o sexo feminino e "AT 2000 Básica - M" para o sexo masculino, ambas com desagravamento de dez por cento.
Parágrafo único. O disposto no caput não se aplica ao plano de benefícios que adote hipóteses atuariais cuja aplicação resulte em provisões matemáticas superiores às obtidas com a aplicação da hipótese referida no caput.
Art. 66. Para fins de destinação da reserva especial, devem ser observadas as seguintes condições:
I - considerar apenas as provisões matemáticas de benefício definido de participantes e assistidos na destinação da parcela da reserva especial, quando se der com base nas reservas matemáticas individuais;
II - a utilização da reserva especial para redução parcial, redução integral ou suspensão de contribuições deve contemplar prioritariamente aquelas contribuições para custeio dos benefícios que tenham seu valor ou nível previamente estabelecido e cujo custeio seja determinado atuarialmente; e
III - a cobertura integral do valor presente dos benefícios do plano deve considerar apenas aqueles com características de benefício definido.
§ 1º A utilização dos fundos previdenciais de revisão do plano deve ocorrer de forma concomitante e proporcional entre os fundos atribuídos aos participantes, assistidos e patrocinador constituídos para essa finalidade.
§ 2º No caso de plano de benefícios não sujeito à Lei Complementar nº 108, de 2001, a EFPC poderá propor critério de utilização dos fundos previdenciais de revisão do plano diferente do definido no § 1º, desde que mais benéfico aos participantes e assistidos, mediante prévia anuência do patrocinador.
Art. 67. A EFPC deve promover a realização prévia de auditoria independente específica para avaliação dos recursos garantidores e das provisões matemáticas do plano de benefícios, nos casos em que a destinação da reserva especial envolver a reversão de valores.
Seção V
Equacionamento de Déficit
Subseção I
Valor a Equacionar
Art. 68. O valor do déficit a ser equacionado deve ser apurado na avaliação atuarial realizada ao final de cada exercício social.
§ 1º O valor do déficit a ser equacionado pode, a critério da EFPC, ser corrigido entre a data de sua apuração e a data de início do plano de equacionamento, desde que considerado, no mínimo, o seu valor nominal, devendo o critério de correção adotado estar consignado em parecer do atuário responsável pelo plano de benefícios.
§ 2º Admite-se o reposicionamento do déficit a ser equacionado em momento posterior ao indicado no caput em caso de realização de avaliação atuarial por fato relevante, conforme dispõem os §1º e §2º do art. 47.
Art. 69. No caso de utilização da faculdade de extensão do prazo de amortização do déficit para aquele correspondente à liquidação do passivo atuarial do plano de benefícios, o montante a ser equacionado deve corresponder, preferencialmente, ao maior valor absoluto entre o déficit técnico acumulado e o equilíbrio técnico ajustado apurado para o plano de benefícios no ano de referência.
Subseção II
Plano de Equacionamento
Art. 70. O início do plano de equacionamento corresponde à data de aplicação das formas adotadas para o equacionamento do déficit do plano de benefícios e deve ocorrer até o início de vigência do plano de custeio, no ano subsequente à aprovação do plano de equacionamento.
Art. 71. Os planos de equacionamento devem prever amortização que contemple fluxo de contribuições extraordinárias constante ou decrescente, comprovado por meio de demonstração do fluxo projetado no momento da implementação do plano, sendo que os respectivos ativos devem ser compatíveis com as necessidades de liquidez do plano de benefícios.
Parágrafo único. Caso o plano de equacionamento estabeleça contribuições extraordinárias em termos de percentual aplicável sobre salários ou benefícios, a comprovação de que trata o caput será pelo percentual de contribuição, constante ou decrescente.
Art. 72. A EFPC deve comprovar, anualmente, se o plano de equacionamento de déficit apresenta resultados efetivos, cabendo, em caso contrário, a adequação do plano, respeitando todas as condições regulatórias.
Subseção III
Prazo de Amortização
Art. 73. O prazo de amortização de déficit deve ser atestado por meio de fluxo atuarial que considere anualmente as receitas, as despesas e o patrimônio de cobertura, este segregado em integralizado e a integralizar, pelo período correspondente ao pagamento de todas as parcelas, devendo ficar evidenciado que a amortização está ajustada às necessidades de recursos do plano de benefícios.
Parágrafo único. Na ocorrência de nova insuficiência de cobertura patrimonial, que demande equacionamento antes do término da amortização referida no caput, deve ser realizada nova operação de equacionamento.
Subseção IV
Instrumentos Contratuais
Art. 74. Nos instrumentos contratuais firmados com o patrocinador, a cláusula de revisão anual automática do saldo devedor em função de ganhos ou perdas atuariais, caso prevista, deve estar vinculada ao valor do equilíbrio técnico ajustado positivo ou negativo, respectivamente, apurado no plano de benefícios.
§ 1º O valor do equilíbrio técnico ajustado negativo somente pode ser incorporado ao saldo devedor dos instrumentos contratuais de dívida dos patrocinadores quando o prazo remanescente da dívida for igual ou inferior ao prazo máximo de equacionamento.
§ 2º O valor do equilíbrio técnico ajustado positivo ou negativo utilizado para revisão anual do saldo devedor da dívida do patrocinador, na forma do caput, deve observar as proporções contributivas definidas para o rateio da insuficiência entre participantes, assistidos e patrocinadores.
§ 3º O instrumento contratual deverá ficar à disposição da Previc, juntamente com os fluxos anuais de receitas, despesas e patrimônio de cobertura, pelo período de pagamento de todas as parcelas do contrato, observadas as demais disposições regulatórias da matéria.
Seção VI
Estudo Técnico de Adequação das Hipóteses Atuariais
Subseção I
Requisitos Gerais
Art. 75. Toda a hipótese atuarial adotada para avaliação atuarial de plano de benefícios deve estar embasada em estudo técnico de adequação.
Art. 76. O estudo técnico de adequação é o instrumento técnico de responsabilidade da EFPC, no qual devem ser demonstradas para cada plano de benefícios:
I - a convergência entre a hipótese de taxa real anual de juros e a taxa de retorno real anual projetada para as aplicações dos recursos garantidores relacionados aos benefícios a conceder e concedidos que tenham seu valor ou nível previamente estabelecido e cujo custeio seja determinado atuarialmente; e
II - a aderência das demais hipóteses biométricas, demográficas, econômicas e financeiras às características da massa de participantes e assistidos e do plano de benefícios.
Art. 77. O estudo técnico de adequação deve:
I - estar acompanhado de parecer conclusivo do atuário acerca do conjunto de hipóteses tecnicamente adequado ao plano de benefícios, considerando a aderência e a convergência verificadas nos estudos;
II - possuir atestado de validação, expedido pelo administrador estatutário tecnicamente qualificado, relativo às informações de investimento utilizadas no estudo técnico; e
III - possuir atestado de validação, expedido pelo administrador responsável pelos planos de benefícios, relativo aos dados cadastrais e demais informações referentes ao passivo atuarial utilizados no estudo técnico.
Art. 78. Em relação ao procedimento de elaboração, o estudo técnico de adequação deve ser:
I - elaborado pelo atuário habilitado e legalmente responsável pelo plano de benefícios; e
II - embasado em informações fornecidas pela EFPC e pelo respectivo patrocinador ou instituidor.
§ 1º Os dados cadastrais e demais informações referentes ao passivo atuarial devem ser providenciados pelo administrador responsável pelos planos de benefícios e as informações relativas aos investimentos devem ser providenciadas pelo administrador estatutário tecnicamente qualificado.
§ 2º Cabe à EFPC solicitar a manifestação fundamentada do patrocinador ou instituidor acerca das hipóteses econômicas e financeiras que guardem relação com suas respectivas atividades, devendo essa informação ser utilizada como subsídio para a demonstração da aderência dessas hipóteses no estudo técnico referido no caput.
Art. 79. Em relação ao prazo de validade, o estudo técnico de adequação deve ter:
I - validade geral máxima de três anos, contados a partir da data de sua realização, cabendo ao administrador responsável pelos planos de benefícios avaliar e indicar a necessidade de realização em menor período, conforme parecer do atuário habilitado e legalmente responsável pelo plano de benefícios; e
II - validade específica em relação à hipótese de taxa real anual de juros de um ano.
Parágrafo único. A validade do estudo técnico de adequação para a hipótese de tábua de mortalidade geral, que trata o inciso I do caput, será de cinco anos para os planos de benefícios que adotarem tábua geracional de mortalidade geral com a respectiva escala de melhoria de longevidade.
Art. 80. Na ocorrência de fato relevante que enseje a elaboração de nova avaliação atuarial, o estudo técnico de adequação deve refletir a nova realidade do plano de benefícios.
Art. 81. A Previc pode determinar, a qualquer tempo, a realização de novo estudo técnico de adequação caso o estudo original seja avaliado como inconsistente ou insuficiente, apontando especificamente as inconsistências ou insuficiências a serem sanadas, bem como o devido embasamento técnico ou normativo.
Art. 82. Em relação à governança e à divulgação, o estudo técnico de adequação do plano de benefícios deve ser:
I - aprovado pela Diretoria Executiva e pelo Conselho Deliberativo da EFPC;
II - acompanhado de parecer do Conselho Fiscal; e
III - disponibilizado, quando requisitado, aos participantes, aos assistidos, aos patrocinadores, aos instituidores e à Previc.
§ 1º A aprovação referida no inciso I do caput não exime o atuário do plano da responsabilidade técnica sobre estudos, cálculos e serviços por ele prestados.
§ 2º O estudo técnico de adequação deve ficar arquivado na EFPC, à disposição da Previc.
Seção VII
Autorização para Adoção de Taxa de Juros fora do Intervalo
Art. 83. Caso pretenda adotar taxa real anual de juros fora do intervalo estabelecido, a EFPC deve enviar à Previc:
I - requerimento de autorização assinado pelo representante legal da EFPC;
II - cópia do estudo técnico de adequação; e
III - demais documentos necessários.
Art. 84. O requerimento de autorização para adoção de taxa real anual de juros referido no inciso I do art. 83 deve ser encaminhado à Previc em formulário padrão juntamente com os seguintes documentos:
I - ata de reunião da Diretoria Executiva, contendo aprovação ao estudo técnico de adequação e ao requerimento de autorização, bem como encaminhamento ao Conselho Deliberativo;
II - ata da reunião do Conselho Deliberativo, contendo aprovação ao estudo técnico de adequação e ao requerimento de autorização; e
III - Parecer do Conselho Fiscal, referido no inciso II do art. 82.
Art. 85. O indeferimento do requerimento de autorização para adoção da taxa real anual de juros do plano de benefícios implica utilização de taxa dentro do intervalo regulatório estabelecido.
Parágrafo único. A Previc pode determinar, nos termos do art. 81, a realização de novo estudo técnico de adequação.
Art. 86. A autorização concedida pela Previc aplica-se exclusivamente à adoção da taxa real anual de juros do plano de benefícios e não exime a responsabilidade dos gestores da EFPC e de outros profissionais que tenham contribuído para a realização do trabalho, os quais devem observar os princípios de segurança, rentabilidade, solvência, liquidez e transparência, respondendo na forma da lei pelos seus atos.
Parágrafo único. A autorização referida no caput é válida somente para a avaliação atuarial do ano de referência.
Art. 87. O estudo técnico de adequação das hipóteses atuariais em relação à convergência da taxa real anual de juros, à aderência das demais hipóteses atuariais do plano de benefícios ou pedido de autorização para adoção de taxa de juros fora do intervalo, deve cumprir os requisitos especificados em Portaria da Diretoria de Normas.
Seção VIII
Contratação de Seguro em Planos de Benefícios
(Nota: sobre a "Seção VIII - Contratação de Seguro em Planos de Benefícios", vide também a Resolução CNPC nº 47/2021 e Resolução CNSP nº 385/2020)
Art. 88. A EFPC pode contratar, após análise de custo-benefício considerando outros produtos com características similares, seguro específico para cobertura dos seguintes riscos em planos de benefícios:
I - invalidez de participante;
II - morte de participante ou assistido;
III - sobrevivência do assistido;
IV - desvios das hipóteses biométricas; e
V - outros riscos atuariais ou financeiros.
Parágrafo único. Os riscos previstos no caput podem ter cobertura total ou parcial.
Subseção I
Contrato de Seguro
Art. 89. O contrato de seguro, em relação a cada plano de benefícios, deve dispor, no mínimo, sobre:
I - descrição das coberturas, indicando as importâncias seguradas de responsabilidade da sociedade seguradora, bem como as formas de atualização ou recálculo;
II - previsão de emissão de endosso alterando a EFPC de origem para a EFPC de destino, sem solução de continuidade das coberturas e condições contratadas, na hipótese de transferência de gerenciamento do plano de benefícios para outra EFPC;
III - previsão de emissão de endosso alterando o beneficiário do seguro da EFPC para o assistido em gozo de renda continuada, sem solução de continuidade das coberturas e condições contratadas, em caso de retirada de patrocínio ou liquidação do plano de benefícios, observada a legislação aplicável;
IV - prazo de vigência do contrato, que não pode ser indeterminado;
V - previsão de pagamento das rendas contratadas junto à sociedade seguradora, no caso de rescisão ou não renovação do contrato;
VI - previsão de prazos de pagamento dos prêmios e das indenizações; e
VII - descrição dos riscos excluídos e dos não cobertos, caso previstos.
Art. 90. Previamente à celebração ou à renovação de contrato de seguro, a diretoria executiva e o conselho deliberativo da EFPC devem aprovar estudo técnico que demonstre a sua viabilidade econômico-financeira e atuarial para cada plano de benefícios.
§ 1º O estudo técnico previsto no caput deve conter, no mínimo:
I - a descrição das bases, das fórmulas de cálculo e dos critérios de atualização dos valores referentes aos benefícios previstos no regulamento e passíveis de contratação de cobertura de riscos com sociedade seguradora;
II - a estimativa de gastos com prêmios futuros; e
III - a avaliação de custos e de riscos que indiquem a necessidade e a vantagem de contratação de seguro para a cobertura do respectivo risco objeto.
§ 2º Fica dispensado o estudo técnico previsto no caput quando da contratação das coberturas adicionais de que trata o art. 92.
Subseção II
Cobertura do Seguro
Art. 91. Os contratos de seguro para a cobertura dos riscos referidos nos incisos I e II do art. 88 podem prever a indenização na forma de pagamento único ou de renda continuada.
Art. 92. A EFPC, em relação a planos cujos benefícios decorrentes de invalidez e morte sejam estruturados unicamente com base em saldos de contas, pode contratar cobertura adicional junto à sociedade seguradora, desde que essa possibilidade esteja prevista no regulamento e que a adesão dos participantes seja opcional.
§ 1º O regulamento deve dispor sobre eventuais situações que causem a suspensão da cobertura a que se refere o caput, inclusive em decorrência de rescisão ou não renovação do contrato com a sociedade seguradora.
§ 2º Para as coberturas adicionais tratadas no caput não se aplica o disposto no art. 95.
Art. 93. O contrato de seguro para a cobertura do risco referido no inciso III do art. 88 tem por objetivo assegurar o pagamento de renda continuada, nas condições contratadas, após o término do pagamento do benefício pela EFPC.
Parágrafo único. O pagamento do prêmio para cobertura do risco referido no inciso III do art. 88 pode advir das seguintes fontes:
I - contribuição normal e periódica com finalidade específica;
II - contribuição em forma de aporte único com finalidade específica; ou
III - segregação de parcela do saldo de conta total, a partir da concessão do benefício programado previsto no regulamento do plano de benefícios.
Art. 94. O contrato de seguro para a cobertura do risco referido no inciso IV do art. 88 tem por objetivo limitar a variabilidade do fluxo de pagamentos dos benefícios decorrentes dos compromissos assumidos perante os participantes e assistidos, de forma isolada ou conjunta, decorrentes de:
I - entrada em invalidez;
II - mortalidade de inválidos;
III - mortalidade geral;
IV - sobrevivência de inválidos; ou
V - sobrevivência geral.
§ 1º A EFPC deve considerar o fluxo de pagamento dos benefícios projetados a partir das hipóteses atuariais aderentes adotadas na avaliação atuarial do exercício anterior, para fins de demonstração da viabilidade econômico-financeira e atuarial da contratação do seguro de que trata o caput.
§ 2º A cobertura para desvio de hipóteses biométricas pode ser contratada, alternativamente, por meio de seguro de índice biométrico, no qual as indenizações sejam calculadas com base nas taxas biométricas observadas e estimadas.
Art. 95. A nota técnica atuarial e o plano de custeio de cada plano de benefícios objeto de contrato de seguro devem prever o tratamento a ser dado às seguintes situações:
I - exclusão de determinados riscos pela sociedade seguradora; e
II - recusa de participantes ou assistidos pela sociedade seguradora.
Art. 96. Nenhum recurso financeiro destinado ao pagamento de prêmio ou de indenização pode transitar diretamente entre a sociedade seguradora e o participante ou assistido, ressalvada a hipótese de ausência de vínculo entre o segurado e a EFPC, observada a legislação aplicável.
Art. 97. Qualquer pagamento da sociedade seguradora à EFPC, que não seja a título de indenização, deve:
I - ter previsão contratual;
II - ser destinado ao respectivo plano de benefícios ou ao PGA; e
III - ser divulgado aos participantes e assistidos no Relatório Anual de Informações.
Art. 98. A EFPC deve dar publicidade aos participantes e assistidos sobre a contratação do seguro, informando as respectivas condições e formas de acesso, quando houver.
Art. 99. Os documentos elaborados para atendimento ao estabelecido neste Capítulo devem ser mantidos na EFPC à disposição da Previc.
CAPÍTULO IV
DOS PROCEDIMENTOS DE LICENCIAMENTO
Seção I
Disposições Gerais
Subseção I
Modelos Certificados
Art. 100. A EFPC pode solicitar certificação de modelos de regulamentos de planos de benefícios e de convênios de adesão.
§1º A EFPC deve manter os modelos certificados atualizados, considerando a legislação aplicável e as orientações manifestadas pela Previc, sob pena de impossibilidade de utilização do modelo em requerimentos futuros de implantação de plano ou de aprovação de convênio de adesão.
§2º A atualização de modelo certificado ocorre por meio de requerimento de alteração de modelo certificado, resultando na revogação expressa da versão anterior.
§3º Os modelos certificados são identificados por numeração específica, com controle de versão.
Art. 101. Os modelos certificados contêm:
I - cláusulas fixas que correspondem às disposições comuns a todos os regulamentos de plano de benefícios ou de convênios de adesão, implantados com base no modelo certificado.
II - cláusulas variáveis que correspondem às disposições diferentes entre os regulamentos de planos de benefícios e os convênios de adesão, implantados com base no modelo certificado.
§1º As cláusulas fixas definidas nos modelos certificados somente podem ser alteradas por meio da atualização de que tratam os §1º e §2º do art. 100.
§2º As cláusulas variáveis devem ser identificadas no modelo certificado destacadas entre parênteses.
§3º Nos requerimentos de implantação de plano de benefícios com modelo certificado as cláusulas variáveis podem ser diferentes de um plano para outro, em razão de:
I - particularidades do patrocinador ou instituidor do plano de benefícios;
II - características do grupo de participantes;
III - percentuais e prazos de recolhimento de contribuições;
IV - critérios de reajuste de contribuições e de benefícios;
V - percentuais ou prazos para pagamento dos benefícios; ou
VI - critérios de elegibilidade aos benefícios.
§4º Nos requerimentos de aprovação de convênio de adesão com modelo certificado as cláusulas variáveis podem ser diferentes de um convênio para outro, em razão de:
I - particularidades do patrocinador ou instituidor do plano de benefícios; ou
II - existência ou não de solidariedade entre patrocinadores.
Subseção II
Modelos Padronizados
Art. 102. Os modelos padronizados de regulamentos de planos de benefícios, de convênios de adesão e de outros documentos, disponibilizados pela Previc em seu sítio eletrônico, devem ser preferencialmente utilizados pela EFPC nos pertinentes requerimentos de licenciamento.
Art. 103. Aplicam-se aos modelos padronizados, no que couber, as regras definidas para os modelos certificados dispostas no art. 101.
Subseção III
Licenciamento Automático
Art. 104. O licenciamento automático é o processo pelo qual a autorização ocorre na data de emissão do protocolo de instrução de requerimento de licenciamento pelo sistema informatizado da Previc.
Art. 105. Podem ser objeto de licenciamento automático os requerimentos de:
I - implantação de plano de benefícios, mediante utilização de modelo certificado ou de modelo padronizado;
II - alterações de regulamento de plano de benefícios, que tratem exclusivamente de:
a) nome do plano de benefícios;
b) mudança na razão social ou no endereço da EFPC, de patrocinador ou de instituidor, condicionado ao protocolo da respectiva alteração do convênio de adesão;
c) correções de remissões ou ajustes ortográficos;
d) datas ou prazos referentes a procedimentos referentes a mudança de perfil de investimentos;
e) redução dos prazos de carência para elegibilidade a benefício ou instituto;
f) aumento da parcela patronal na composição do valor do resgate; ou
g) atualização do valor da unidade de referência, quando definida no regulamento.
f) aumento da parcela patronal na composição do valor do resgate;
g) atualização do valor da unidade de referência, quando definida no regulamento; ou
h) inclusão da previsão da inscrição automática de participantes, bem como suas condições, procedimentos, prazos e forma de desistência.
(Nota: alíneas f) e g) alteradas e incluída alínea h) pela Resolução Previc nº 25/2024)
III - aprovação de convênio de adesão, mediante utilização de modelo certificado ou de modelo padronizado; e
IV - alterações de convênio de adesão, que tratem exclusivamente de:
a) adesão de patrocinador ou instituidor ao plano de benefícios, restringindo-se à inclusão da identificação e qualificação do convenente;
b) mudança na razão social ou no endereço da EFPC, de patrocinador, de instituidor ou de anuente;
c) nome do plano de benefícios; e
d) correções de remissões ou ajustes ortográficos.
c) nome do plano de benefícios;
d) correções de remissões ou ajustes ortográficos; ou
e) oferecimento da inscrição automática e as obrigações dela decorrentes.
(Nota: alíneas c) e d) alteradas e incluída alínea e) pela Resolução Previc nº 25/2024)
Parágrafo único. Os tipos de requerimentos referidos nos incisos I e III devem mencionar o número de identificação do modelo certificado ou do modelo padronizado utilizado.
Art. 106. No Expediente Explicativo dos requerimentos sujeitos ao licenciamento automático deve constar no assunto a expressão "LICENCIAMENTO AUTOMÁTICO", seguida da denominação do tipo de operação, em destaque.
Art. 107. O requerimento de licenciamento instruído por meio de licenciamento automático não afasta a prerrogativa de a Previc:
I - realizar, a qualquer tempo, a análise do requerimento quanto à fundamentação, aos riscos e à adequação legal, de acordo com as normas vigentes; e
II - apresentar as exigências documentais necessárias.
Art. 108. A autorização por licenciamento automático será considerada nula para todos os fins, quando o respectivo requerimento de licenciamento:
I - não observar a legislação aplicável; ou
II - não se enquadrar nas condições estabelecidas para essa modalidade de licenciamento.
Parágrafo único. A nulidade da autorização deve ser objeto de notificação formal à EFPC.
Subseção IV
Plano Instituído
Art. 109. O plano de benefícios instituído é exclusivo para instituidores e pode ser oferecido às seguintes pessoas físicas, em relação ao instituidor:
I - associados;
II - membros com vínculo direto;
III - membros com vínculo indireto; e
IV - cônjuges e parentes consanguíneos ou afins, até o quarto grau ou por adoção, das pessoas físicas referidas nos incisos I a III.
IV - cônjuges e parentes consanguíneos ou afins, até o quarto grau, das pessoas físicas referidas nos incisos I a III.
(Nota: inciso IV alterado pela Resolução Previc nº 26, de 16.12.2025)
Art. 110. A EFPC, quando autorizada pela Previc, pode assumir a qualidade de instituidor em planos de benefícios instituídos, em relação:
I - aos participantes e assistidos dos planos de benefícios por ela administrados;
II - às pessoas físicas vinculadas às pessoas jurídicas integrantes de grupo econômico que tenham relação de controle, de coligação ou de interligação com patrocinador dos planos de que trata o inciso I;
III - às pessoas físicas vinculadas às pessoas jurídicas mantidas ou instituídas por patrocinador dos planos de que trata o inciso I; e
IV - aos cônjuges e aos parentes consanguíneos ou afins, até o quarto grau ou por adoção, das pessoas físicas referidas nos incisos I a III.
IV - aos cônjuges e aos parentes consanguíneos ou afins, até o quarto grau, das pessoas físicas referidas nos incisos I a III.
(Nota: inciso IV alterado pela Resolução Previc nº 26, de 16.12.2025)
Parágrafo único. § 1º A EFPC, na condição de instituidor, não pode efetuar contribuições para o plano de benefícios.
§ 2º A EFPC, na condição de instituidor ou de patrocinador de plano de benefícios administrado pela própria entidade, não pode indicar membros para os Conselhos Deliberativo e Fiscal.
(Nota: parágrafo único renumerado e parágrafo 2º incluído pela Resolução Previc nº 26, de 16.12.2025)
Instituidor Setorial e Afiliado Setorial
Art. 111. A condição de instituidor setorial deve ser formalizada mediante a celebração de convênio de adesão a plano de benefícios.
§1º O instituidor setorial pode ter afiliados setoriais.
§2º No caso de adesão de instituidor setorial, os associados do afiliado setorial devem ser considerados para fins de comprovação do número mínimo de associados de que trata a normatização do CNPC.
Art. 112. A condição de afiliado setorial deve ser formalizada por meio de instrumento contratual específico com o instituidor setorial.
Parágrafo único. O instrumento contratual a que se refere o caput deve ficar disponível na EFPC.
Art. 113. A troca de vínculo de participantes entre afiliados setoriais associados a um mesmo instituidor setorial ou entre instituidores setoriais vinculados a um mesmo plano de benefícios não caracteriza desligamento do plano.
Parágrafo único. A EFPC deve manter o histórico de vínculos dos participantes nos instituidores e afiliados setoriais.
Art. 114. Os instituidores setoriais e os afiliados setoriais podem efetuar contribuições para seus associados ou empregados, desde que previstos em instrumento contratual específico.
Subseção V
Institutos Benefício Proporcional Diferido, Portabilidade, Resgate e Autopatrocínio
Art. 115. O regulamento do plano de benefícios deve dispor, em relação aos institutos, no mínimo, sobre:
I - carência, requisitos e demais condições de acesso aos institutos;
II - forma de cálculo, de pagamento e de atualização do benefício decorrente da opção pelo benefício proporcional diferido;
III - condições para a manutenção e custeio de eventuais coberturas dos riscos de invalidez e morte do participante, quando oferecidas durante a fase de diferimento ao participante optante pelo benefício proporcional diferido;
IV - diretrizes a serem utilizadas para o custeio das despesas administrativas, de déficits e de serviço passado, durante a fase de diferimento, pelo participante optante pelo benefício proporcional diferido, quando aplicável;
V - forma de apuração do direito acumulado para fins de portabilidade, inclusive quando se tratar de opção a ser realizada por participante que tenha previamente optado pelo benefício proporcional diferido;
VI - critério de atualização do valor a ser objeto de portabilidade ou resgate, no período compreendido entre a data de que trata o §1º do art. 116, e a efetiva transferência dos recursos ao plano de benefícios de destino ou o efetivo pagamento, respectivamente;
VII - critério de atualização dos recursos objeto de portabilidade procedente de outros planos de previdência complementar;
VIII - critérios de apuração, condições de acesso e formas de pagamento do resgate, inclusive quando se tratar de opção a ser realizada por participante que tenha previamente optado pelo benefício proporcional diferido;
IX - destinação da parcela patronal não resgatável, quando for o caso, observado o direito acumulado do participante;
X - prazo e a forma para a disponibilização, pela EFPC, do extrato previdenciário de que trata o art. 116;
XI - prazo para a opção do participante pelos institutos, que deve ser de, no mínimo, trinta dias, contados da data do recebimento do extrato previdenciário de que trata o art. 116;
XII - possibilidade de opção, pelo participante, por mais de um instituto, de forma simultânea e combinada, se for o caso; e
XIII - tratamento a ser dado às contribuições extraordinárias, aos resultados deficitários não equacionados cabíveis ao participante e aos outros débitos do participante em relação ao plano de benefícios, inclusive aqueles decorrentes de operações da EFPC com o participante, em caso de opção pelos institutos da portabilidade e do resgate.
Extrato Previdenciário
Art. 116. A EFPC deve disponibilizar extrato previdenciário ao participante, por meio físico ou eletrônico, observado o prazo de trinta dias, contados da data-base de apuração, referente a cada plano de benefícios ao qual esteja vinculado.
§1º A data-base de apuração das informações previstas no extrato previdenciário de que trata o caput, corresponde à data de:
I - última atualização da reserva na forma prevista no regulamento do plano de benefícios;
II - recebimento da comunicação da cessação do vínculo com o patrocinador ou com o instituidor;
III - requerimento protocolado pelo participante para a nova opção, no caso de participante que tenha optado pelo benefício proporcional diferido ou pelo autopatrocínio e que queira realizar posterior opção por outro instituto; ou
IV - requerimento protocolado pelo participante, em quaisquer outras circunstâncias.
§2º A ausência de comunicação tempestiva, pelo patrocinador, da cessação do vínculo empregatício, não retira do participante o direito de optar pelos institutos.
§3º O extrato previdenciário deve:
I - conter as informações relativas a cada um dos institutos, na forma dos arts. 117 a 121; e
II - fazer referência à possibilidade de opção por mais de um instituto, caso haja previsão regulamentar.
Art. 117. O extrato previdenciário deve conter, no mínimo, em relação ao instituto do benefício proporcional diferido:
I - a estimativa do valor e os critérios de cálculo e atualização do benefício decorrente da opção pelo instituto, observada a modalidade do plano de benefícios e o disposto no regulamento;
II - as condições de cobertura dos riscos de invalidez e morte, quando oferecidas durante a fase de diferimento, com a indicação do critério para seu custeio;
III - o critério para o custeio de déficits ou de serviço passado, quando aplicável; e
IV - o critério para o custeio das despesas administrativas, conforme definido em plano de custeio.
Art. 118. O extrato previdenciário deve conter, no mínimo, em relação ao instituto da portabilidade:
I - o valor correspondente ao direito acumulado no plano de benefícios, com a demonstração do cálculo, segregado entre contribuições do participante e do patrocinador e rentabilidade anual, ou proporcionalizada, auferida no período de diferimento;
II - o valor atualizado dos recursos objeto de portabilidade de outros planos de previdência complementar pelo participante, segregado entre entidade aberta de previdência complementar, sociedade seguradora e EFPC, bem como entre contribuições de participante e de patrocinador;
III - o valor das contribuições extraordinárias e dos resultados deficitários não equacionados cabíveis ao participante;
IV - o valor de outros débitos do participante em relação ao plano de benefícios, inclusive aqueles decorrentes de operações da EFPC com o participante; e
V - o critério para a atualização dos valores informados, nos termos dos incisos I a IV, entre a data-base de apuração e a data de sua efetiva transferência.
Art. 119. O extrato previdenciário deve conter, no mínimo, em relação ao instituto do resgate:
I - no caso de resgate integral:
a) o respectivo valor, com a demonstração do cálculo, segregado entre contribuições do participante e do patrocinador e rentabilidade anual, ou proporcionalizada, auferida no período de diferimento;
b) o valor de contribuições extraordinárias e resultados deficitários não equacionados cabíveis ao participante;
c) o valor de outros débitos do participante em relação ao plano de benefícios, inclusive aquelas decorrentes de operações com participantes; e
d) o critério para a atualização dos valores informados, nos termos das alíneas "a" a "c", entre a data-base de apuração e a data do seu efetivo pagamento; e
II - no caso de resgate parcial:
a) o percentual respectivo, observado o disposto no regulamento do plano de benefícios;
b) a demonstração do cálculo, segregado entre contribuições do participante e do patrocinador; e
c) o critério para a atualização do valor informado, nos termos da alínea "a", entre a data-base de apuração e a data do seu efetivo pagamento.
Parágrafo único. O extrato previdenciário deve conter informações sobre a opção de tributação do participante e a estimativa da alíquota incidente e do valor líquido para o resgate.
Art. 120. O extrato previdenciário deve conter, no mínimo, em relação ao instituto do autopatrocínio:
I - o valor base de remuneração, para fins de contribuição, e o critério para a sua atualização;
II - o percentual ou valor da contribuição e o critério para a sua atualização ou alteração, se for o caso, conforme definido em plano de custeio;
III - as condições de cobertura dos riscos de invalidez e de morte durante a fase de contribuição, quando previstas em regulamento, com a indicação do critério para seu custeio;
IV - o critério para o custeio de déficits ou de serviço passado, quando aplicável; e
V - o critério para o custeio das despesas administrativas definidas em plano de custeio.
Termo de Opção
Art. 121. O participante deve formalizar sua opção pelos institutos por meio do preenchimento de termo de opção, disponibilizado pela EFPC em meio físico ou eletrônico, no prazo a que se refere o inciso XI do art. 115.
§1º O termo de opção deve possibilitar a opção por mais de um instituto, mediante a combinação que mais aprouver ao participante, especialmente quando houver interesse no resgate parcial, observados os dispositivos pertinentes no regulamento do plano de benefícios.
§2º Na hipótese de questionamento, pelo participante, das informações constantes do extrato previdenciário, o prazo para opção a que se refere o caput deve ser suspenso até que sejam prestados, pela EFPC, os esclarecimentos pertinentes, observado o prazo de trinta dias, contados da data do questionamento.
§3º Na hipótese de opção pela portabilidade, as informações de que tratam os incisos IV, V, VI e VII do art. 122 devem constar do termo de opção.
Termo de Portabilidade
Art. 122. A portabilidade deve ser implementada por meio de termo de portabilidade emitido pela entidade de origem, em meio físico ou eletrônico, contendo, no mínimo:
I - a identificação do participante e sua anuência quanto às informações constantes do termo de portabilidade;
II - a identificação da entidade de origem, com assinatura do seu representante legal;
III - a identificação do plano de benefícios de origem;
IV - a identificação da entidade de destino, incluindo os dados de contato para envio do termo de portabilidade;
V - a identificação do plano de benefícios de destino;
VI - o valor a ser objeto de portabilidade, com segregação entre as parcelas correspondentes às contribuições do participante e do patrocinador, e o critério para sua atualização até a data da sua efetiva transferência; e
VII - a indicação dos dados bancários de titularidade da entidade de destino, a serem utilizados para a transferência dos recursos.
§1º Para fins do disposto neste artigo, entende-se por:
I - entidade de origem: aquela que administra o plano de benefícios ao qual está vinculado o participante; e
II - entidade de destino: aquela que administra o plano de benefícios ao qual o participante pretende transferir seus recursos.
§2º Em caso de portabilidade entre planos administrados pela mesma entidade, as informações previstas nos incisos IV e VII do caput ficam dispensadas da inclusão no termo de portabilidade.
Art. 123. A entidade de origem deve encaminhar o termo de portabilidade à entidade de destino, observado o prazo de cinco dias úteis, contados da data do protocolo do termo de opção ou do envio das informações necessárias para a confecção do termo de portabilidade.
Parágrafo único. Quando se tratar de portabilidade para entidade aberta de previdência complementar ou sociedade seguradora, o respectivo termo deve ser entregue ao próprio participante.
Art. 124. O valor a ser objeto de portabilidade corresponde ao somatório dos valores referidos nos incisos I a IV do art. 118, acrescido de eventuais contribuições efetuadas posteriormente a essa data.
Art. 125. A entidade de destino deve manter controle segregado específico dos recursos recepcionados de outros planos em decorrência da portabilidade.
§1º Os recursos de que trata o caput devem ser segregados na entidade de origem entre contribuições do participante e do patrocinador.
§2º O disposto no caput não se aplica à parcela utilizada para pagamento de aporte inicial previsto no regulamento e na nota técnica atuarial do plano de benefícios de destino.
Art. 126. A segregação de que tratam os incisos I e II do art. 118, a alínea "a" do inciso I e a alínea "b" do inciso II do art. 119, o inciso VI do art. 122 e o § 1º do art. 125 não se aplica aos recursos:
I - recebidos em decorrência de retirada de patrocínio de outro plano previdenciário; e
II - decorrentes de portabilidade realizada anteriormente a 1º de janeiro de 2023.
§1º Os recursos referidos no caput podem ser informados como contribuições do participante.
§2º Quando a modelagem de acumulação do recurso garantidor do benefício pleno for de benefício definido, a EFPC pode assumir como valor das contribuições do patrocinador a diferença entre a reserva matemática e a reserva constituída pelo participante.
Art. 127. A transferência dos recursos entre os planos de benefícios de origem e de destino, em decorrência da portabilidade, deve ser efetuada em moeda corrente nacional, observado o prazo de dez dias úteis, contados da data do protocolo do termo de portabilidade perante a entidade de origem ou da data em que o participante tiver realizado a entrega completa da documentação e informações exigidas pela entidade de origem, o que resultar no maior prazo.
Art. 128. As coberturas dos benefícios dos participantes que optaram pelo autopatrocínio não podem ser distintas daquelas previstas no plano de custeio para os demais participantes.
Art. 129. As EFPC devem realizar as adaptações obrigatórias nos regulamentos dos planos de benefícios administrados, em razão das disposições da Resolução CNPC nº 50, de 16 de fevereiro de 2022, até o dia 31 de dezembro de 2025, observado o disposto no art. 17 da Lei Complementar nº 109, de 2001.
Art. 129. As EFPC devem realizar as adaptações obrigatórias nos regulamentos dos planos de benefícios administrados, em razão das disposições da Resolução CNPC nº 50, de 16 de fevereiro de 2022, até o dia 31 de dezembro de 2026, observado o disposto no art. 17 da Lei Complementar nº 109, de 2001.
(Nota: caput do art. 129 alterado pela Resolução Previc nº 26, de 16.12.2025)
Parágrafo único. Os planos que possuem somente assistidos em gozo de benefícios de prestação continuada e participantes ativos elegíveis ao benefício programado estão dispensados de realizar as adaptações referidas no caput.
Subseção VI
Transferência de Gerenciamento de Plano de Benefícios
Art. 130. Para fins desta Seção, considera-se:
I - data da notificação: aquela em que a entidade de origem recebe do patrocinador a notificação da decisão de transferir o gerenciamento do plano de benefícios;
II - data de protocolo: aquela em que a entidade de origem protocolar o requerimento de licenciamento de transferência de gerenciamento na Previc;
III - data de autorização: aquela em que for publicado, no Diário Oficial da União, o ato da Previc que autorizar a transferência de gerenciamento;
IV - data-efetiva: aquela acordada formalmente entre as entidades de origem e de destino e o patrocinador para a conclusão da transferência de gerenciamento, com o cumprimento do Termo de Transferência; e
V - plano de transferência de gerenciamento: documento pactuado entre o patrocinador e as entidades de origem e de destino contemplando, pelo menos, a definição de cronograma, as diretrizes relacionadas à elaboração do Termo de Transferência e a forma de disponibilização de documentos e informações para viabilizar a operação.
Art. 131. O representante legal da EFPC deve, no prazo de dez dias úteis, contados da data da notificação dos patrocinadores ou instituidores do plano de benefícios objeto de transferência de gerenciamento:
I - dar ciência aos órgãos estatutários da EFPC;
II - comunicar os participantes e assistidos vinculados ao plano de benefícios; e
III - adotar os procedimentos necessários ao início da transferência de gerenciamento.
Parágrafo único. A exposição de motivos contida na notificação do patrocinador deve apresentar manifestação sobre:
I - a economicidade da operação, mediante comparativo, entre as entidades de origem e de destino, do custeio administrativo dos planos de benefício e das despesas totais de investimentos;
II - a estrutura de governança das entidades de origem e de destino, mediante comparativo que explicite a representação dos patrocinadores e participantes e assistidos vinculados aos planos objeto da transferência de gerenciamento;
III - a vantajosidade da operação, tendo por base as informações dos incisos I e II; e
IV - outras informações que fundamentem a decisão do patrocinador.
Art. 132. O Termo de Transferência deve dispor, no mínimo, sobre:
I - os direitos e as obrigações das partes, inclusive quanto às despesas com o requerimento de licenciamento da transferência de gerenciamento;
II - o tratamento a ser dado aos ativos, aos passivos e as ações judiciais e aos respectivos efeitos no patrimônio;
III - o prazo para que as entidades de origem e de destino requeiram a substituição processual em relação ao passivo contingente relacionado com o plano de benefícios objeto da transferência de gerenciamento, se existente;
IV - o prazo para finalização da transferência de gerenciamento, a ser estabelecido a partir da data de autorização; e
V - os termos da rescisão do convenio de adesão do patrocinador com a entidade de origem.
Paragrafo único. Em caso de impossibilidade jurídica para a substituição processual de que trata o inciso III, o Termo de Transferência pode prever a permanência dos valores provisionados no exigível contingencial, na entidade de origem, até o encerramento da ação judicial.
Art. 133. A entidade de origem deve divulgar a minuta do Termo de Transferência aos participantes e assistidos do plano de benefício objeto da transferência de gerenciamento, observado o prazo mínimo de trinta dias antes da data de protocolo.
Art. 134. Art. 134. O requerimento de transferência de gerenciamento deve ser protocolado pela entidade de origem e a comprovação da finalização da operação deve ser protocolada pela entidade de destino.
Parágrafo único. O requerimento de transferência deve ser protocolado no prazo de cento e oitenta dias contados da data da notificação, podendo esse prazo ser prorrogado mediante acordo firmado entre os patrocinadores ou instituidores do plano e as entidades de origem e de destino.
Subseção VII
Retirada de Patrocínio
Definições
(Nota: título "Definições" incluído pela Resolução Previc nº 25/2024)
Art. 135. Para os fins desta Seção, além das definições estabelecidas pela Resolução CNPC nº 53, de 10 de março de 2022, considera-se:
Art. 135. Para os fins desta Seção, considera-se as seguintes definições:
(Nota: caput do art 135 alterado pela Resolução Previc nº 25/2024)
Art. 135. Para os fins desta Subseção, consideram-se as seguintes definições:
(Nota: caput do art. 135 alterado pela Resolução Previc nº 26, de 16.12.2025)
I - data da notificação: aquela na qual a EFPC receber do patrocinador a notificação sobre a decisão da retirada de patrocínio ou o patrocinador receber a notificação da entidade sobre a decisão da rescisão unilateral de convênio de adesão, relativamente a determinado plano de benefícios;
II - data de protocolo: aquela na qual a EFPC deve protocolar o requerimento de licenciamento de retirada de patrocínio ou de rescisão unilateral de convênio de adesão junto à Previc, no prazo de até duzentos e quarenta dias, contados da data da notificação;
III - data de aporte: aquela na qual devem ocorrer os aportes de responsabilidade do patrocinador, previstos no termo de retirada de patrocínio ou de rescisão unilateral, no prazo de trinta dias, contados da data do cálculo;
IV - data efetiva: aquela na qual a EFPC deve finalizar a liquidação dos compromissos previstos no termo de retirada de patrocínio ou de rescisão unilateral, no prazo máximo de duzentos e dez dias, contados da data do cálculo; e
V - período de opção: prazo mínimo de trinta dias, concedido aos participantes e assistidos para o exercício das opções oferecidas em face da retirada de patrocínio ou da rescisão unilateral de convênio de adesão.
I - data da notificação: aquela na qual a EFPC receber do patrocinador a notificação sobre a decisão da retirada de patrocínio ou o patrocinador receber a notificação da entidade sobre a decisão da rescisão de convênio de adesão por iniciativa da EFPC, relativamente a determinado plano de benefícios;
II - data de protocolo: aquela na qual a EFPC deve protocolar o requerimento de licenciamento de retirada de patrocínio ou de rescisão de convênio de adesão por iniciativa da EFPC junto à Previc, observado o prazo máximo de até duzentos e quarenta dias, contados da data da notificação.
III - data de aporte: aquela na qual devem ocorrer os aportes de responsabilidade do patrocinador, previstos no termo de retirada de patrocínio ou de rescisão de convênio de adesão por iniciativa da EFPC, em até trinta dias antes da data efetiva;
IV - data efetiva: aquela na qual a EFPC deve finalizar a transferência das reservas matemáticas individuais e demais elementos do patrimônio de retirada de patrocínio para o Plano Instituído de Preservação da Proteção Previdenciária ou para outro plano de benefícios instituído, no caso de inviabilidade técnica e operacional daquele, mediante o cumprimento das condições e compromissos previstos no termo de retirada de patrocínio, no prazo máximo de cento e vinte dias, contados da data do cálculo;
V - período de opção: prazo de cento e vinte dias, concedido aos participantes e assistidos para o exercício das opções oferecidas em face da retirada de patrocínio ou da rescisão de convênio de adesão por iniciativa da EFPC, contados da data efetiva;
VI - data-base: o dia trinta e um de dezembro do exercício imediatamente anterior ao da data do protocolo do requerimento de licenciamento na Previc ou a data de referência da última demonstração atuarial dos planos envolvidos na operação, o que for mais recente, em que devem ser posicionados os cálculos referenciais que servirão para a instrução do requerimento;
VII - data de autorização: aquela em que for publicado, no Diário Oficial da União, o ato da Superintendência Nacional de Previdência Complementar que autorizar a retirada de patrocínio ou a rescisão de convênio de adesão por iniciativa da EFPC;
VIII - data do cálculo: aquela correspondente ao último dia do mês em que ocorrer a data de autorização, momento em que os cálculos são posicionados visando mensurar os direitos e obrigações efetivos das partes, em face de retirada de patrocínio ou da rescisão de convênio de adesão por iniciativa da EFPC, substituindo os valores calculados na data-base, restando rescindido o convênio de adesão a partir dessa data;
IX - data de conclusão da retirada: aquela na qual a EFPC administradora do plano de benefícios instituído receptor dos participantes e assistidos envolvidos na retirada de patrocínio finaliza a efetivação das opções realizadas pelos participantes e assistidos ou efetiva os créditos referentes aos recursos do Fundo Previdencial de Proteção à Longevidade, na conta individual dos participantes e assistidos que se mantiveram inscritos no plano que recepcionou os participantes e assistidos alcançados pela retirada de patrocínio ou pela rescisão de convênio de adesão por iniciativa da EFPC, no caso de inviabilidade atuarial do referido fundo, o que ocorrer por último, não podendo ultrapassar o prazo máximo de duzentos e setenta dias da data efetiva.
(Nota: incisos de I a V alterados e incluídos incisos de VI a IX pela Resolução Previc nº 25/2024)
§ 1º Excetua-se do prazo previsto no inciso III do caput, as responsabilidades do patrocinador referentes:
I - à diferença a menor entre o valor dos ativos precificados a mercado, na data de cálculo, e sua posterior realização, cuja quitação deve ocorrer no prazo de, no mínimo, trinta dias antes da data efetiva; e
II - ao reembolso das despesas administrativas relativas ao processo de licenciamento de retirada de patrocínio e sua operacionalização e os eventuais compromissos com o exigível contingencial e o passivo contingente, cuja quitação deve ocorrer nas condições estabelecidas no termo de retirada.
§ 1º Excetua-se do prazo previsto no inciso III do caput, as responsabilidades do patrocinador referentes ao reembolso das despesas administrativas relativas ao processo de licenciamento de retirada de patrocínio e sua operacionalização, incluindo-se os custos de criação e implantação do Plano Instituído de Preservação da Proteção Previdenciária, ou de eventuais adaptações a outro plano de benefícios instituído, conforme o caso, e os eventuais compromissos com o exigível contingencial e o passivo contingente, cuja quitação deve ocorrer nas condições estabelecidas no termo de retirada e até a data da conclusão da retirada, considerando-se todas as etapas do processo e as entidades envolvidas, conforme o caso.
(Nota: parágrafo 1º alterado pela Resolução Previc nº 25/2024)
§ 2º A contagem do prazo de que trata o inciso V do caput deve ser iniciada depois da data do cálculo e finalizada, no máximo, trinta dias antes da data efetiva, conforme definido no termo de retirada.
(Nota: parágrafo 2º revogado pela Resolução Previc nº 25/2024)
Procedimentos Preliminares
(Nota: título "Procedimentos Preliminares" incluído pela Resolução Previc nº 25/2024)
Art. 136. A EFPC deve, no prazo de dez dias úteis, contados da data da notificação do patrocinador:
Art. 136. A EFPC deve, no prazo de até dez dias úteis, contados da data da notificação do patrocinador:
(Nota: caput do art. 136 alterado pela Resolução Previc nº 25/2024)
I - dar ciência da decisão aos seus órgãos estatutários;
II - comunicar a decisão aos participantes e assistidos vinculados ao plano de benefícios;
III - dar ciência aos patrocinadores remanescentes do plano de benefícios, se houver; e
II - divulgar em seu sítio eletrônico e/ou outros canais de comunicação e atendimento o inteiro teor da notificação do(s) patrocinador(es) retirante(s) aos participantes e assistidos vinculados ao plano de benefícios, na forma da legislação vigente;
III - divulgar o inteiro teor da notificação do(s) patrocinador(es) retirante(s) aos patrocinadores remanescentes do plano de benefícios, se houver; e
(Nota: incisos II e III alterados pela Resolução Previc nº 25/2024)
IV - iniciar os procedimentos necessários à realização da operação.
§1º A notificação de que trata o caput e os documentos e informações relativas ao requerimento de licenciamento da retirada de patrocínio devem ser disponibilizados aos participantes e assistidos do plano de benefícios objeto da operação no sítio eletrônico da EFPC, ressalvadas as informações de caráter individual.
§ 1º A notificação de que trata o caput e os documentos e informações relativas ao requerimento de licenciamento da retirada de patrocínio devem ser disponibilizados aos participantes e assistidos do plano de benefícios objeto da operação no sítio eletrônico da EFPC, em, no mínimo trintas dias antes do protocolo do requerimento na Previc, ressalvadas as informações de caráter individual.
(Nota: parágrafo 1º alterado pela Resolução Previc nº 25/2024)
§2º A EFPC e o patrocinador retirante devem dar início à atualização cadastral dos participantes e assistidos vinculados ao plano de benefícios objeto da retirada de patrocínio, incluindo os participantes optantes pelos institutos do autopatrocínio e do benefício proporcional diferido e os ex-participantes com recursos financeiros no plano de benefícios, em, no máximo, trinta dias, contados da data da notificação.
§ 2º A EFPC e o patrocinador retirante devem dar início à atualização cadastral dos participantes e assistidos vinculados ao plano de benefícios objeto da retirada de patrocínio, incluindo os participantes optantes pelos institutos do autopatrocínio e do benefício proporcional diferido e os participantes cancelados com recursos financeiros no plano de benefícios, em, no máximo, trinta dias, contados da data da notificação.
(Nota: parágrafo 2º alterado pela Resolução Previc nº 26, de 16.12.2025)
§3º Sem prejuízo do disposto no §2º, incumbe ao participante ou assistido manter atualizados junto à EFPC os seus endereços residencial e eletrônico e os dados relativos à conta referida no inciso I do art. 143, bem como incumbe à EFPC adotar as medidas necessárias para o controle dessas atualizações.
§ 3º Sem prejuízo do disposto no § 2º, incumbe ao participante ou assistido manter atualizados junto à EFPC os seus dados cadastrais, especialmente seus endereços residencial e eletrônico e seu telefone, bem como incumbe à EFPC adotar as medidas necessárias para o controle dessas atualizações.
(Nota: parágrafo 3º alterado pela Resolução Previc nº 25/2024)
Art. 137. A avaliação atuarial da retirada de patrocínio, posicionada na data-base e na data do cálculo, deve considerar a precificação dos ativos do plano de benefícios a valores de mercado.
Art. 137. A avaliação atuarial da retirada de patrocínio, para fins de apuração do resultado do plano objeto da retirada na data-base e na data do cálculo, deve considerar:
(Nota: caput do art. 137 alterado pela Resolução Previc nº 25/2024)
I - os ativos pelo seu valor contábil;
II - as provisões matemáticas de benefícios concedidos e a conceder calculadas considerando os critérios previstos nos incisos I, II e III do art. 7º da Resolução CNPC nº 59, de 2023; e
III - as provisões matemáticas a constituir.
§ 1º Após a apuração das reservas matemáticas individuais, a EFPC deve apurar as reservas matemáticas individuais finais, por meio dos acréscimos ou deduções previstas nos incisos IV, V, VI e § 5º do art. 7º, no art. 12 e no inciso III do art. 16, todos da Resolução CNPC nº 59, de 2023.
§ 2º Na hipótese de reversão do fundo para garantia das operações com participantes por perda de seu objeto, a parcela individual do fundo deve ser acrescida à reserva matemática individual final dos participantes e assistidos, conforme critério definido no termo de retirada.
(Nota: incisos I, II, III e parágrafos 1º e 2º incluídos pela Resolução Previc nº 25/2024)
Art. 137-A. A EFPC deve avaliar a viabilidade técnica e operacional de implantação do Plano Instituído de Preservação da Proteção Previdenciária, destinado a recepcionar os participantes e assistidos alcançados pela retirada de patrocínio.
§ 1º A avaliação de que trata o caput deve ser conclusiva, considerando, no mínimo, os seguintes aspectos relativos aos participantes e assistidos alcançados pela retirada de patrocínio e respectivo patrimônio na retirada:
a) o número de participantes e assistidos;
b) o volume total de recursos, destacando: o exigível contingencial, o patrimônio social, o patrimônio de cobertura, as provisões matemáticas, os fundos previdenciais e o fundo para garantia das operações com participantes;
c) os valores que serão destinados ao fundo administrativo registrado no plano de benefícios e sua capacidade de arcar com as despesas administrativas atribuídas ao plano;
d) as despesas administrativas estimadas atribuídas ao plano, observada a legislação específica;
e) as receitas administrativas estimadas, segregadas entre as fontes de receita previstas na legislação;
f) a taxa de carregamento e a taxa de administração previstas no plano de custeio do plano de benefícios; e
g) a estimativa de permanência de participantes e assistidos após o período de opção, devidamente fundamentada, recomendada a realização de pesquisa prévia com todos os participantes e assistidos envolvidos na retirada de patrocínio, quando possível.
§ 2º As informações de que trata o § 1º devem estar posicionadas na data-base e ser projetadas para o prazo de, no mínimo, cinco anos.
§ 3º Caso a avaliação de que trata o caput conclua, após validação pelo Conselho Deliberativo, pela viabilidade do plano, a EFPC deve protocolar, juntamente com o requerimento de retirada de patrocínio, requerimento de implantação do Plano Instituído de Preservação da Proteção Previdenciária.
§ 4º Caso a avaliação de que trata o caput conclua pela não viabilidade do plano, uma das seguintes opções deve ser adotada para transferência dos participantes e assistidos alcançados pela retirada de patrocínio e respectivo patrimônio de retirada, nesta ordem de preferência:
I - a EFPC administradora do plano objeto de retirada deve protocolar, juntamente com o requerimento de retirada de patrocínio, requerimento de alteração de regulamento de plano de benefícios instituído já existente sob sua administração;
II - outra EFPC deve protocolar, na mesma data do protocolo da retirada de patrocínio, requerimento de implantação do Plano Instituído de Preservação da Proteção Previdenciária, desde que o plano seja considerado viável, nos termos do § 1º; ou
III - outra EFPC deve protocolar, na mesma data do protocolo da retirada de patrocínio, requerimento de alteração de regulamento de plano instituído já existente sob sua administração.
§ 5º A viabilidade do Plano Instituído de Preservação da Proteção Previdenciária, caso implantado, deve ser avaliada novamente no prazo de noventa dias contados da data da conclusão da retirada, devendo a EFPC, no caso de constatada sua não viabilidade neste momento ou no futuro, adotar uma das opções de que trata o § 4º.
(Nota: art. 137-A incluído pela Resolução Previc nº 25/2024)
Procedimentos Posteriores à data de autorização e até a data efetiva
(Nota: título "Procedimentos Posteriores à data de autorização e até a data efetiva" pela Resolução Previc nº 25/2024)
Art. 137-B. Nos casos em que o plano de benefícios objeto da retirada oferecer benefícios programados ou não programados na forma de renda vitalícia, o Fundo Previdencial de Proteção à Longevidade para a cobertura de sobrevivência deve ser constituído, na data efetiva, no plano que recepcionar os participantes e assistidos alcançados pela retirada de patrocínio.
§ 1º O fundo de que trata o caput deve ter caráter atuarial e mutualista, de responsabilidade exclusiva dos participantes e assistidos envolvidos na retirada, a partir de sua constituição.
§ 2º O fundo de que trata o caput deve ter sua viabilidade atuarial comprovada e fundamentada, de forma conservadora e prudente, pelo atuário responsável e pelo Administrador Responsável pelo Plano de Benefício (ARPB), em, no máximo, noventa dias contados da data de efetivação das opções dos participantes e assistidos.
§ 3º Caso seja verificada a inviabilidade do Fundo Previdencial de Proteção à Longevidade no prazo previsto no § 2º deste artigo, ou deixe de tê-la a qualquer momento, os recursos devem ser creditados na conta individual dos participantes e assistidos que se mantiveram inscritos no Plano Instituído de Preservação da Proteção Previdenciária após o prazo de que trata o § 1º do art. 13 da Resolução CNPC nº 59, de 2023, sendo que o critério técnico para individualização do referido Fundo deve constar do termo de retirada de patrocínio, observando-se a proporção das reservas matemáticas individuais.
(Nota: art. 137-B incluído pela Resolução Previc nº 25/2024)
Art. 137-C. Os valores do fundo para garantia das operações com participantes, se houver, devem ser destinados exclusivamente aos participantes e assistidos envolvidos na retirada de patrocínio, considerando o critério estabelecido no termo de retirada de patrocínio, definido com base nas regras de constituição e reversão do fundo.
(Nota: art. 137-C incluído pela Resolução Previc nº 25/2024)
Art. 138. O termo de retirada de patrocínio deve tratar, no mínimo:
I - dos critérios e dos procedimentos relativos à segregação patrimonial do plano de benefícios, no caso de retirada parcial;
II - dos critérios de rateio dos fundos, da reserva especial ou do déficit técnico, apurado na avaliação atuarial de retirada de patrocínio, entre patrocinador retirante, de um lado, e respectivos participantes e assistidos, de outro, nos termos da legislação aplicável;
III - do critério de individualização dos fundos, da reserva de contingência e da reserva especial ou do déficit técnico, apurado na avaliação atuarial de retirada de patrocínio, entre participantes e assistidos, nos termos da legislação aplicável;
IV - das demais obrigações do plano de benefícios, da EFPC e do patrocinador, em face da retirada de patrocínio, nos termos da legislação aplicável;
V - da responsabilidade do patrocinador e da EFPC sobre demandas judiciais ou extrajudiciais relacionadas ao plano de benefícios ocorridas após a data do cálculo;
VI - dos prazos, contados a partir da data do cálculo, para:
a) a disponibilização dos termos de opção aos participantes e assistidos;
b) o período de opção;
c) o aporte de responsabilidade do patrocinador, se for o caso; e
d) a fixação da data efetiva;
VII - das opções oferecidas aos participantes e assistidos vinculados ao patrocinador retirante;
VIII - da obrigação de adoção de medidas judiciais ou de procedimentos administrativos alternativos para quitação das obrigações do plano de benefícios com os participantes ou assistidos que não forem localizados, permanecerem inertes ou recusarem-se a receber o valor a que fazem jus em razão de retirada de patrocínio; e
IX - do tratamento a ser conferido aos valores registrados no exigível contingencial e no passivo contingente do plano de benefícios, decorrentes de ações judiciais e de medidas administrativas, antes e depois da data do cálculo, inclusive quanto a eventual diferença entre o valor de decisão proferida após a data do cálculo e o correspondente valor registrado.
Parágrafo único. No caso de retirada parcial com permanência de participantes e assistidos no plano de benefícios, deve também constar do termo de retirada de patrocínio cláusula de anuência do patrocinador remanescente ao qual esses participantes e assistidos passarão a ficar vinculados.
II - dos critérios de rateio do fundo administrativo, da reserva especial ou do déficit técnico, apurados na avaliação atuarial de retirada de patrocínio, entre patrocinador retirante, de um lado, e respectivos participantes e assistidos, de outro, nos termos da legislação aplicável;
III - dos critérios de individualização dos fundos previdenciais, quando houver, apurados na avaliação atuarial de retirada de patrocínio, entre participantes e assistidos, no caso em que o plano de benefícios objeto de retirada de patrocínio oferecer somente benefícios estruturados em saldo de conta individual;
IV - das obrigações da EFPC e do patrocinador retirante, em face da retirada de patrocínio, nos termos da legislação aplicável;
V - da responsabilidade do patrocinador retirante e da EFPC sobre demandas judiciais ou extrajudiciais relacionadas ao plano de benefícios ocorridas após a data do cálculo;
VI - dos prazos para:
a) comunicação aos participantes, aos assistidos e aos patrocinadores do plano sobre a autorização da retirada de patrocínio pela Previc que deve ser de no máximo dez dias úteis, contados da data de autorização;
b) quitação, que deve ser no máximo trinta dias antes da data efetiva, dos valores correspondentes às seguintes responsabilidades do patrocinador em face da retirada de patrocínio:
1. diferença a menor entre o valor contabilizado dos ativos, na data do cálculo, e sua posterior realização;
2. diferença de custos decorrente da reavaliação das reservas matemáticas individuais dos assistidos, decorrente da sobrevida, não podendo ser inferior a sessenta meses;
3. parcela do valor presente das contribuições normais futuras dos assistidos, de responsabilidade do patrocinador retirante;
4. diferença entre as reservas matemáticas individualmente apuradas na avaliação atuarial de retirada e o montante do seu recálculo considerando a tábua biométrica de mortalidade geral vigente no plano de benefícios, com aplicação da escala geracional AA; e
5. dívidas contratadas, provisões a constituir, parcela do déficit apurado e outras dívidas e compromissos assumidos com o plano objeto da retirada ou com a entidade.
c) disponibilização dos termos de opção, bem como do regulamento do plano instituído que recepcionará os participantes e assistidos alcançados pela retirada de patrocínio, que deve ser de no mínimo trinta dias antes da data efetiva;
d) definição da data efetiva, que deve ser de no máximo cento e vinte dias contados a partir da data do cálculo;
e) o período de opção, que deve ser de cento e vinte dias contados a partir da data efetiva;
f) efetivação das opções dos participantes e assistidos, que deve ser de no máximo sessenta dias contados a partir da data final do período de opção;
g) avaliação e deliberação pelo Conselho Deliberativo sobre a viabilidade atuarial do Fundo Previdencial de Proteção à Longevidade, que deve ser de no máximo noventa dias contados a partir da data de efetivação das opções dos participantes e assistidos;
h) crédito dos recursos do Fundo Previdencial de Proteção à Longevidade na conta individual dos participantes e assistidos, na hipótese de conclusão da não viabilidade atuarial do referido fundo, quando for o caso, que deve ser de no máximo trinta dias, contados a partir da avaliação e deliberação do Conselho Deliberativo; e
i) quitação, pelo patrocinador, das despesas administrativas referentes ao processo de licenciamento de retirada de patrocínio e sua operacionalização, incluindo-se os custos de implantação e avaliação de viabilidade do Plano Instituído de Preservação da Proteção Previdenciária, ou de adaptações do regulamento e operacionalização de outro plano de benefícios instituído, conforme o caso, e os custos de avaliação de viabilidade atuarial do Fundo Previdencial de Proteção à Longevidade, quando couber, que deve ocorrer até a data da conclusão da retirada.
VII - das opções oferecidas aos participantes e assistidos vinculados ao (s) patrocinador(es) retirante(s);
VIII - do tratamento a ser conferido aos valores registrados no exigível contingencial e no passivo contingente do plano de benefícios, decorrentes de ações judiciais e de medidas administrativas, antes e depois da data do cálculo, inclusive quanto a eventual diferença entre o valor de decisão judicial proferida após a data do cálculo e o correspondente valor registrado;
IX - da constituição do Fundo Previdencial de Proteção da Longevidade, quando for o caso;
X - da constituição do fundo administrativo no plano que recepcionar os participantes e assistidos alcançados pela retirada de patrocínio, quando for o caso;
XI - do critério de individualização do déficit técnico, apurado na avaliação atuarial de retirada de patrocínio, entre participantes e assistidos, nos termos da legislação aplicável;
XII - do critério de destinação e rateio, quando for o caso, dos valores do fundo para garantia das operações com participantes, quando existente;
(Nota: incisos II a IX alterados e incluídos incisos X a XII pela Resolução Previc nº 25/2024)
Parágrafo único. Na hipótese de o plano instituído receptor dos participantes e assistidos alcançados pela retirada de patrocínio ser administrado por outra EFPC, esta entidade também deverá constar como parte do termo de retirada, que deverá dispor, dentre outras definições necessárias, sobre as obrigações e responsabilidades em face da retirada de patrocínio pela EFPC administradora do plano receptor, a partida da data efetiva, nos termos da Resolução CNPC nº 59, de 2023.
(Nota: parágrafo único alterado pela Resolução Previc nº 25/2024)
Art. 139. A EFPC deve comunicar aos participantes, aos assistidos e ao patrocinador a autorização da retirada de patrocínio pela Previc e os prazos para os procedimentos subsequentes, no prazo de dez dias úteis, contados da data de autorização.
Art. 139. A EFPC deve comunicar aos participantes, aos assistidos e aos patrocinadores do plano a autorização da retirada de patrocínio pela Previc e os prazos para os procedimentos subsequentes, no prazo de dez dias úteis contados da data de autorização.
(Nota: caput do art. 139 alterado pela Resolução Previc nº 25/2024)
Art. 140. A EFPC deve encaminhar termo de opção aos participantes e assistidos, contendo, no mínimo:
I - os dados cadastrais e financeiros do participante ou assistido, desde o início de suas contribuições, com todos os parâmetros considerados para o cálculo da reserva matemática individual final;
II - o valor da reserva matemática individual final, com esclarecimentos pertinentes quanto à forma de apuração, discriminando os valores relativos à reserva matemática individual e os valores de excedente e de insuficiência patrimonial;
III - as opções decorrentes da retirada de patrocínio;
IV - o período de opção;
V - as informações sobre o procedimento a ser adotado no caso de não exercício da opção no prazo previsto;
VI - os esclarecimentos necessários sobre a possibilidade de recebimento, no futuro, de valor decorrente de patrimônio retido para cobertura de exigível contingencial do plano de benefícios; e
VII - a informação sobre eventuais débitos do participante junto ao plano de benefícios, inclusive os referentes àqueles realizados no segmento de operações com participantes, e as respectivas condições de quitação, dentre elas a compensação com o valor da sua reserva matemática individual final.
VI - os esclarecimentos necessários sobre a possibilidade de recebimento, no futuro, de valor decorrente de patrimônio retido para cobertura de exigível contingencial do plano de benefícios, caso permaneça no plano;
VII - a informação sobre eventuais débitos do participante junto ao plano de benefícios, inclusive os referentes àqueles realizados no segmento de operações com participantes, e as respectivas condições de quitação, dentre elas a compensação com o valor da sua reserva matemática individual final; e
VIII - as informações sobre a finalidade e as regras de constituição do Fundo Previdencial de Proteção à Longevidade para a cobertura de sobrevivência, quando for o caso, e os procedimentos previstos nos §§ 4º ao 6º do art. 11 da Resolução CNPC nº 59, de 2023;
(Nota: incisos VI e VII alterados e incluído inciso VIII pela Resolução Previc nº 25/2024)
§1º O termo de que trata o caput deve ser enviado no prazo de até sessenta dias, contados da data do cálculo.
§ 1º O termo de que trata o caput deve ser disponibilizado ao participante ou assistido, no mínimo, trinta dias antes da data efetiva.
(Nota: parágrafo 1º alterado pela Resolução Previc nº 25/2024)
§ 2º A EFPC deve disponibilizar o regulamento do plano instituído por opção, quando oferecido, acompanhado de materiais explicativos que descrevam as características gerais do plano de benefícios e o perfil de investimento.
(Nota: parágrafo 2º revogado pela Resolução Previc nº 25/2024)
Art. 140-A. A EFPC deve disponibilizar em seu sítio eletrônico o regulamento do plano de benefícios instituído, destinado a recepcionar os participantes e assistidos alcançados pela retirada de patrocínio, acompanhado de materiais explicativos que descrevam as características gerais do plano de benefícios e o perfil de investimento, quando for o caso, no mínimo, trinta dias antes da data efetiva.
(Nota: art. 140-A incluído pela Resolução Previc nº 25/2024)
Procedimentos Posteriores à Data Efetiva
(Nota: título "Procedimentos Posteriores à Data Efetiva" pela Resolução Previc nº 25/2024)
Art. 141. A EFPC, após o período de opção, deve adotar os procedimentos necessários à conclusão da retirada de patrocínio, providenciando:
I - a cobrança, à vista, das obrigações e débitos dos participantes, dos assistidos ou do patrocinador, nas condições estabelecidas no termo de retirada de patrocínio;
II - a liquidação do direito dos participantes e assistidos, pela efetivação das suas opções, bem como o pagamento de eventual excedente remanescente ao patrocinador retirante; e
III - a adesão dos participantes e assistidos que optarem pelo plano instituído por opção ou outro plano administrado pela EFPC, quando oferecido.
§1º O pagamento das obrigações referidas no inciso I do caput pode ser realizado por meio de encontro de contas, na forma acordada entre as partes, mediante a dedução de débitos do montante previsto no inciso II, a ser recebido em decorrência da retirada de patrocínio.
§2º Para a efetivação das opções de que trata o inciso II do caput, os valores apurados na avaliação atuarial da retirada de patrocínio, na data do cálculo, devem ser atualizados até a data da efetiva liquidação do compromisso, observando:
I - a rentabilidade líquida do patrimônio do plano de benefícios, no caso de retirada total; ou
II - a rentabilidade líquida da parcela patrimonial vinculada ao grupo que se retira do plano de benefícios, no caso de retirada parcial.
Art. 141. A EFPC deve adotar os procedimentos necessários à conclusão da retirada de patrocínio, providenciando:
I - a liquidação do direito dos participantes e assistidos, pela efetivação das suas opções; e
II - a avaliação de viabilidade atuarial do Fundo Previdencial de Proteção à Longevidade e os procedimentos dispostos no § 5º do art. 11 da Resolução CNPC nº 59, de 2023.
§ 2º Para a efetivação das opções de que trata o inciso I do caput, os valores apurados na avaliação atuarial da retirada de patrocínio, na data do cálculo, devem ser atualizados até a data efetiva, observando:
I - o índice de rentabilidade líquida do patrimônio do plano de benefícios objeto da retirada de patrocínio, considerando a última cota disponível na data da efetiva transferência dos recursos ao plano de benefícios instituído na retirada de patrocínio; e
II - a rentabilidade líquida da parcela patrimonial vinculada ao grupo que se retira do plano de benefícios objeto da retirada de patrocínio, observada na data efetiva da transferência dos recursos ao novo plano de benefícios instituído, no caso de retirada parcial.
§ 3º A EFPC deve concluir os procedimentos da retirada de patrocínio ou de rescisão do convênio de adesão por iniciativa da EFPC em até duzentos e setenta dias após a data efetiva.
(Nota: art. 141 alterado pela Resolução Previc nº 25/2024)
Art. 142. A EFPC deve finalizar a liquidação dos compromissos previstos no termo de retirada de patrocínio ou de rescisão unilateral, no prazo máximo de duzentos e dez dias, contados da data do cálculo.
Art. 142. A EFPC deve encaminhar a documentação comprobatória da finalização da retirada de patrocínio em até noventa dias contados da data de conclusão da retirada.
(Nota: art. 142 alterado pela Resolução Previc nº 25/2024)
Art. 142. A EFPC deve encaminhar a documentação comprobatória da finalização da retirada de patrocínio ou da rescisão de convênio de adesão por iniciativa da EFPC em até noventa dias contados da data de conclusão da operação.
(Nota: art. 142 alterado pela Resolução Previc nº 26, de 16.12.2025)
Art. 143. A EFPC, quando o participante ou assistido não for localizado, permanecer inerte ou recusar-se a receber o valor a que faz jus em razão da retirada de patrocínio, deve adotar, no prazo de sessenta dias, contados da data efetiva, quaisquer das medidas a seguir:
I - depósito em conta corrente, de pagamento ou de poupança em instituição financeira ou outra instituição autorizada a funcionar pelo Banco Central do Brasil, de que o participante ou assistido seja titular; ou
II - proposição de ação de consignação judicial ou extrajudicial em pagamento, nos termos do código de processo civil.
§1º Na impossibilidade de adoção das medidas previstas nos incisos do caput, a EFPC pode:
I - registrar o valor em rubrica apropriada no exigível operacional do plano de benefícios objeto de retirada parcial, ou do plano de gestão administrativa (PGA), no caso de retirada total, desde que a EFPC permaneça em funcionamento; ou
II - adotar outra medida administrativa ou judicial que possibilite a liquidação dos compromissos oriundos da retirada de patrocínio.
§2º A EFPC pode descontar dos valores contabilizados nos termos do §1º as despesas decorrentes da sua administração, limitado ao valor a que fizer jus o participante ou assistido.
Art. 143. O participante ou assistido que não for localizado ou permanecer inerte em relação às opções de que trata o inciso I do art. 141, deve permanecer inscrito no novo plano de benefícios instituído para a retirada de patrocínio, com o cumprimento de todas as obrigações previstas no regulamento do plano.
(Nota: art. 143 alterado pela Resolução Previc nº 25/2024)
Art. 144. Na hipótese de retenção patrimonial para lastrear o exigível contingencial, os valores correspondentes às provisões eventualmente revertidas após a data do cálculo devem ser destinados aos participantes, aos assistidos e ao patrocinador, considerada a proporção contributiva observada nos trinta e seis meses anteriores à data do cálculo, a partir das contribuições normais vertidas nesse período.
Art. 144. Na hipótese de retenção patrimonial para lastrear o exigível contingencial, os valores correspondentes às provisões eventualmente revertidas após a data do cálculo devem ser destinados aos participantes e aos assistidos alcançados pela retirada de patrocínio, da seguinte forma:
(Nota: caput do 144 alterado pela Resolução Previc nº 25/2024)
I - acrescidos às respectivas reservas matemáticas individuais finais, quando a reversão ocorrer antes da data efetiva; ou
II - creditadas nas respectivas contas individuais no plano de benefícios que recepcionar os participantes e assistidos alcançados pela retirada de patrocínio quando a reversão ocorrer após a data efetiva.
(Nota: incisos I e II incluídos pela Resolução Previc nº 25/2024)
§ 1º Alternativamente ao previsto no caput, e de forma a não haver retenção patrimonial para lastrear exigível contingencial, o patrocinador pode assumir integralmente a responsabilidade sobre os valores decorrentes de condenação em processo judicial ou administrativo após a data do cálculo.
§ 1º Alternativamente ao previsto no caput, e de forma a não haver retenção patrimonial para lastrear exigível contingencial, o patrocinador pode assumir integralmente a responsabilidade sobre condenações em processo judicial ou administrativo após a data do cálculo, relacionadas ao plano objeto da retirada.
(Nota: parágrafo 1º alterado pela Resolução Previc nº 25/2024)
§ 2º A responsabilidade assumida na forma do § 1º deve ser registrada no termo de retirada de patrocínio.
§ 3º Na hipótese prevista no §1º, os valores registrados no exigível contingencial, na data do cálculo, devem ser integralmente revertidos ao patrimônio de cobertura do plano de benefícios.
§ 4º Na hipótese de não ter havido contribuição normal no período de que trata o caput, deve ser considerada a proporção contributiva adotada pelo menos nos trinta e seis meses que antecederam a redução ou a suspensão das contribuições.
§ 5º Os valores revertidos do exigível contingencial podem ser destinados de forma diversa das previstas no caput, desde que mais favorável aos participantes e assistidos.
(Nota: parágrafos 4º e 5º revogados pela Resolução Previc nº 25/2024)
§ 6º A individualização dos valores de que trata o caput, entre participantes e assistidos, relativamente ao montante que lhes couber, deve observar a proporção das respectivas reservas matemáticas individuais finais, posicionadas na data do cálculo.
§ 6º A individualização dos valores de que trata o caput, entre participantes e assistidos, deve observar a proporção das respectivas reservas matemáticas individuais finais, posicionadas na data do cálculo.
(Nota: parágrafo 6º alterado pela Resolução Previc nº 25/2024)
§7º Caso o valor da retenção patrimonial referida no caput seja inferior ao da decisão judicial ou administrativa ocorrida após a data do cálculo, caberá ao patrocinador aportar o montante necessário para a sua execução.
§ 8º Caso os valores de que trata o caput sejam revertidos após a data de efetivação das opções dos participantes e assistidos, os valores devem ser destinados exclusivamente aos participantes e assistidos que se mantiveram inscritos no plano instituído na retirada de patrocínio.
§ 9º A individualização dos valores de que trata o § 8º, entre participantes e assistidos que se mantiveram inscritos no plano instituído na retirada de patrocínio, após as opções, deve observar a proporção dos respectivos saldos de contas individuais, posicionados na data da reversão dos valores.
(Nota: parágrafos 8º e 9º incluídos pela Resolução Previc nº 25/2024)
Art. 145. A EFPC deve obter, junto ao patrocinador regido pela Lei Complementar nº 108, de 29 de maio de 2001, manifestação expressa favorável, fornecida pelo órgão responsável pela supervisão, pela coordenação e pelo controle das atividades do patrocinador, para aplicação do disposto nos §1º e §5º do art. 144.
Art. 145. A EFPC deve obter, junto ao patrocinador regido pela Lei Complementar nº 108, de 29 de maio de 2001, manifestação expressa favorável, fornecida pelo órgão responsável pela supervisão, pela coordenação e pelo controle das atividades do patrocinador, para aplicação do disposto nos §§ 1º e 8º do art. 144.
(Nota: art.145 alterado pela Resolução Previc nº 25/2024)
Art. 146. O disposto nesta subseção aplica-se, no que couber, à retirada de instituidor, observadas as peculiaridades dos respectivos planos de benefícios.
Art. 146-A. No expediente explicativo de requerimento de retirada de patrocínio vazia, a EFPC deve apresentar a motivação técnica do requerimento, com manifestação sobre o enquadramento na hipótese prevista no inciso III da art. 4º da Resolução CNPC nº 59, de 2023.
Parágrafo único. A manifestação de que trata o caput deve esclarecer sobre o evento ou a situação que causou a inexistência de participantes, assistidos e patrimônio no plano de benefícios, vinculados à patrocinadora em retirada, no caso concreto.
(Nota: art. 146-A e parágrafo único incluídos pela Resolução Previc nº 25/2024)
Subseção VIII
Rescisão Unilateral de Convênio de Adesão
Rescisão de Convênio de Adesão por iniciativa da EFPC
(Nota: título da subseção VIII alterado pela Resolução Previc nº 25/2024)
Art. 147. A rescisão unilateral de convênio de adesão somente pode ser adotada mediante aprovação pelo órgão estatutário competente da EFPC.
Art. 147. A rescisão de convênio de adesão por iniciativa da EFPC somente pode ser adotada mediante aprovação pelo Conselho Deliberativo da EFPC.
(Nota: art. 147 alterado pela Resolução Previc nº 25/2024)
Art. 148. A EFPC deve, no prazo de dez dias úteis, contados da data da aprovação de que trata o art. 147:
I - dar ciência ao patrocinador ou instituidor retirante do plano de benefícios;
II - comunicar a decisão aos participantes e assistidos vinculados ao plano de benefícios;
III - dar ciência aos patrocinadores ou instituidores remanescentes do plano de benefícios, se houver; e
IV - iniciar os procedimentos necessários à realização da operação.
(Nota: inciso IV revogado pela Resolução Previc nº 25/2024)
Parágrafo único. Observado o prazo estabelecido no parágrafo único do art. 22 da Resolução CNPC nº 59, de 2023, a EFPC deve iniciar os procedimentos necessários à realização da operação.
(Nota: parágrafo único incluído pela Resolução Previc nº 25/2024)
Art. 148-A. No expediente explicativo de requerimento de rescisão de convênio de adesão, a EFPC deve apresentar a motivação do requerimento e manifestação sobre o enquadramento nas hipóteses previstas nos incisos I e II do art. 22 da Resolução CNPC nº 59, de 2023, e o cumprimento dos procedimentos de que trata o inciso I do art. 23 da referida Resolução, pertinentes ao caso concreto.
(Nota: art. 148-A incluído pela Resolução Previc nº 25/2024)
Art. 149. O termo de rescisão unilateral deve tratar, no mínimo:
Art. 149. O termo de rescisão de convênio de adesão por iniciativa da EFPC deve tratar, no mínimo:
(Nota: caput do art. 149 alterado pela Resolução Previc nº 25/2024)
I - dos critérios e dos procedimentos relativos à segregação patrimonial do plano de benefícios, no caso de rescisão unilateral parcial;
II - dos critérios de rateio dos fundos, da reserva especial ou do déficit técnico, apurado na avaliação atuarial de rescisão unilateral, entre o patrocinador objeto da rescisão unilateral de convênio de adesão, de um lado, e os respectivos participantes e assistidos, de outro, nos termos da legislação aplicável;
III - do critério de individualização dos fundos, da reserva de contingência e da reserva especial ou do déficit técnico, apurado na avaliação atuarial de rescisão unilateral, entre participantes e assistidos, nos termos da legislação aplicável;
IV - das demais obrigações do plano de benefícios, em face da rescisão unilateral de convênio de adesão, nos termos da legislação aplicável;
I - dos critérios e dos procedimentos relativos à segregação patrimonial do plano de benefícios, no caso rescisão de convênio de adesão por iniciativa da EFPC parcial;
II - dos critérios de rateio do fundo administrativo, da reserva especial ou do déficit técnico, apurado na avaliação atuarial de rescisão de convênio de adesão por iniciativa da EFPC, entre patrocinador retirante, de um lado, e respectivos participantes e assistidos, de outro, nos termos da legislação aplicável;
III - dos critérios de individualização dos fundos previdenciais, quando houver, apurados na avaliação atuarial de rescisão de convênio de adesão por iniciativa da EFPC, entre participantes e assistidos, no caso em que o plano de benefícios objeto de retirada de patrocínio oferecer somente benefícios estruturados em saldo de conta individual;
IV - das obrigações da EFPC, em face da rescisão de convênio de adesão, nos termos da legislação aplicável;
(Nota: incisos de I a IV alterados pela Resolução Previc nº 25/2024)
V - da responsabilidade sobre demandas judiciais ou extrajudiciais relacionadas ao plano de benefícios, ocorridas após a data do cálculo;
VI - dos prazos, contados a partir da data do cálculo, para:
VI - dos prazos para:
(Nota: inciso VI alterado pela Resolução Previc nº 25/2024)
a) a disponibilização dos termos de opção aos participantes e assistidos;
b) o período de opção; e
c) a fixação da data efetiva;
c) definição da data efetiva;
(Nota: alínea c) alterada pela Resolução Previc nº 25/2024)
VII - das opções oferecidas aos participantes e assistidos vinculados ao patrocinador ou instituidor do plano de benefícios objeto da rescisão unilateral de convênio de adesão;
VII - das opções oferecidas aos participantes e assistidos vinculados ao patrocinador ou instituidor do plano de benefícios objeto da rescisão de convênio de adesão por iniciativa da EFPC;
(Nota: inciso VII alterado pela Resolução Previc nº 25/2024)
VIII - da obrigação de adoção de medidas judiciais ou de procedimentos administrativos alternativos para quitação das obrigações do plano de benefícios com os participantes ou assistidos que não forem localizados, permanecerem inertes ou recusarem-se a receber o valor a que faz jus em razão da rescisão unilateral de convênio de adesão;
(Nota: inciso VIII revogado pela Resolução Previc nº 25/2024)
IX - do tratamento a ser conferido aos valores registrados no exigível contingencial e no passivo contingente do plano de benefícios, decorrentes de ações judiciais e de medidas administrativas, antes e depois da data do cálculo, inclusive quanto a eventual diferença entre o valor de decisão proferida após a data do cálculo e o correspondente valor registrado; e
X - das medidas judiciais ou extrajudiciais que a EFPC adotará contra o patrocinador ou instituidor, quando couber.
XI - da constituição do Fundo Previdencial de Proteção da Longevidade, quando for o caso;
XII - da constituição do fundo administrativo do Plano Instituído de Preservação da Proteção Previdenciária, quando for o caso;
XIII - do critério de individualização do déficit técnico, apurado na avaliação atuarial de rescisão de convênio de adesão por iniciativa da EFPC, entre participantes e assistidos, nos termos da legislação aplicável;
XIV - do critério de destinação e rateio, quando for o caso, dos valores do fundo para garantia das operações com participantes, quando existente;
(Nota: incisos XI a XIV incluídos pela Resolução Previc nº 25/2024)
Art. 150. O disposto nos arts. 135, 137 e 139 ao 143 aplica-se à rescisão unilateral de convênio de adesão, no que couber.
Art. 150. O disposto nos arts. 135, 137 ao 140, e 142 ao 149 aplica-se à rescisão de convênio de adesão por iniciativa da EFPC, no que couber.
(Nota: art. 150 alterado pela Resolução Previc nº 25/2024)
Art. 150-A. A EFPC deve encaminhar a documentação comprobatória da finalização das operações previstas nos incisos VII a X do art. 151 em até noventa dias contados da data efetiva.
(Nota: art. 150-A incluído pela Resolução Previc nº 25/2024)
Subseção IX
Inscrição de Participante em Plano de Benefícios
(Nota: título da subseção IX incluída pela Resolução Previc nº 25/2024)
Art. 150-B. A inscrição de participante em plano de benefícios, pela entidade fechada de previdência complementar, pode ocorrer nas modalidades convencional ou automática.
Parágrafo único. A entidade deve observar a obrigatoriedade de oferta do plano a todos os empregados dos patrocinadores, servidores públicos dos entes federativos e aos associados dos instituidores.
Art. 150-C. Nos requerimentos de implantação de plano de benefícios ou de alteração de regulamento, a proposta de regulamento deve dispor sobre a inscrição de participantes no plano de benefícios.
§ 1º No caso de previsão da inscrição automática, a proposta de regulamento deve dispor também sobre suas condições, procedimentos, prazos e forma de desistência, bem como a possibilidade de inscrição, a qualquer tempo, pela modalidade convencional, de empregados ou equiparados não participantes.
§ 2º Observado o § 1º, a aplicação da inscrição automática depende de previsão no convênio de adesão do patrocinador que optar por essa modalidade de inscrição aos seus empregados ou equiparados, o qual deve dispor, ainda, sobre as obrigações da EFPC e do patrocinador dela decorrentes.
(Nota: arts. 150-B e 150-C incluídos pela Resolução Previc nº 25/2024)
Art. 150-D. Para fins de cumprimento do disposto no art. 8º-A da Resolução CNPC nº 60, de 7 de fevereiro de 2024, com redação dada pela Resolução CNPC nº 63, de 8 de setembro de 2025, a EFPC deve manter os registros eletrônicos que comprovem a oferta dos planos de benefícios por ela administrados a todos os empregados, servidores e membros dos patrocinadores ou associados dos instituidores.
(Nota: art. 150-D pela incluído Resolução Previc nº 26, de 16.12.2025)
Seção II
Requerimentos de Licenciamento
Art. 151. São operações sujeitas ao licenciamento da Previc:
I - constituição de EFPC;
II - implantação de plano de benefícios;
III - aprovação de convênio de adesão e suas alterações;
IV - alteração de estatuto;
V - alteração de regulamento de plano de benefícios;
VI - saldamento ou alteração de regulamento que repercuta no resultado do plano de benefícios;
VII - transferência de gerenciamento de plano de benefícios;
VIII - fusão, cisão ou incorporação de planos de benefícios ou de EFPC;
IX - migração de participantes e assistidos entre planos de benefícios de EFPC;
X - operações estruturais relacionadas;
XI - retirada de patrocínio;
XII - rescisão unilateral de convênio de adesão;
XII - rescisão de convênio de adesão por iniciativa da EFPC;
(Nota: inciso XII alterado pela Resolução Previc nº 25/2024)
XIII - destinação de reserva especial que envolva reversão de valores;
XIV - encerramento de plano de benefícios ou de EFPC;
XV - certificação de modelo de regulamento de plano de benefícios ou de convênio de adesão;
XVI - habilitação de dirigente; e
XVII - reconhecimento de instituição certificadora e dos respectivos certificados.
Parágrafo único. São consideradas operações estruturais as relacionadas àquelas que envolvam, concomitantemente, mais de uma das operações referidas nos incisos VI a IX do caput.
§ 1º São consideradas operações estruturais as relacionadas àquelas que envolvam, concomitantemente, mais de uma das operações referidas nos incisos VI a IX do caput.
§ 2º A EFPC deve encaminhar a documentação comprobatória da finalização das operações previstas nos incisos VII a X do caput em até noventa dias, contados da data efetiva.
(Nota: parágrafo único revogado e incluídos parágrafos 1º e 2 pela Resolução Previc nº 25/2024)
§ 3º O licenciamento das operações deve observar as diretrizes estabelecidas nos manuais de licenciamento aprovados pela Diretoria Colegiada.
(Nota: parágrafo 3º pela incluído Resolução Previc nº 26, de 16.12.2025)
Art. 152. Nos requerimentos de licenciamento que envolverem alteração de estatuto ou alteração de regulamento de plano de benefícios, a EFPC deve:
I - disponibilizar o inteiro teor da proposta de alteração, com todos os documentos que instruirão o requerimento, aos participantes e assistidos pelos meios de comunicação usualmente utilizados, com antecedência mínima de trinta dias de sua remessa à Previc;
II - comunicar aos patrocinadores e instituidores o inteiro teor da proposta de alteração, com prazo mínimo de trinta dias para manifestação expressa de eventual discordância; e
III - propor as adequações necessárias às inovações constitucionais, legais e normativas que tenham entrado em vigor em data posterior à aprovação do texto vigente.
§1º A EFPC deve disponibilizar aos participantes, assistidos, patrocinadores ou instituidores, mediante solicitação, quaisquer documentos, elaborados pela EFPC ou por profissional ou empresa contratada, que fundamentam o requerimento previsto no caput, tais como pareceres, atas dos órgãos estatutários e demais instâncias de governança de caráter consultivo ou deliberativo, manifestação dos patrocinadores, estudos técnicos, dentre outros, ressalvados os documentos resguardados por sigilo legal.
§2º As associações de participantes e assistidos que demonstrem sua representatividade poderão ser legitimadas como interessados no processo, nos termos do art. 9º, incisos II e III, da Lei nº 9.784, de 1999, podendo solicitar sua admissão no processo a qualquer momento na fase de instrução, com direito a formular alegações e apresentar documentos antes da decisão final da Previc.
§ 2º As associações de participantes e assistidos que demonstrem sua legitimidade e representatividade poderão solicitar admissão como interessados no processo, podendo formular alegações e apresentar documentos na fase de instrução, nos termos dos incisos II e III do art. 9º da Lei nº 9.784, de 29 de janeiro de 1999.
(Nota: parágrafo 2º alterado pela Resolução Previc nº 26, de 16.12.2025)
(Nota: sobre o parágrafo 2º, vide também Portaria PREVIC/DILIC nº 84, de 28.01.2025)
§3º É garantido à EFPC pleno acesso, por meio digital, a todos os documentos e informações, inclusive pareceres e manifestações que integram o processo de licenciamento previsto no caput.
Art. 153. O Expediente Explicativo deve conter descrição detalhada do requerimento, motivação técnica da proposta e dados de contato do responsável pelo processo junto ao requerente.
§1º A EFPC deve justificar, no Expediente Explicativo, o envio de documentos adicionais àqueles estabelecidos para cada operação.
§2º O Termo de Responsabilidade, conforme modelo disponibilizado no sítio eletrônico da Previc, deve ser assinado por pelo menos um dos membros da diretoria executiva com mandato ativo e poderes de representação estabelecidos no estatuto, assegurando:
a) a autenticidade de toda a documentação enviada;
b) a legitimidade dos signatários dos documentos; e
c) a realização de todas as obrigações legais, estatutárias e regulamentares decorrentes da operação.
§3º O Termo de Responsabilidade relativo a requerimento de licenciamento de constituição de EFPC deve ser assinado pelo representante legal do patrocinador ou instituidor que protocolar o requerimento à Previc.
§4º O Termo de Responsabilidade disponibilizado pela Previc somente pode ser modificado nas condições definidas no próprio Termo ou em situação excepcional devidamente justificada no expediente explicativo.
§5º A Previc pode, considerando as circunstâncias de cada caso concreto e o contexto dos fatos, dispensar, excepcionalmente e de forma motivada, o envio de documentos e informações ou o atendimento de requisitos, ou requerer, à luz do interesse público, o envio de outros documentos e informações para a instrução dos requerimentos previstos nesta Seção.
Art. 154. Os requerimentos devem ser protocolados por meio de sistema informatizado disponibilizado pela Previc em seu sítio eletrônico na internet.
Art. 155. Os requerimentos de licenciamento instruídos pela EFPC de forma incompleta podem ser arquivados mediante comunicação.
Art. 156. Na instrução dos requerimentos de licenciamento, a EFPC deve primar pela economicidade processual, observando os documentos e as informações necessárias à verificação do atendimento às condições estabelecidas e evitando a sua duplicidade.
Art. 157. A EFPC deve comunicar o início do seu funcionamento ou do plano de benefícios administrado, sob pena de cancelamento do licenciamento, em até cento e oitenta dias, contados da data da autorização da constituição da EFPC ou da implantação do plano de benefícios.
Art. 157. A EFPC deve comunicar à Previc, em até cento e oitenta dias, contados da respectiva data da autorização, sob pena de cancelamento do licenciamento, o início:
(Nota: caput do art. 157 alterado pela Resolução Previc nº 25/2024)
I - de funcionamento da entidade;
II - da implantação do plano de benefícios administrado; e
III - da operacionalização do convênio de adesão, no caso de planos multipatrocinados.
(Nota: incisos I, II e III incluídos pela Resolução Previc nº 25/2024)
(Nota: sobre o art. 157, vide Ofício Circular Previc nº 003, de 14.02.2025)
Parágrafo único. O prazo de que trata o caput pode ser prorrogado, por igual período, mediante anuência da Previc.
Parágrafo único. Mediante requerimento fundamentado, o prazo de que trata o caput pode ser prorrogado, por igual período, pela Previc.
(Nota: parágrafo único alterado pela Resolução Previc nº 25/2024)
Art. 158. A EFPC deve encaminhar a documentação comprobatória da finalização das operações previstas nos incisos VII a XII do art. 151 em até noventa dias contados da data efetiva.
(Nota: art. 158 revogado pela Resolução Previc nº 26, de 16.12.2025)
Art. 159. A EFPC deve realizar as alterações cadastrais por ocasião do requerimento de licenciamento no sistema informatizado da Previc, quando disponível para o tipo de operação.
Parágrafo único. A Previc deve realizar a atualização cadastral decorrente do deferimento de requerimentos de licenciamento e da finalização das operações, no caso de as informações pertinentes não poderem ser enviadas por meio do sistema de que trata o caput.
Art. 160. A EFPC deve comunicar, tão logo tenha conhecimento, a existência de decisão judicial ou administrativa que impeça o andamento da análise do requerimento ou da conclusão da operação, após a autorização.
Art. 161. As alterações em regulamento de plano de benefícios, apresentadas nos requerimentos de licenciamento referidos nos incisos VIII a X e XIII do art. 151, podem tratar de outras matérias formais, desde que não repercutam no custo, no custeio ou no resultado do plano de benefícios.
Art. 161-A. A autorização de novas entidades fechadas de previdência complementar e de novos planos de benefícios está sujeita à avaliação pela Previc de viabilidade financeira, previdenciária e administrativa, baseada nas informações e estudos disponibilizados pelo requerente e nos critérios e parâmetros a serem definidos em Portaria da Diretoria de Licenciamento.
(Nota: art. 161-A incluído pela Resolução Previc nº 25/2024)
(Nota: sobre o art. 161-A, vide Portaria Previc/Dilic nº 257, de 18.03.2025)
Subseção I
Fases do Requerimento
Art. 162. Os requerimentos de licenciamento contemplam a fase de instrução e a fase de decisão, excetuado para a operação disposta no inciso XVII do art. 151.
Parágrafo único. Os requerimentos deverão ser instruídos com os documentos e formatos indicados no sítio eletrônico da Previc.
Fase de instrução
Art. 163. A fase de instrução se inicia na data do protocolo e contempla a análise das informações, dos documentos e do atendimento às condições legais e técnicas estabelecidas para o tipo de requerimento, observados os prazos estabelecidos no Anexo III.
Parágrafo único. Nos termos do art. 33, caput, da Lei Complementar nº 109, de 29 de maio de 2001, aos requerimentos listados no Anexo III desta Resolução não se aplica a aprovação tácita por decurso do prazo de que trata o art. 10, § 1º, do Decreto nº 10.178, de 18 de dezembro, de 2019.
(Nota: parágrafo único incluído pela Resolução Previc nº 26, de 16.12.2025)
Art. 164. Em se tratando de requerimento de alteração de estatuto ou regulamento, a análise da Previc deve se ater primordialmente às alterações solicitadas pela entidade.
Art. 164. Em se tratando de requerimento de alteração de estatuto ou regulamento, a análise da Previc deve se ater às alterações solicitadas pela entidade.
(Nota: caput do art. 164 alterado pela Resolução Previc nº 25/2024)
§ 1º O ato de aprovação de trechos do estatuto ou regulamento pode ser revisto de ofício pela Previc dentro do prazo de cinco anos, observado o disposto no art. 54, caput, da Lei nº 9.784, de 29 de janeiro de 1999, e no art. 24 do Decreto-Lei nº 4.657, de 4 de setembro de 1942.
§ 2º Caso identificada disposição do regulamento ou estatuto aprovada anteriormente ao prazo mencionado no § 1º, que possa aumentar de forma significativa a exposição do plano ou da entidade a risco, devidamente justificado, deverá ser comunicada a EFPC e a Diretoria de Fiscalização da Previc para monitoramento dos riscos correspondentes.
Art. 165. A Previc pode, na fase de instrução, estabelecer exigências para correção de documento ou de procedimento ou para solicitar esclarecimentos, além de:
I - determinar o envio de outros documentos e informações que julgar necessários para a análise da operação; e
II - dispensar o envio de documento de conhecimento público ou de informação presente em outros processos de licenciamento ou nas bases de dados da Previc.
§1º Considera-se notificado o requerente, a respeito das exigências relativas aos requerimentos de licenciamento instruídos, na data do envio de mensagem para e-mail institucional da EFPC cadastrado no sistema informatizado da Previc ou do patrocinador ou instituidor que requereu constituição de EFPC.
§2º O e-mail institucional da EFPC referido no §1º deve estar permanentemente atualizado e ser acessível às áreas da EFPC responsáveis pelo relacionamento com a Previc, sem vinculação a qualquer pessoa física específica.
§3º O requerente deve cumprir as exigências formuladas no prazo de:
I - dez dias úteis, nos requerimentos protocolados como licenciamento automático;
II - trinta dias úteis, nos requerimentos de habilitação de dirigentes; ou
III - sessenta dias úteis, para os demais requerimentos previstos no art. 151.
§4º O prazo para cumprimento das exigências deve ser contado a partir da data referida no §1º e pode ser prorrogado automaticamente uma única vez, por igual período, mediante comunicação à Previc, até o dia do seu vencimento.
§5º As prorrogações subsequentes à referida no §4º dependem de prévia e expressa anuência da Previc.
Art. 166. O expediente explicativo de resposta às exigências formuladas pela Previc deve mencionar o número de protocolo do requerimento de licenciamento e conter manifestação em relação a cada exigência, informando quais foram cumpridas e quais foram objeto de ponderação fundamentada.
Parágrafo único. As alterações adicionais realizadas nos documentos, além daquelas exigidas pela Previc, devem ser expressamente justificadas no expediente explicativo, com a indicação do documento alterado e do teor da alteração realizada.
Art. 167. A EFPC pode, durante a fase de instrução, solicitar o cancelamento do requerimento de licenciamento, desde que autorizada pelo órgão estatutário competente.
Art. 168. O prazo para a conclusão da análise do requerimento de licenciamento, na fase de instrução, pode ser interrompido quando da apresentação de exigência ou na ocorrência de:
I - fato novo, durante o andamento da análise;
II - existência de decisão judicial ou administrativa, surtindo efeitos, que possa comprometer a higidez ou eficácia da análise, mesmo que a Previc não seja parte no litígio;
III - caso fortuito ou de força maior; ou
IV - solicitação do requerente, devidamente fundamentada.
Art. 169. A suspensão da análise do requerimento de licenciamento pela Previc, na fase de instrução, pode ocorrer quando:
I - verificadas circunstâncias que impeçam a continuação da análise do processo;
II - apurada a necessidade de consulta a outra área da Previc; ou
III - por decisão fundamentada da Diretoria Colegiada da Previc.
Art. 170. O prazo para a conclusão da análise do requerimento de licenciamento, na fase de instrução, pode ser prorrogado automaticamente uma única vez, por igual período, mediante prévia comunicação à EFPC.
Parágrafo único. As prorrogações subsequentes à referida no caput dependem de prévia e expressa anuência do Diretor de Licenciamento.
Fase de Decisão
Art. 171. A fase de decisão se inicia no dia útil seguinte à data da conclusão da fase de instrução e contempla os procedimentos para manifestação da decisão final da Previc sobre o requerimento.
§ 1º A Previc deve informar ao requerente o início da fase de decisão.
§ 2º As operações de que tratam os incisos VI a XIV do art. 151 poderão ser submetidas à anuência prévia da Diretoria Colegiada da Previc em situações de maior impacto, risco e relevância.
§ 2º As operações de que tratam os incisos VI a XIV do art. 151 serão submetidas à ciência prévia da Diretoria Colegiada da Previc em situações de maior impacto, risco ou relevância.
(Nota: parágrafo 2º alterado pela Resolução Previc nº 25/2024)
Art. 172. Na manifestação da decisão de que trata o art. 171, o requerimento de licenciamento pode ser:
I - aprovado ou autorizado, quando atendidos todos os requisitos definidos para o tipo de requerimento;
II - cancelado, por solicitação do requerente;
III - indeferido, quando não atendidos os requisitos definidos para o tipo de requerimento; ou
IV - arquivado, sem análise de mérito, quando a instrução do requerimento for inadequada ou incompatível com o tipo de operação requerido ou quando o requerente não cumprir às exigências apresentadas pela Previc no prazo do §3º do art. 165.
Art. 173. Os licenciamentos aprovados ou autorizados pela Previc devem ser publicados:
I - em seu sítio eletrônico, nos casos de habilitação de dirigentes e de requerimentos sujeitos ao licenciamento automático; e
II - no Diário Oficial da União, nos demais casos, salvo o reconhecimento de instituição certificadora, a qual será comunicada diretamente.
Subseção II
Operações Estruturais Relacionadas
Art. 174. O requerimento de licenciamento de operações estruturais relacionadas deve ser instruído com os documentos de cada operação envolvida no requerimento.
§1º Devem ser enviados os Termos de Responsabilidade relativos a cada operação envolvida no requerimento.
§2º Deve ser enviado somente um Termo de Operação Estrutural Relacionada e um Relatório da Operação, contemplando a combinação dos itens mínimos previstos para cada operação envolvida no requerimento.
§3º No caso de patrocinadores sujeitos ao disposto no art. 4º da Lei Complementar nº 108, de 2001, deve ser apresentada a manifestação favorável do órgão responsável pela supervisão, pela coordenação e pelo controle do patrocinador.
§4º Os documentos que subsidiarem o relatório da operação devem permanecer na EFPC, à disposição da Previc, pelo prazo de sessenta meses, contados da data efetiva.
Art. 175. A comprovação da finalização da operação deve ser instruída com expediente explicativo e Termo de Responsabilidade de Finalização das operações envolvidas no requerimento.
Subseção III
Outras Disposições
Art. 176. Nas operações de Cisão, Migração, Fusão ou Incorporação os regulamentos dos planos envolvidos nas referidas operações não devem dispor sobre os critérios estabelecidos respectivamente nos Termos de Cisão, Termo de Migração, Termo de Fusão e Termo de Incorporação.
Art. 176. Nas operações de Transferência de Gerenciamento, Cisão, Migração, Fusão ou Incorporação, os regulamentos dos planos envolvidos nas referidas operações não devem dispor sobre os critérios estabelecidos respectivamente nos Termos de Transferência de Gerenciamento, Termo de Cisão, Termo de Migração, Termo de Fusão e Termo de Incorporação.
(Nota: caput do art. 176 alterado pela Resolução Previc nº 26, de 16.12.2025)
§ 1º O relatório da operação deve demonstrar a aplicação dos critérios estabelecidos nos Termos correspondentes.
§ 2º Os documentos que subsidiarem a elaboração dos relatórios da operação devem permanecer na EFPC, à disposição da Previc, pelo prazo de sessenta meses contados da data efetiva.
Art. 176-A. Para os fins desta Subseção, consideram-se as seguintes definições:
I - data-base: o dia trinta e um de dezembro do exercício imediatamente anterior ao da data do protocolo do requerimento de licenciamento na Previc ou a data de referência da última demonstração atuarial dos planos envolvidos na operação, o que for mais recente, em que devem ser posicionados os cálculos referenciais que servirão para a instrução do requerimento;
II - data de autorização: aquela em que for publicado o ato de aprovação da Previc no Diário Oficial da União - DOU, referente à operação pretendida;
III - data do cálculo: aquela correspondente ao último dia do mês em que ocorrer a data de autorização, momento em que os cálculos devem ser posicionados para a finalização da operação;
IV - data-efetiva: aquela posterior à data de autorização, acordada formalmente entre as partes, até a qual deve ocorrer a finalização da operação;
V - termo da operação: instrumento contratual firmado entre as partes envolvidas na operação pretendida, no qual são pactuadas as condições, os critérios e as metodologias aplicáveis ao requerimento; e
VI - relatório da operação: documento, posicionado na data-base, que apresenta as informações e os valores relacionados com a operação pretendida, resultantes da aplicação das condições, dos critérios e das metodologias definidas no termo da operação, observado o formato "xlsx", conforme modelo disponível no sítio eletrônico da Previc na internet.
(Nota: art. 176-A incluído pela Resolução Previc nº 26, de 16.12.2025)
Art. 177. O requerimento de encerramento de plano de benefícios ou de EFPC deve ser protocolado pela EFPC, instruído com o expediente explicativo e Termo de Responsabilidade de Encerramento de Plano de Benefícios ou Termo de Responsabilidade de Encerramento de EFPC, conforme o caso.
Parágrafo único. A EFPC poderá nomear um procurador, devidamente qualificado, para representá-la no processo de encerramento de suas atividades, após a data efetiva da operação, em circunstância excepcional previamente aprovada pela Previc.
(Nota: parágrafo único incluído pela Resolução Previc nº 26, de 16.12.2025)
CAPÍTULO V
DAS REGRAS CONTÁBEIS
(Nota: sobre as regras contábeis, vide também Perguntas e Respostas Aspectos Contábeis e de Auditoria da Previc e Manual de Orientações Técnicas para Envio dos Balancetes Contábeis Previc)
Seção I
Procedimentos Contábeis
Art. 178. As entidades fechadas de previdência complementar (EFPC) devem adotar os procedimentos contábeis, a planificação contábil padrão, a função e o funcionamento das contas, os modelos, instruções de preenchimento, a forma, o meio e a periodicidade de envio das demonstrações contábeis estabelecidos nesta Resolução, bem como observar o contido nos anexos disponíveis no sítio eletrônico da Previc.
Anexo 1 - Planificação Contábil Padrão
Anexo 2 - Função e Funcionamento das Contas
Anexo 3 - Modelos e Instruções de Preenchimento das Demonstrações Contábeis
Anexo 1 - I - Planificação contábil padrão
Anexo 2 - II - Função e funcionamento das contas
Anexo 3 - III - Modelos das Demonstrações Contábeis
Anexo 4 - IV Informações Extracontábeis
(Nota: anexos I, II e III alterados pela Portaria Previc nº 258, de 18.03.2025)
Anexo II – Função e Funcionamento das Contas
Anexo III – Modelos e Instruções de Preenchimento das Demonstrações Contábeis
Quadro comparativo I – Plano de Contas
Quadro comparativo II – Função e Funcionamento das Contas
(Nota: anexos alterados pela Portaria Previc nº 1.071, de 18.11.2025)
Parágrafo único. Fica a Diretoria de Normas da Previc autorizada a alterar por Portaria os anexos referidos no caput.
Art. 179. Nos procedimentos contábeis as EFPC devem considerar as seguintes definições:
I - Plano de Gestão Administrativa - PGA: constituído com a finalidade de registrar contabilmente as atividades referentes à gestão administrativa das EFPC, na forma do seu regulamento;
II - Balancete do Plano de Benefícios: demonstrativo contábil para registro do patrimônio e dos resultados dos planos de benefícios de caráter previdencial e assistencial administrados pela EFPC;
III - Balancete do PGA: demonstrativo contábil para registro do patrimônio e dos resultados do PGA;
IV - Balancete Consolidado: demonstrativo contábil de consolidação do patrimônio e dos resultados dos planos de benefícios de caráter previdencial e assistencial e do PGA;
V - Gestão Previdencial: atividade de registro e controle das contribuições, dos benefícios e dos institutos previstos no art. 14 da Lei Complementar nº 109, de 29 de maio de 2001, bem como da mutação patrimonial dos planos de benefícios de caráter previdencial e dos planos assistenciais que não possuem registro na Agência Nacional de Saúde Suplementar;
VI - Gestão Administrativa: atividade de registro e de controle inerentes à administração dos planos de benefícios de caráter previdencial e assistencial;
VII - Gestão Assistencial: atividade de registro e de controle das contribuições, dos benefícios e da mutação patrimonial do plano de benefícios de caráter assistencial, com registro na Agência Nacional de Saúde Suplementar;
VIII - Investimentos: atividade de registro e de controle das aplicações dos recursos garantidores dos planos de benefícios de caráter previdencial e assistencial e do PGA;
IX - Derivativos: contratos representativos de instrumentos financeiros cujo valor varia em decorrência de mudanças em um ativo subjacente, que pode ser físico ou financeiro, negociado no mercado à vista ou futuro, cujo investimento inicial seja inexistente ou pequeno em relação ao valor do contrato, e que sejam liquidados em data futura;
X - Operações compromissadas: compras de títulos, com compromisso de revenda, bem como vendas de títulos, com compromisso de recompra;
XI - Ativos Financeiros: aqueles definidos nos termos da regulamentação do Banco Central do Brasil e da Comissão de Valores Mobiliários;
XII - Patrimônio Social: recursos acumulados para fazer frente às obrigações dos planos de benefícios de caráter previdencial e assistencial e do PGA;
XIII - Adições: contribuições, remunerações de contribuições em atraso e de contribuições contratadas do plano de benefícios previdencial, recursos oriundos de transferências de gerenciamento, migrações e portabilidade entre planos de benefícios de caráter previdencial e outras adições;
XIV - Deduções: benefícios previdenciários, recursos destinados a resgate, a portabilidade, a migrações e a transferências de gerenciamento, entre planos de benefícios de caráter previdencial e outras deduções;
XV - Receitas Administrativas: contribuições para custeio administrativo oriundas dos planos de benefícios, remunerações de contribuições em atrasos e contratadas do PGA, bem como dotações iniciais, doações, resultado dos investimentos, receitas próprias diretas destinadas ao custeio administrativo, taxa de administração de empréstimos, custeio administrativo oriundos dos investimentos, reembolso e outras registradas no PGA;
XVI - Despesas Administrativas: salários e encargos com pessoal, treinamento, viagens e estadias, serviços de terceiros, despesas gerais, depreciações, amortizações, tributos, fomento e inovação e outras registradas no PGA;
XVII - Rendas/Variações Positivas: resultados positivos dos investimentos dos planos de benefícios de caráter previdencial e assistencial e do PGA;
XVIII - Deduções/Variações Negativas: resultados negativos dos investimentos dos planos de benefícios de caráter previdencial e assistencial e do PGA, bem como das despesas diretas de investimentos;
XIX - Despesas Diretas de Investimentos: gastos necessários à efetivação, à manutenção e à recuperação dos resultados dos investimentos dos planos de benefícios de caráter previdencial e do PGA;
XX - Patrimônio de Cobertura do Plano: recursos líquidos dos planos de benefícios de caráter previdencial, representados pelo resultado da seguinte sentença: Ativo Total - (Passivo Exigível Operacional + Passivo Exigível Contingencial + Fundo Previdencial + Fundo Administrativo + Fundo para Garantia das Operações com Participantes);
XXI - Adiantamento de contribuições do patrocinador: recebimento de recursos do patrocinador para o custeio administrativo, no início de funcionamento da EFPC ou de plano de benefícios de caráter previdencial;
XXII - Partes relacionadas: pessoas físicas ou jurídicas que mantêm relação com a EFPC, por meio de seus planos de benefícios de caráter previdencial ou assistencial ou qualquer outro tipo de relacionamento com a EFPC; e
XXIII - Evento subsequente: qualquer evento entre à data de encerramento do exercício e de sua publicação que tenham ou possam vir a ter efeitos relevantes sobre a situação financeira ou econômica dos planos.
Seção II
Registros Contábeis das EFPC
Art. 180. Os registros contábeis das EFPC devem ser realizados de forma que o patrimônio, as respectivas mutações e os resultados possam ser evidenciados de maneira individualizada, em relação aos planos de benefícios de caráter previdencial e assistencial e do plano de gestão administrativa.
Art. 181. Os planos assistenciais à saúde, regulados pela Agência Nacional de Saúde Suplementar, devem efetuar e manter seus registros contábeis em separado, de forma a possibilitar a independência do patrimônio e dos resultados e a adequação à legislação aplicável ao setor de saúde suplementar, mediante a utilização do desdobramento analítico das contas relativas à gestão assistencial, de acordo com o plano contábil e as práticas contábeis estabelecidas pela Agência Nacional de Saúde Suplementar.
Subseção I
Plano de Gestão Administrativa
Art. 182. As EFPC devem registrar, ao final de cada mês, no balancete de cada plano de benefícios de caráter previdencial, nas contas "Participação no Plano de Gestão Administrativa", no Ativo, e "Participação no Fundo Administrativo do Plano de Gestão Administrativa", no Passivo, a parcela equivalente à participação do plano de benefícios no fundo administrativo registrado no Plano de Gestão Administrativa.
§1º Excetua-se da regra do caput a parcela relativa ao fundo administrativo constituído para cobertura de gastos com prospecção, elaboração, implantação e fomento de planos de benefícios de caráter previdencial, que deve ser registrada na conta contábil denominada "Fundo Administrativo Compartilhado", no Plano de Gestão Administrativa.
§2º É facultada a utilização de agentes de comercialização e plataformas de distribuição no oferecimento de planos de benefícios de entidades fechadas, podendo as despesas correspondentes serem registradas na forma prevista no §1º.
Art. 182-A. As EFPC devem disponibilizar em seu sítio eletrônico na internet:
I - o regulamento do Plano de Gestão Administrativa;
II - o orçamento anual e, quando exigido, o orçamento plurianual; e
III - as informações detalhadas sobre as receitas e despesas da gestão administrativa realizadas nos últimos três exercícios.
§ 1º A disponibilização em seu sítio eletrônico na internet a que se refere o caput deve ser em local de fácil acesso e em área pública de acesso irrestrito.
§ 2º Em relação ao inciso II do caput, a EFPC deve divulgar, nos termos do § 1º, no mínimo:
I - receitas administrativas:
a) taxa de administração;
b) taxa de carregamento;
c) aporte ou reembolso de despesas da gestão administrativa pelos patrocinadores e instituidores;
d) encargos pelo repasse em atraso de valores referentes à gestão administrativa;
e) doações;
f) dotações iniciais;
g) receitas diretas da gestão administrativa;
h) outras receitas da gestão administrativa previstas na planificação contábil padrão aplicada às entidades;
i) resultado do investimento dos recursos vinculados ao plano de gestão administrativa; e
j) utilização do saldo acumulado pelos fundos administrativos.
II - despesas administrativas:
a) pessoal e encargos;
b) treinamentos, congressos e seminários;
c) viagens e estadias;
d) serviços de terceiros:
1. tecnologia da informação; e
2. comunicação;
e) despesas gerais;
f) tributos;
g) despesas com fomento;
h) despesas com inovação; e
i) fundo administrativo compartilhado.
(Nota: art. 182-A incluído pela Resolução Previc nº 26, de 16.12.2025)
Subseção II
Fundo Administrativo a Descoberto
Art. 183. A EFPC pode receber adiantamento de contribuições de patrocinador para suportar gastos de operação no início de seu funcionamento ou do funcionamento de plano de benefícios de caráter previdencial administrado.
Art. 184. A EFPC deve elaborar estudo de viabilidade econômica para demonstrar a forma de financiamento do plano de benefícios de caráter previdencial, quando apresentar fundo administrativo a descoberto.
Subseção III
Dívidas de Patrocinador
Art. 185. As EFPC devem registrar contabilmente os instrumentos de dívidas de patrocinador relativos aos financiamentos de serviço passado e de déficit técnico equacionado no grupo "Operações Contratadas" do "Realizável Previdencial", no Ativo.
Subseção IV
Provisão Contingencial
Art. 186. As provisões em caráter contingencial devem ser contabilizadas no exigível contingencial tendo como contrapartida a conta "Constituição/Reversão de Contingência".
Subseção V
Fundo Previdencial
Art. 187. A forma de constituição e utilização de recursos de fundo previdencial, para cobrir total ou parcialmente as contribuições em conformidade com o plano de custeio anual, deve ser registrada e evidenciada em nota explicativa.
Parágrafo único. As desonerações de contribuições dos patrocinadores, instituidores, participantes ou autopatrocinados, utilizando recursos do "Fundo Previdencial" devem ser contabilizadas em conta de adições e deduções.
Subseção VI
Ajustes de Consolidação
Art. 188. Os ajustes e eliminações necessários à consolidação das Demonstrações Contábeis e balancetes devem ser registrados em documentos auxiliares.
Parágrafo único. As contas passíveis de ajustes e eliminações, entre outras, são: "Migrações entre Planos", "Compensações de Fluxos Previdenciais", "Participação no Plano de Gestão Administrativa", "Participação no Fundo Administrativo Plano de Gestão Administrativa" e valores a pagar e a receber entre planos.
Seção III
Registros Contábeis de Investimentos
Subseção I
Avaliação de Títulos e Valores Mobiliários
Art. 189. Os títulos e valores mobiliários classificados nas categorias de títulos para negociação devem ser ajustados pelo valor justo, considerando-se a valorização ou a desvalorização em contrapartida à adequada conta de resultado do período.
Art. 190. Para fins de ajuste, a metodologia de apuração do valor justo é de responsabilidade da EFPC e deve ser estabelecida com base em critérios consistentes e passíveis de verificação, que levem em consideração a independência na coleta de dados em relação às taxas praticadas em mercado, podendo ser utilizado como parâmetro:
I - o preço médio de negociação no dia do apuramento ou, quando não disponível, o preço médio de negociação no dia útil anterior;
II - o valor líquido provável de realização, obtido mediante adoção de técnica ou modelo de apreçamento (formação de preços);
III - o preço de instrumento financeiro semelhante, levando em consideração, no mínimo, os prazos de pagamento e vencimento, o risco de crédito e a moeda ou indexador; e
IV - outra técnica de avaliação que utilize preços e outras informações relevantes geradas por transações de mercado envolvendo ativos, passivos ou grupo de ativos e passivos idênticos ou comparáveis.
Parágrafo único. A técnica ou modelo de apreçamento referido no inciso II do caput deve constar de laudo de avaliação econômica:
I - elaborado pela própria EFPC ou por pessoa física ou jurídica especializada devidamente registrada na Comissão de Valores Mobiliários; e
II - que contenha, no mínimo, as premissas utilizadas no cálculo, a metodologia e a forma de precificação adotada.
Subseção II
Operações Compromissadas
Art. 191. No registro contábil das operações compromissadas as EFPC devem:
I - contabilizar pelo valor efetivamente desembolsado ou recebido;
II - reconhecer os custos de transação, como corretagens e outras taxas incidentes, a débito de "Deduções/Variações Negativas"; e
III - apropriar mensalmente os rendimentos ou encargos dessas operações, a crédito ou a débito de "Rendas/Variações Positivas" ou "Deduções/Variações Negativas", respectivamente, em razão do prazo decorrido, admitindo-se a apropriação em períodos inferiores a um mês.
Parágrafo único. As Rendas/Variações Positivas e as Deduções/Variações Negativas devem ser reconhecidas conforme o princípio da competência, em razão da fluência do prazo da operação.
Subseção III
Operações com Ativos de Renda Fixa
Art. 192. No registro contábil das operações com ativos de renda fixa as EFPC devem:
I - contabilizar a aquisição de ativos pelo valor efetivamente desembolsado, sendo o ágio ou o deságio evidenciado em controles auxiliares;
II - reconhecer os custos de transação, como corretagens e outras taxas incidentes sobre os títulos de renda fixa avaliados a valor justo, a débito de "Deduções/Variações Negativas"; e
III - apropriar mensalmente os rendimentos ou encargos dessas operações, a crédito ou a débito de "Rendas/Variações Positivas" ou "Deduções/Variações Negativas", respectivamente, em razão do prazo decorrido, admitindo-se a apropriação em períodos inferiores a um mês.
Parágrafo único. A EFPC deve reconhecer, no resultado do período, em contrapartida à "Rendas/Variações Positivas" ou "Deduções/Variações Negativas", respectivamente:
I - a valorização ou a desvalorização dos ativos de renda fixa mensurados a valor justo; e
II - o ganho ou a perda dos ativos de renda fixa classificados como mantidos até o vencimento.
Subseção IV
Operações com Ativos de Renda Variável
Art. 193. No registro contábil das operações com ativos de renda variável as EFPC devem:
I - contabilizar as ações pelo custo de aquisição;
II - reconhecer os custos de transação, como corretagens e outras taxas incidentes, a débito de "Deduções/Variações Negativas";
III - registrar a diferença apurada entre o valor contábil e o respectivo valor de mercado, em conta analítica do respectivo ativo, tendo como contrapartida "Rendas/Variações Positivas" ou "Deduções/Variações Negativas", admitindo-se a compensação; e
IV - registrar as vendas de ações no mercado a vista, pelo valor líquido, deduzindo-se o valor das taxas e corretagens.
Subseção V
Operações com Cotas de Fundos de Investimento
Art. 194. No registro contábil das operações com cotas de fundos de investimento as EFPC devem:
I - contabilizar a aquisição de cotas de fundos de investimentos pelo valor efetivamente desembolsado, incluindo, quando for o caso, taxas e emolumentos; e
II - registrar a diferença apurada entre o valor contábil e o valor da cota, apurado nas demonstrações contábeis do fundo de investimento, em conta analítica do respectivo ativo, tendo como contrapartida "Rendas/Variações Positivas" ou "Deduções/Variações Negativas", admitindo-se a compensação.
Parágrafo único. As EFPC devem realizar teste de redução ao valor recuperável dos ativos de fundos de investimentos, reconhecendo o valor da perda apurada, em contrapartida de "Deduções/Variações Negativas", quando:
I - os ativos do fundo de investimentos apresentem evidências de perda; e
II - o administrador do fundo de investimentos não tenha realizado teste de redução ao valor recuperável dos respectivos ativos.
Subseção VI
Derivativos
Art. 195. No registro contábil das operações com derivativos as EFPC devem:
I - contabilizar os ativos adquiridos ou alienados em operações a termo, na data da operação, por seus valores de cotação no mercado à vista, sendo as parcelas a receber ou a pagar ajustadas a valor presente, tomando-se por base a taxa de cada contrato;
II - contabilizar os prêmios pagos ou recebidos em operações com opções na data da operação, na respectiva conta de ativo ou passivo;
III - registrar as variações do valor justo do derivativo em "Rendas/Variações Positivas", ou "Deduções/Variações Negativas;
IV - contabilizar os demais derivativos, na data da operação, em contas de ativo ou passivo, de acordo com as características do contrato;
V - contabilizar os desembolsos referentes às taxas e corretagens a débito de "Deduções/Variações Negativas";
VI - observar na avaliação dos instrumentos financeiros de derivativos a legislação estabelecida pela Comissão de Valores Mobiliários; e
VII - registrar a diferença apurada entre o valor contábil e o respectivo valor de mercado, em conta analítica do respectivo derivativo, tendo como contrapartida "Rendas/Variações Positivas" ou "Deduções/Variações Negativas", vedada a compensação de receitas com despesas em contratos distintos.
§ 1º O registro dos títulos, valores mobiliários e outros ativos dados em garantia de operações com derivativos deve ser realizado em contas analíticas dos próprios ativos que destaquem a vinculação, mantendo-se os critérios originais de avaliação.
§ 2º Os sistemas de controles internos devem conter informações que permitam:
I - identificar, individualmente, as partes pactuantes, as características e os valores dos contratos negociados; e
II - divulgar, em notas explicativas, o tipo de transação realizada e o valor de referência.
Subseção VII
Operações com Participantes
Art. 196. No registro contábil das operações com participantes e assistidos as EFPC devem:
I - registrar as operações com participantes e assistidos pelo valor do principal, incluindo encargos financeiros, conforme estabelecido no contrato, até a sua liquidação ou a data do efetivo ajuizamento da cobrança;
II - registrar as taxas de administração de empréstimos e/ou financiamentos imobiliários, como "Rendas/Variações Positivas" de investimentos, nas operações com participantes e assistidos;
III - contabilizar o devido aprovisionamento, em conta analítica no grupo de contas "Operações com Participantes", das parcelas referentes a empréstimos e financiamentos imobiliários, descontadas mensalmente dos participantes e assistidos pelos patrocinadores e não repassadas às EFPC nos prazos estabelecidos;
IV - registrar os juros, multas e outros encargos devidos pelos patrocinadores, pelo atraso no repasse, seguindo o mesmo critério de contabilização do valor principal, com o devido aprovisionamento; e
V - registrar os fundos de cobertura de operações com participantes e assistidos, quando houver.
Parágrafo único. Os sistemas de controles internos devem conter informações que permitam identificar, individualmente, os tomadores dos empréstimos e financiamentos imobiliários, as características dos contratos negociados e respectivas garantias, inclusive os valores das provisões matemáticas dados em garantia, e os saldos atualizados.
Subseção VIII
Investimentos em Imóveis
Art. 197. No registro contábil das operações com investimentos em imóveis as EFPC devem:
I - registrar os imóveis pelo custo de aquisição, incluindo honorários, taxas, emolumentos, tributos e demais encargos incidentes sobre a operação;
II - mensurar os imóveis após o reconhecimento inicial pelo seu valor justo;
III - contabilizar o resultado da mensuração dos imóveis pelo valor justo, positivo ou negativo, de uma única vez, em conta do respectivo ativo, em contrapartida da conta de "Rendas/Variações Positivas" ou "Deduções/Variações Negativas", com base em laudo técnico de avaliação, emitido anualmente;
IV - contabilizar nas alienações a prazo os encargos respectivos, nas contas de "Rendas/Variações Positivas";
V - registrar os imóveis em construção:
a) conforme o inciso I, acrescidos dos custos da obra; e
b) de acordo com sua destinação, após a conclusão da obra e a expedição do respectivo "Habite-se";
VI - registrar os aluguéis dos imóveis de uso próprio, mediante o reconhecimento de aluguel, pelo valor de mercado, como "Rendas/Variações Positivas", nos planos de benefícios e, em contrapartida, como despesas no Plano de Gestão Administrativa;
VII - apresentar, no mínimo, três laudos técnicos de avaliação prévios à alienação de imóvel, elaborado de acordo com as normas expedidas pela Associação Brasileira de Normas Técnicas, contendo, no mínimo:
VII - apresentar, no mínimo, três laudos técnicos de avaliação prévios à alienação de imóvel, elaborados de acordo com as normas expedidas pela Associação Brasileira de Normas Técnicas, contendo, no mínimo:
(Nota: inciso VII alterado pela Resolução Previc nº 26, de 16.12.2025)
a) a identificação do imóvel;
b) informações detalhadas sobre tamanho, localização e tipo (comercial ou residencial);
c) a data-base da avaliação;
d) a identificação da pessoa jurídica ou do profissional legalmente habilitado responsável pela avaliação; e
e) a segregação entre o valor do terreno e das edificações;
VIII - contabilizar o valor dos bens duráveis agregados aos imóveis, em conta analítica, sempre que possível, observando os mesmos critérios definidos para os investimentos imobiliários; e
IX - contabilizar o valor das benfeitorias realizadas ao valor de custo do imóvel em que forem realizadas.
§ 1º Uma das três avaliações referidas no inciso VII do caput pode ser dispensada caso a última avaliação do imóvel a ser alienado tenha sido realizada em prazo inferior a cento e oitenta dias, desde que tal procedimento seja devidamente atestado pelo administrador estatutário tecnicamente qualificado, em função das condições de mercado.
§ 1º Uma das três avaliações referidas no inciso VII do caput pode ser dispensada caso a última avaliação do imóvel a ser alienado tenha sido realizada em prazo inferior a trezentos e sessenta dias, desde que tal procedimento seja devidamente atestado pelo administrador estatutário tecnicamente qualificado, em função das condições de mercado.
(Nota: parágrafo 1º alterado pela Resolução Previc nº 25/2024)
§ 1º Para fins do cumprimento do disposto no inciso VII do caput, a EFPC pode utilizar avaliações do imóvel realizadas nos trezentos e sessenta dias anteriores à data da alienação, desde que atestadas pelo administrador estatutário tecnicamente qualificado e considerando as condições de mercado.
(Nota: parágrafo 1º alterado pela Resolução Previc nº 26, de 16.12.2025)
§ 2º A reavaliação dos imóveis que estejam totalmente provisionados é facultativa, enquanto não for revertida a provisão, com a devida anuência do administrador estatutário tecnicamente qualificado.
Subseção IX
Despesas Diretas de Investimentos
Art. 198. São despesas diretas dos investimentos, a serem contabilizadas como "Deduções/Variações Negativas" dos investimentos:
I - os serviços de liquidação e de custódia de investimentos;
II - as taxas de administração de investimentos na gestão terceirizada de recursos;
III - os tributos diretamente incidentes sobre investimentos;
IV - os serviços de avaliações e reavaliações de investimentos;
V - as taxas condominiais, seguros, custos de manutenção, demais taxas e impostos incidentes sobre investimentos imobiliários de responsabilidade do locador (proprietário); e
VI - os gastos diretamente relacionados com a recuperação de investimentos, tais como honorários advocatícios terceirizados e consultorias especializadas na recuperação de perdas com investimentos.
Seção IV
Provisões para Perdas
Subseção I
Parâmetros de Provisões para Perdas
Art. 199. A EFPC deve constituir provisão para perda sobre os valores dos créditos vencidos e vincendos, determinada em função do tempo de atraso no recebimento do valor principal, de parcela ou de encargos, conforme os seguintes parâmetros:
I - provisão mínima de 1% para atraso entre 31 e 60 dias;
II - provisão mínima de 5%, para atraso entre 61 e 90 dias;
III - provisão mínima de 10%, para atraso entre 91 e 120 dias;
IV - provisão mínima de 25%, para atraso entre 121 e 180 dias;
V - provisão mínima de 50%, para atraso entre 181 e 240 dias;
VI - provisão mínima de 75%, para atraso entre 241 e 360 dias; e
VII - provisão de 100% para atraso superior a 360 dias.
Parágrafo único. A provisão para perda sobre as contribuições em atraso dos planos de benefícios, em relação ao previsto no plano de custeio anual, deve ser constituída somente sobre o valor das parcelas vencidas.
Art. 200. É vedado o reconhecimento de receitas de qualquer natureza, no resultado do período, relativas a ativos financeiros que apresentem atraso igual ou superior a noventa dias, no pagamento de parcela de principal ou de encargos.
Parágrafo único. As receitas de que trata o caput, somente podem ser apropriadas ao resultado quando do seu efetivo recebimento.
Subseção II
Registro Contábil das Provisões para Perdas
Art. 201. Os valores relativos às provisões para perdas devem ser contabilizados, a débito, em conta de resultado, e em conta redutora do respectivo ativo, a crédito.
Art. 202. Os valores relativos às provisões para perdas em ativos financeiros devem ser contabilizados em conta de "Dedução/Variação Negativa", a débito, em contrapartida à conta redutora do respectivo grupo de investimentos, a crédito.
Subseção III
Baixa e Recuperação de Ativos
Art. 203. Os ativos financeiros devem ser baixados contabilmente nas seguintes condições:
I - quando a recuperação do seu valor for improvável; ou
II - quando decorrido o prazo de trezentos e sessenta dias previsto no inciso VII do art. 199.
II - quando o ativo estiver provisionado 100% (cem por cento) conforme estabelecido no inciso VII do art. 199.
(Nota: inciso II alterado pela Resolução Previc nº 25/2024)
§ 1º Os ativos financeiros baixados contabilmente devem ser registrados em controles auxiliares até que estejam esgotados todos os meios de cobrança judicial ou extrajudicial, ou por decisão do órgão de governança competente da entidade, observado o prazo mínimo de cinco anos para a manutenção do referido registro auxiliar.
§ 2º A EFPC deve promover, por meio de sua estrutura interna ou por prestadores de serviço, a cobrança dos créditos vencidos buscando sempre maximizar o valor recuperado.
Art. 204. O ganho auferido por ocasião da renegociação de ativo financeiro baixado contabilmente deve ser apropriado ao resultado somente quando do seu efetivo recebimento.
Art. 205. Para fins desta Resolução, considera-se renegociação a composição de dívida, a prorrogação, a novação, a emissão de novo ativo financeiro para liquidação parcial ou integral do anterior ou qualquer outro tipo de acordo que implique alteração nos prazos de vencimento ou nas condições de pagamento originalmente pactuadas.
Seção V
Registros Contábeis do Imobilizado e do Intangível
Art. 206. A depreciação do Imobilizado e a amortização do Intangível devem ser contabilizadas mensalmente, como redutoras, em conta analítica dos respectivos ativos, tendo como contrapartida despesas do Plano de Gestão Administrativa.
§ 1º A contabilização da amortização do intangível e da depreciação do imobilizado deve ser efetuada independentemente da existência do resultado do Plano de Gestão Administrativa.
§ 2º Os gastos com implantação de novos planos de benefícios de caráter previdencial devem ser amortizados no prazo máximo de sessenta meses, contados a partir da data de início de funcionamento do plano de benefícios.
§ 3º As EFPC devem apresentar plano de viabilidade econômico-financeira demonstrando que as receitas administrativas a serem auferidas são suficientes para arcar com a amortização referida no § 2º.
Art. 206-A. Os imóveis adquiridos a partir de 1º de janeiro de 2026, para uso próprio com recursos do fundo administrativo do Plano de Gestão Administrativa, destinados exclusivamente à instalação e manutenção da sede da entidade e utilizados para fins administrativos, devem ser registrados no Ativo Imobilizado.
Parágrafo único. É vedada, a qualquer tempo, a reclassificação dos imóveis de que trata o caput deste artigo para a categoria de investimento, abrangendo integralmente o bem ou quaisquer de suas partes, tais como andares, salas ou frações ideais, em conformidade com a Resolução do CMN vigente.
(Nota: art. 206-A incluído pela Resolução Previc nº 26, de 16.12.2025)
Art. 206-B. A aquisição e alienação de imóveis de que trata o art. 206-A devem apresentar, no mínimo, três laudos técnicos de avaliação prévios à aquisição ou à alienação do imóvel, elaborados de acordo com as normas expedidas pela Associação Brasileira de Normas Técnicas, contendo, no mínimo:
a) identificação do imóvel;
b) informações detalhadas sobre tamanho, localização e tipo (comercial ou residencial);
c) data-base da avaliação;
d) identificação da pessoa jurídica ou do profissional legalmente habilitado responsável pela avaliação; e
e) a segregação entre o valor do terreno e das edificações.
Parágrafo único. Para fins do cumprimento do disposto no caput deste artigo quanto a necessidade de três avaliações, a EFPC pode utilizar avaliações do imóvel realizadas nos trezentos e sessenta dias anteriores à data da alienação, desde que atestadas pelo administrador estatutário tecnicamente qualificado, considerando as condições de mercado.
(Nota: art. 206-B incluído pela Resolução Previc nº 26, de 16.12.2025)
Seção VI
Livro Diário
Art. 207. A autenticação do livro diário deve ser realizada pelo Sistema Público de Escrituração Digital, por meio da apresentação de escrituração contábil digital, na forma estabelecida pela Secretaria da Receita Federal do Brasil.
§ 1º A autenticação do livro diário deve ser comprovada pelo recibo de entrega emitido pelo Sistema Público de Escrituração Digital (Sped).
§ 2º As demonstrações contábeis e notas explicativas deverão ser anexadas à escritura contábil digital (ECD) para autenticação.
Seção VII
Notas Explicativas
Art. 208. As EFPC devem elaborar as Notas Explicativas às Demonstrações Contábeis contemplando, no mínimo, as seguintes informações, segregadas, quando possível, por planos de benefícios e pelo Plano de Gestão Administrativa:
I - contexto operacional das EFPC, incluindo resumo das principais práticas contábeis, relação dos itens avaliados, descrição dos critérios adotados nos períodos, anterior e atual, e eventuais efeitos decorrentes de mudanças de critérios;
II - descrição das contingências passivas relevantes, cujas chances de perda sejam prováveis ou possíveis;
III - critérios, natureza e percentual utilizados para a constituição de provisões;
IV - critérios de avaliação e de amortização das aplicações de recursos existentes no ativo intangível;
V - avaliações e reavaliações dos bens imóveis do ativo "Imobilizado" e dos "Investimentos em imóveis" indicando, no mínimo, histórico, data da avaliação, identificação dos avaliadores responsáveis e respectivos valores, bem como os efeitos no exercício;
VI - ajustes de exercícios anteriores decorrentes de mudanças de práticas contábeis ou de retificações de erros de períodos anteriores, não atribuíveis a eventos subsequentes, com descrição da natureza e dos seus respectivos efeitos, conforme normas do Conselho Federal de Contabilidade (CFC);
VII - descrição de operações relativas à contratação de contribuições em atraso, de serviço passado, de déficit técnico e de outras indicando o valor contratado, o prazo de amortização, o valor da parcela, a data de vencimento, os juros pactuados e outras informações pertinentes;
VIII - composição das contribuições em atraso e contratadas, por patrocinador e por plano de benefícios, comparativos com o exercício anterior;
IX - composição da carteira de investimentos, em comparação com a do exercício anterior;
X - critérios utilizados para o rateio das despesas administrativas entre os planos de benefícios, se for o caso;
XI - objetivos e critérios utilizados para constituição e reversão de fundos;
XII - detalhamento dos saldos das contas que contenham a denominação "Outros", quando ultrapassarem, no total, um décimo do valor do respectivo grupo da referida conta;
XIII - detalhamento dos ajustes e eliminações decorrentes do processo de consolidação das Demonstrações Contábeis;
XIV - descrição de operações de empréstimo de títulos ou valores mobiliários em que o ativo recebido for diverso daquele originalmente entregue, classificado na categoria "títulos mantidos até o vencimento", com informações sobre ativos emprestados e recebidos, datas da operação original e da devolução, quantidades envolvidas e efeito no resultado do período;
XV - eventos subsequentes à data de encerramento do exercício que tenham ou possam vir a ter efeitos relevantes sobre a situação financeira ou econômica dos planos de benefícios e do Plano de Gestão Administrativa;
XVI - premissas utilizadas no cálculo, a metodologia e a forma de precificação utilizadas na avaliação dos ativos financeiros sem cotação no mercado, inclusive os que compõem a carteira de fundos de investimentos, constantes do laudo de avaliação econômica, bem como as justificativas para a escolha do preço do ativo nos casos em que mais de uma opção seja apresentada pelo avaliador;
XVII - premissas utilizadas para avaliação de imóveis constantes do laudo de avaliação, bem como as justificativas para a escolha do preço do ativo nos casos em que mais de uma opção seja apresentada pelo avaliador;
XVIII - controle e acompanhamento contábil e financeiro dos títulos objeto do ajuste de precificação contendo, no mínimo, a natureza, a quantidade e o montante de títulos por faixa de vencimento, o valor investido e o valor do ajuste posicionado na data de encerramento do exercício ou em decorrência de fato relevante;
XIX - equacionamento de déficit técnico com indicação do plano de benefícios, do prazo, das taxas ou valores de contribuições, das contribuições extraordinárias de participantes, assistidos e patrocinadores, da eventual inadimplência e do tempo restante do equacionamento;
XX - critérios e prazos utilizados para a destinação de superávit técnico, caso aplicável;
XXI - títulos públicos federais classificados na categoria "títulos mantidos até o vencimento", negociados no período, especificando a data da negociação, quantidade negociada, valor total negociado, o efeito no resultado e a justificativa para negociação;
XXII - títulos públicos federais reclassificados da categoria "títulos mantidos até o vencimento" para "títulos mantidos para negociação";
XXIII - utilização de recursos de fundo previdencial para cobertura parcial ou total das contribuições para o plano de benefícios;
XXIV - operações com patrocinador, incluindo detalhamento dos ativos financeiros e de recebíveis, indicando o grau de dependência (percentual apurado pela soma de ativos financeiros e recebíveis junto aos patrocinadores em relação ao ativo total) por plano de benefícios;
XXV - identificação dos perfis de investimentos de participantes em planos de benefícios de caráter previdencial e suas características; e
XXVI - operações entre partes relacionadas com, no mínimo, condições pactuadas e os montantes dos saldos existentes das transações, bem como a provisão para créditos de liquidação duvidosa relacionada com o montante dos saldos existentes.
(Nota: art. 208 revogado pela Resolução Previc nº 26, de 16.12.2025)
Art. 208-A. As EFPC devem elaborar e apresentar as Notas Explicativas às Demonstrações Contábeis seguindo obrigatoriamente a ordem dos incisos deste artigo, contendo, no mínimo, as informações neles previstas, segregadas, quando possível, por planos de benefícios e pelo Plano de Gestão Administrativa:
I - contexto operacional das EFPC, incluindo resumo das principais práticas contábeis, relação dos itens avaliados, descrição dos critérios adotados nos períodos, anterior e atual, e eventuais efeitos decorrentes de mudanças de critérios;
II - composição da carteira de investimentos, em comparação com a do exercício anterior;
III - títulos públicos federais classificados na categoria "títulos mantidos até o vencimento", negociados no período, especificando a data da negociação, quantidade negociada, valor total negociado, o efeito no resultado e a justificativa para negociação;
IV - títulos públicos federais reclassificados da categoria "títulos mantidos até o vencimento" para "títulos mantidos para negociação;
V - premissas utilizadas no cálculo, a metodologia e a forma de precificação utilizadas na avaliação dos ativos financeiros sem cotação no mercado, inclusive os que compõem a carteira de fundos de investimentos, constantes do laudo de avaliação econômica, bem como as justificativas para a escolha do preço do ativo nos casos em que mais de uma opção seja apresentada pelo avaliador;
VI - controle e acompanhamento contábil e financeiro dos títulos objeto do ajuste de precificação, contendo, no mínimo, a natureza, a quantidade e o montante de títulos por faixa de vencimento, o valor investido, o valor do ajuste posicionado na data de encerramento do exercício ou em decorrência de fato relevante, bem como a indicação de sua utilização no valor a equacionar ou no superávit a destinar, observado o disposto no § 2º do art. 54 e no art. 55 desta Resolução;
VII - identificação dos perfis de investimentos de participantes em planos de benefícios de caráter previdencial e suas características;
VIII - avaliações dos bens imóveis do ativo "Imobilizado" indicando, no mínimo, as avaliações realizadas, o método de depreciação adotado, o histórico e a data da avaliação, a identificação dos avaliadores responsáveis e os respectivos valores, bem como, quando aplicável, a justificativa para reconhecimento ou reversão de perda por redução ao valor recuperável do ativo e os efeitos decorrentes no exercício;
IX - avaliações e, quando aplicável, reavaliações dos bens imóveis classificados como investimento, indicando, no mínimo, o histórico, a data da avaliação, a identificação dos avaliadores responsáveis e os respectivos valores, o critério de mensuração adotado (valor justo ou custo) e os efeitos decorrentes no exercício;
X - premissas utilizadas para avaliação de imóveis constantes do laudo de avaliação, bem como as justificativas para a escolha do preço do ativo nos casos em que mais de uma opção seja apresentada pelo avaliador;
XI - descrição de operações de empréstimo de títulos ou valores mobiliários em que o ativo recebido for diverso daquele originalmente entregue, classificado na categoria "títulos mantidos até o vencimento", com informações sobre ativos emprestados e recebidos, datas da operação original e da devolução, quantidades envolvidas e efeito no resultado do período;
XII - operações entre partes relacionadas com, no mínimo, condições pactuadas e os montantes dos saldos existentes das transações, bem como a provisão para créditos de liquidação duvidosa relacionada com o montante dos saldos existentes;
XIII - operações entre partes relacionadas com, no mínimo, condições pactuadas com seus prazos e condições, incluindo eventuais garantias dadas ou recebidas, os montantes dos saldos existentes das transações, bem como a provisão para créditos de liquidação duvidosa relacionada com o montante dos saldos existentes;
XIV - critérios de avaliação e de amortização das aplicações de recursos existentes no ativo intangível;
XV - descrição das contingências passivas relevantes, cujas chances de perda sejam prováveis ou possíveis;
XVI - detalhamentos e justificativas das provisões reconhecidas no período, bem como dos passivos contingentes, cujas perdas sejam classificadas como prováveis ou possíveis, nos termos das normas contábeis aplicáveis;
XVII - critérios, natureza e percentual utilizados para a constituição de provisões;
XVIII - critérios e prazos utilizados para a destinação de superávit técnico, caso aplicável;
XIX - objetivos e critérios utilizados para constituição e reversão de fundos;
XX - utilização de recursos de fundo previdencial para cobertura parcial ou total das contribuições para o plano de benefícios;
XXI - composição das contribuições em atraso e contratadas, por patrocinador e por plano de benefícios, comparativos com o exercício anterior;
XXII - equacionamento de déficit técnico com indicação do plano de benefícios, do prazo, das taxas ou valores de contribuições, das contribuições extraordinárias de participantes, assistidos e patrocinadores, da eventual inadimplência e do tempo restante do equacionamento;
XXIII - descrição de operações relativas à contratação de contribuições em atraso, de serviço passado, de déficit técnico e de outras indicando o valor contratado, o prazo de amortização, o valor da parcela, a data de vencimento, os juros pactuados e outras informações pertinentes;
XXIV - critérios utilizados para o rateio das despesas administrativas entre os planos de benefícios, se for o caso;
XXV - descrição da constituição e reversão do fundo administrativo compartilhado;
XXVI - indicação do saldo e detalhamento das despesas de fomento e de inovação referentes ao fundo administrativo compartilhado;
XXVII - divulgação dos montantes de despesas e critérios de remuneração fixa e variável, incluindo benefícios e incentivos de curto e longo prazo pagos no exercício a dirigentes, conselheiros, pessoal próprio e pessoal cedido, de forma agregada por órgão ou função, com indicação dos valores máximo, mínimo e médio, conforme política de remuneração da EFPC;
XXVIII - descrição das receitas diretas administrativas;
XXIX - detalhamento dos saldos das contas que contenham a denominação "Outros", quando ultrapassarem, no total, um décimo do valor do respectivo grupo da referida conta;
XXX - ajustes de exercícios anteriores decorrentes de mudanças de práticas contábeis ou de retificações de erros de períodos anteriores, não atribuíveis a eventos subsequentes, com descrição da natureza e dos seus respectivos efeitos, conforme normas do Conselho Federal de Contabilidade (CFC);
XXXI - detalhamento dos ajustes e eliminações decorrentes do processo de consolidação das Demonstrações Contábeis; e
XXXII - eventos subsequentes à data de encerramento do exercício que tenham ou possam vir a ter efeitos relevantes sobre a situação financeira ou econômica dos planos de benefícios e do Plano de Gestão Administrativa.
Parágrafo único. As EFPC podem complementar suas Notas Explicativas com informações adicionais às mínimas referidas no caput, nos próprios itens de que trata a matéria ou ao final dos itens mínimos.
(Nota: art. 208-A incluído pela Resolução Previc nº 26, de 16.12.2025)
Art. 209. As EFPC devem manter controles analíticos auxiliares do patrimônio do plano de benefícios e do Plano de Gestão Administrativa que possibilitem a prestação das informações contábeis e extracontábeis.
Seção VIII
Política Contábil
Art. 210. A EFPC enquadrada pela Previc nos segmentos S1 ou S2 deve definir a política contábil considerando suas peculiaridades, bem como a natureza de suas operações, devendo ser efetuada com critérios consistentes e verificáveis, em observância às Normas Brasileiras Contabilidade, observadas as particularidades previstas nas Resoluções emitidas pelo CNPC e pela Previc, contemplando as características da gestão de riscos e do tratamento das provisões, dos ativos e dos passivos contingentes.
CAPÍTULO VI
DAS REGRAS DE INVESTIMENTOS
Art. 211. As EFPC devem observar o disposto neste Capítulo para a operacionalização de procedimentos previstos na Resolução do Conselho Monetário Nacional sobre aplicação dos recursos dos planos administrados pelas entidades fechadas de previdência complementar.
Art. 211. As EFPC devem observar o disposto neste Capítulo para a operacionalização de procedimentos previstos na Resolução do Conselho Monetário Nacional sobre aplicação dos recursos dos planos de benefícios administrados, bem como dos recursos do Plano de Gestão Administrativa.
(Nota: caput do art. 211 alterado pela Resolução Previc nº 26, de 16.12.2025)
§ 1º As pessoas responsáveis pelo cumprimento das diretrizes de aplicação dos recursos garantidores dos planos de benefícios administrados pelas EFPC devem empregar, no exercício de suas funções, o cuidado, a diligência, o conhecimento técnico e os padrões éticos que todo homem prudente, ativo e probo costuma empregar na administração de plano previdenciário, observando os seguintes princípios, conforme previsto no inciso I do art. 4º e no art. 41 da Resolução CMN nº 4.994, de 2022:
I - segurança: assunção de risco adequado por ativo financeiro, por carteira de investimentos, por segmento de aplicação, observadas as políticas de investimento e os estudos técnicos necessários que fundamentam a decisão negocial;
II - rentabilidade: expectativa de retorno compatível com os objetivos fiduciários dos planos de benefícios, considerada a partir das projeções de retorno por ativo financeiro e segmento de aplicação definidos nas políticas de investimento, mediante decisões devidamente fundamentadas e registradas, com o reconhecimento de que a variabilidade dos resultados constitui característica inerente à aplicação dos recursos garantidores;
III - solvência: capacidade financeira e atuarial de honrar integralmente com os pagamentos futuros dos compromissos assumidos pelos planos de benefícios;
IV - liquidez: suficiência e disponibilidade dos ativos financeiros dos planos de benefícios para o cumprimento tempestivo das obrigações assumidas, expressas nas políticas de investimento;
V - motivação: fundamentação clara, objetiva e consistente das decisões, capaz de assegurar a regularidade dos atos praticados, evidenciar a observância da boa-fé, diligência e lealdade, e refletir a busca pelo melhor interesse do plano de benefícios e o cumprimento do dever fiduciário em relação aos participantes e assistidos, com manutenção de registros que evidenciem as decisões e os fundamentos técnicos que as justificam;
VI - adequação às obrigações: compatibilidade entre as políticas de investimento, as características previdenciárias de cada plano de benefícios e a estrutura das demais obrigações assumidas; e
VII - transparência: disponibilização, em linguagem clara, simples e acessível, das informações relativas à política de investimento e à carteira de ativos financeiros para os participantes, assistidos, patrocinadores, instituidores e para o órgão fiscalizador das operações da EFPC.
§ 2º Além do disposto no § 1º, as pessoas responsáveis pelo cumprimento das diretrizes de aplicação dos recursos garantidores dos planos de benefícios administrados pelas EFPC devem, no exercício de suas atividades e conforme previsto no inciso II do art. 4º e no art. 41 da Resolução CMN nº 4.994, de 2022, adotar conduta pautada em:
I - boa-fé: dever de agir com lealdade, ética, honestidade e probidade, adotando um padrão de conduta compatível com as responsabilidades que foram conferidas;
II - lealdade: agir no interesse exclusivo dos participantes e assistidos, evitando situações de potencial conflito de interesses;
III - diligência: busca de informações relevantes para fundamentar as decisões e adoção de conduta pautada em cuidado técnico, avaliando os riscos envolvidos e observando as melhores práticas, para garantir o cumprimento do dever fiduciário em relação aos participantes e assistidos dos planos de benefícios;
IV - tempestividade: capacidade em se adaptar com presteza, dentro do tempo adequado, às condições de mercado, às necessidades e objetivos de longo prazo dos planos de benefícios, a partir da tomada de decisões negociais de forma ágil, prudente e eficaz; e
V - prudência: adoção de conduta pautada em cautela e equilíbrio na tomada de decisões de investimentos, com julgamento refletido e análise criteriosa dos impactos sobre os planos de benefícios e seus participantes, assistidos, patrocinadores e instituidores.
(Nota: parágrafos 1º e 2º incluídos pela Resolução Previc nº 26, de 16.12.2025)
Seção I
Política de Investimento
Art. 212. A política de investimento deve conter, no mínimo, as seguintes informações:
Art. 212. A política de investimento, para o horizonte de cinco anos, deve conter, no mínimo, as seguintes informações:
(Nota: caput do art. 212 alterado pela Resolução Previc nº 26, de 16.12.2025)
I - a previsão de alocação de recursos e os limites por segmento de aplicação;
II - a meta de rentabilidade por plano e segmento de aplicação;
III - a rentabilidade auferida por plano e segmento de aplicação nos cinco exercícios anteriores da política de investimento do exercício de referência, de forma acumulada e por exercício;
III - a rentabilidade auferida por plano e segmento de aplicação nos cinco exercícios anteriores ao do exercício de referência, de forma acumulada e por exercício;
(Nota: inciso III alterado pela Resolução Previc nº 26, de 16.12.2025)
IV - a taxa mínima atuarial ou os índices de referência, observado o regulamento de cada plano de benefícios;
V - os objetivos para utilização de derivativos;
VI - as diretrizes para observância de princípios de responsabilidade ambiental, social e de governança, preferencialmente, de forma diferenciada por setores da atividade econômica; e
(Nota: inciso VI revogado pela Resolução Previc nº 26, de 16.12.2025)
VII - as informações ou a indicação de documento em que constem procedimentos e critérios relativos à:
a) precificação dos ativos financeiros com metodologia ou as fontes de referência adotadas;
a) precificação dos ativos financeiros, com metodologia e as fontes de referência adotadas;
(Nota: alínea a) alterada pela Resolução Previc nº 26, de 16.12.2025)
b) avaliação dos riscos de investimento, incluídos os riscos de crédito, de mercado, de liquidez, operacional, legal, sistêmico e outros inerentes às operações;
c) seleção, acompanhamento, avaliação e critérios para substituição de prestadores de serviços relacionados à administração de carteiras de valores mobiliários e de fundo de investimento;
d) observância dos limites e requisitos da Resolução do Conselho Monetário Nacional;
e) avaliação, gerenciamento e acompanhamento do risco e do retorno esperado dos investimentos em carteira própria;
f) separação de responsabilidades e objetivos associados aos mandatos de todos os agentes que participem do processo de análise, avaliação, gerenciamento, assessoramento e decisão sobre a aplicação dos recursos dos planos da entidade, inclusive com a definição das alçadas de decisão de cada instância; e
g) mitigação de potenciais conflitos de interesse de seus prestadores de serviços e das pessoas que participam do processo decisório.
g) mitigação de potenciais conflitos de interesses de seus prestadores de serviços e das pessoas que participam do processo decisório; e
(Nota: alínea g) alterada pela Resolução Previc nº 26, de 16.12.2025)
h) descrição da metodologia para a análise da materialidade e relevância dos fatores de sustentabilidade econômica, ambiental, social, e de governança, nos termos do § 1º do art. 368-B.
(Nota: alínea h) incluída pela Resolução Previc nº 26, de 16.12.2025)
§1º Os requisitos estabelecidos nos incisos I a V devem ser, preferencialmente, individualizados por perfil de investimento, quando houver.
§2º A EFPC deve manter cópia, por meio digital, de todos os documentos utilizados pela EFPC para atender os procedimentos de que trata o caput.
Seção II
Perfil de Investimento
Art. 213. A EFPC que oferecer perfil de investimento nos planos de benefícios deve:
I - observar as diretrizes e os limites de aplicação dos recursos garantidores dos planos administrados da Resolução do Conselho Monetário Nacional;
II - esclarecer ao participante ou assistido quanto aos impactos da escolha de perfil e eventuais alterações, mediante disponibilização de material explicativo, redigido em linguagem simples e precisa;
III - verificar se o perfil de investimento é adequado ao perfil do participante ou assistido;
IV - estabelecer mecanismos de controle interno com o objetivo de garantir a segregação dos recursos do participante ou assistido considerando cada perfil de investimento oferecido; e
V - manter cópia, por meio digital, de todos os documentos utilizados pela EFPC para atender os procedimentos de que trata esta Seção.
V - manter cópia, por meio digital, de todos os documentos utilizados pela EFPC para atender ao disposto nesta Seção.
(Nota: inciso v alterado pela Resolução Previc nº 26, de 16.12.2025)
§1º O disposto do caput inclui os perfis de investimento do tipo ciclo de vida oferecido ao participante ou assistido pela EFPC.
§2º A recusa expressa do participante ou assistido em participar dos procedimentos estabelecidos nos incisos II e III impossibilita a realização de opção ou de alteração de perfil de investimento pelo participante, cabendo à EFPC definir o tratamento para tais casos.
Art. 214. A opção do participante ou assistido por perfil de investimento ou a sua alteração deve ser formalizada em termo específico.
§1º Caso a EFPC identifique que o perfil de investimento escolhido pelo participante ou assistido não é adequado ao seu perfil, deverá alertá-lo, para que o participante, a seu critério, confirme a alteração de perfil de investimento.
§1º Caso a EFPC identifique que o perfil de investimento escolhido pelo participante ou assistido não é adequado ao seu perfil, deverá alertá-lo, para que o participante, a seu critério, confirme a seleção do perfil de investimento.
(Nota: parágrafo 1º alterado pela Resolução Previc nº 26, de 16.12.2025)
§2º O participante ou assistido poderá alterar seu perfil de investimento em prazo estabelecido pela EFPC, devendo ser adotadas medidas para preservar a reserva individual do participante e observadas estratégias de investimento no tempo.
Art. 215. A EFPC deve diligenciar para atualizar as informações relativas ao perfil de investimento dos seus participantes e assistidos em intervalos não superiores a trinta e seis meses, a contar da data de realização da opção pelo perfil de investimento ou da sua implementação por parte da EFPC.
Parágrafo único. A EFPC deve prever a forma de cálculo de cota de cada perfil de investimentos em documento aprovado pelo Conselho Deliberativo.
Parágrafo único. A forma de cálculo de cota de cada perfil de investimento deve estar prevista em documento aprovado pelo Conselho Deliberativo.
(Nota: parágrafo único alterado pela Resolução Previc nº 26, de 16.12.2025)
Seção III
Ativo Final
Art. 216. Considera-se ativo final os ativos financeiros individuais e as cotas de fundos de investimentos de que trata o parágrafo único do art. 32 da Resolução CMN nº 4.994, de 2022.
Parágrafo único. O ativo final de que trata o caput pode ser desconsiderado, para fins de supervisão, aplicando-se os limites, requisitos e vedações diretamente aos seus ativos subjacentes, caso seja verificada sua utilização como meio para execução de operações em desacordo com as diretrizes de investimentos ou caso seja verificado desvio de finalidade em relação à estratégia usual do ativo.
Art. 216. Consideram-se ativos finais os ativos financeiros individuais e as classes de cotas de fundos de investimentos de que trata o parágrafo único do art. 32 da Resolução CMN nº 4.994, de 2022.
Parágrafo único. O ativo final de que trata o caput pode ser desconsiderado, para fins de supervisão, aplicando-se os limites, requisitos e vedações diretamente aos seus ativos subjacentes, caso sua utilização como meio para execução de operações em desacordo com as diretrizes de investimentos ou a verificação de desvio de finalidade em relação à estratégia usual do ativo sejam constatadas.
(Nota: caput e parágrafo único alterados pela Resolução Previc nº 26, de 16.12.2025)
Seção IV
Segregação da Gestão de Risco
Art. 217. A EFPC enquadrada no segmento S1 deve, nos termos dos arts. 8º e 9º da Resolução CMN nº 4.994, de 2022, segregar a gestão de recursos da gestão de risco e designar:
Art. 217. A EFPC enquadrada no segmento S1 deve segregar a gestão de recursos da gestão de risco e designar:
(Nota: caput do art. 217 alterado pela Resolução Previc nº 26, de 16.12.2025)
I - AETQ como principal responsável pela gestão, alocação, supervisão e acompanhamento dos recursos garantidores de seus planos; e
II - administrador ou comitê responsável pela gestão de riscos.
§ 1º O AETQ e o responsável pela gestão de risco devem exercer suas funções com independência e sem qualquer subordinação hierárquica entre si.
§ 2º É vedada a participação do AETQ no comitê responsável pela gestão de riscos.
Seção V
Negociação Privada
Art. 218. O processo decisório das operações realizadas pelas EFPC por meio de negociações privadas com ações de emissão de companhias abertas negociadas em bolsa de valores ou admitidas à negociação em mercado de balcão organizado por entidade autorizada pela Comissão de Valores Mobiliários, deve contemplar, no mínimo, as seguintes etapas:
I - elaboração de estudo técnico;
II - apreciação da operação pelo comitê de investimentos da EFPC ou órgão similar, quando prevista em regulamento interno;
III - declaração do administrador ou comitê responsável pela gestão de riscos acerca dos riscos envolvidos na operação;
IV - declaração do administrador estatutário tecnicamente qualificado sobre o atendimento dos requisitos e limites previstos na legislação em vigor;
V - aprovação da operação pretendida pela diretoria executiva; e
VI - aprovação da operação pretendida pelo conselho deliberativo.
§1º A operação deve estar em conformidade com a política de investimentos dos planos administrados pela EFPC e constar das notas explicativas às demonstrações contábeis.
§2º Para efeito desta Resolução, equiparam-se às operações de negociação privada com ações de que trata o caput, as operações de negociação privada com bônus de subscrição de ações, recibos de subscrição de ações ou certificados de depósito de ações de companhia aberta negociados em bolsa de valores ou admitidos à negociação em mercado de balcão organizado por entidade autorizada pela Comissão de Valores Mobiliários.
§ 2º Para os fins desta Resolução, equiparam-se às operações de negociação privada com ações de que trata o caput, as operações de negociação privada com bônus de subscrição de ações, recibos de subscrição de ações ou certificados de depósito de ações de companhia aberta negociados em bolsa de valores ou admitidos à negociação em mercado de balcão organizado por entidade autorizada pela Comissão de Valores Mobiliários.
(Nota: parágrafo 2º alterado pela Resolução Previc nº 26, de 16.12.2025)
§3º O estudo técnico e a documentação necessária sobre a operação pretendida devem ser realizados conforme Portaria da Diretoria de Normas.
Seção VI
Seleção e Monitoramento de Prestadores de Serviço de Administração de Carteiras de Valores Mobiliários e de Fundos de Investimento
Art. 219. A EFPC deve observar o disposto nesta Seção para seleção e monitoramento de prestadores de serviço de administração de carteiras de valores mobiliários e de fundo de investimento.
Parágrafo único. Para fins do disposto nesta Seção, considera-se administração de carteiras de valores mobiliários, nas categorias de administrador fiduciário e gestor de recursos, a estabelecida pela Comissão de Valores Mobiliários.
§ 1º. Para fins do disposto nesta Seção, considera-se administração de carteiras de valores mobiliários, nas categorias de administrador fiduciário e gestor de recursos, aquela estabelecida pela Comissão de Valores Mobiliários.
§ 2º Para fins do correto entendimento desta Seção:
I - as referências a "fundo" ou a "fundo de investimento" aplicam-se a todas as suas classes de cotas ou subclasses;
II - as referências a "classe" e a "classe de cotas" aplicam-se aos fundos de investimento que emitem cotas em classe única; e
III - as referências a "regulamento" e a "regulamento do fundo" aplicam-se aos anexos descritivos das classes de cotas e aos apêndices das subclasses.
(Nota: parágrafo único revogado e incluídos parágrafos 1º e 2º pela Resolução Previc nº 26, de 16.12.2025)
Subseção I
Seleção de Prestador de Serviço de Administração de Carteiras de Valores Mobiliários
Art. 220. A EFPC na seleção de prestadores de serviço de administração de carteiras de valores mobiliários e de gestão de fundo de investimento exclusivo deve, no mínimo:
Art. 220. A EFPC na seleção de prestadores de serviços de fundo de investimento exclusivo deve, no mínimo:
(Nota: caput do art. 220 alterado pela Resolução Previc nº 26, de 16.12.2025)
I - estabelecer critérios de seleção que visem à impessoalidade, à concorrência e à transparência;
II - avaliar se o administrador de carteira de valores mobiliários é devidamente autorizado pela Comissão de Valores Mobiliários e tem reputação ilibada;
III - analisar a estrutura existente para a prestação do serviço, a qualificação técnica e a experiência dos profissionais para o exercício de administração de carteira de valores mobiliários, incluindo o histórico de atuação do gestor de recursos;
IV - estabelecer o escopo do serviço a ser prestado inclusive contemplando objetivos passíveis de verificação de acordo com as características do mandato;
I - estabelecer critérios de seleção que visem à impessoalidade, à concorrência e à transparência, atuando para evitar práticas que possam ferir a relação fiduciária;
II - avaliar se o prestador de serviços é devidamente autorizado pela Comissão de Valores Mobiliários e tem reputação ilibada;
III - verificar se a estrutura existente, a experiência dos profissionais, a capacidade operacional e técnica, incluindo o histórico de atuação dos prestadores de serviços, são compatíveis com o serviço a ser prestado;
IV - estabelecer com clareza e objetividade no regulamento e no contrato de prestação de serviços o escopo da atividade contratada, contemplando objetivos passíveis de verificação de acordo com as características do mandato, firmando, sempre que possível, acordos quanto ao nível de serviço a ser prestado;
(Nota: incisos de I a IV alterados pela Resolução Previc nº 26, de 16.12.2025)
V - estabelecer critérios relacionados à política de divulgação de informações sobre os investimentos e performance, especificando a periodicidade e as informações necessárias para o monitoramento das atividades pela EFPC, considerando a regulamentação da Comissão de Valores Mobiliários;
VI - incluir, nos contratos, quando couber, cláusulas sobre penalidades e condições para rescisão antecipada quando verificado descumprimento;
VII - analisar se a política de gestão de riscos da carteira administrada ou do fundo de investimento está alinhada às diretrizes da política de investimento dos planos de benefícios da EFPC; e
VII - analisar se a política de gestão de riscos da carteira administrada ou da classe de cotas do fundo de investimento está alinhada às diretrizes da política de investimento dos planos de benefícios da EFPC; e
(Nota: inciso VII alterado pela Resolução Previc nº 26, de 16.12.2025)
VIII - verificar se administrador de carteira de valores mobiliários adere a códigos de autorregulação e códigos de ética e conduta que incentivem boas práticas de mercado, transparência e padrões éticos na administração de carteira de valores mobiliários.
§1º Os critérios de seleção devem, ainda, ser proporcionais à complexidade do mandato.
§2º O membro de diretoria ou conselho deliberativo da EFPC deve formalizar ao conselho deliberativo a existência de qualquer potencial conflito de interesse quando da seleção do prestador de serviço de administração de carteiras de valores mobiliários.
§2º O membro de diretoria e do conselho deliberativo da EFPC deve formalizar ao conselho deliberativo a existência de qualquer potencial conflito de interesses quando da seleção do prestador de serviço de administração de carteiras de valores mobiliários.
(Nota: parágrafo 2º alterado pela Resolução Previc nº 26, de 16.12.2025)
§3º A EFPC deve revisar periodicamente os critérios de seleção de prestadores de serviço de administração de carteiras de valores mobiliários e de gestão de fundo de investimento exclusivo.
§3º A EFPC deve revisar periodicamente os critérios de seleção de prestadores de serviços de fundo de investimento exclusivo.
(Nota: parágrafo 3º alterado pela Resolução Previc nº 26, de 16.12.2025)
Subseção II
Seleção de Fundo de Investimento
Art. 221. Na seleção e contratação de fundo de investimento, observados aspectos de concorrência e transparência, a EFPC deve, no mínimo, analisar:
I - o regulamento e demais documentos disponibilizados pelo gestor do fundo de investimento, previamente às alocações, identificando os riscos inerentes às operações previstas;
I - o regulamento e demais documentos disponibilizados pelos prestadores de serviços, previamente às alocações, identificando os riscos inerentes às operações previstas;
(Nota: inciso I alterado pela Resolução Previc nº 26, de 16.12.2025)
II - as características do fundo frente às necessidades de liquidez da EFPC;
III - a política de seleção, alocação e diversificação de ativos e, quando for o caso, política de concentração de ativos;
IV - a compatibilidade entre o objetivo de retorno do fundo de investimento, a política de investimento do fundo, o limite de risco divulgado pelo gestor, quando couber, e eventual adequação do parâmetro utilizado para a cobrança da taxa de performance;
V - as hipóteses de eventos de avaliação, amortização e liquidação, inclusive antecipada, quando aplicável;
VI - o histórico de performance do gestor em relação à gestão do fundo de investimento, se houver; e
VII - as taxas de administração, gestão e performance efetivas dos fundos, principalmente daqueles que possam adquirir cotas de outros fundos de investimento.
VIII - a limitação de responsabilidade no regulamento do Fundo de Investimento.
VI - o histórico de performance do gestor em relação à gestão do fundo de investimento, se houver;
VII - as taxas de administração, gestão, distribuição e performance efetivas, principalmente quando possam adquirir cotas de outros fundos de investimento;
VIII - a limitação de responsabilidade no regulamento do Fundo de Investimento; e
(Nota: inciso VI, VII e VIII alterados pela Resolução Previc nº 26, de 16.12.2025)
IX - a possibilidade de a classe de cotas investir em cotas de outras classes e se existe limitação quanto ao número máximo de níveis na cadeia de investimento.
(Nota: inciso IX incluído pela Resolução Previc nº 26, de 16.12.2025)
Parágrafo único. §1 Adicionalmente ao disposto neste artigo, a EFPC deve observar o disposto nos incisos I, II e VII do art. 220 na seleção de fundo de investimento não exclusivo.
§2º Na análise prevista no inciso I, a EFPC deve verificar se é permitida a realização de operações vedadas pela Resolução do Conselho Monetário Nacional que trata sobre aplicação dos recursos dos planos administrados pelas EFPC.
(Nota: parágrafo 1º alterado e incluído parágrafo 2º pela Resolução Previc nº 26, de 16.12.2025)
Subseção III
Seleção de Fundo de Investimento em Participações
Art. 222. Na seleção de fundo de investimento em participações (FIP), a EFPC deve, adicionalmente ao disposto no art. 221, analisar:
I - as regras aplicáveis para subscrição e integralização de cotas;
II - a política de amortização e distribuição de rendimentos;
III - a política de divulgação de informações do fundo e de suas sociedades investidas, conforme regulamentação aplicável;
IV - a forma do aporte do gestor em relação aos demais investidores;
V - a duração do fundo, o período de investimento e de desinvestimento;
VI - a possibilidade de o gestor lançar outro fundo com objetivos concorrentes ou com potencial impacto para a performance do fundo de investimento em participações;
VII - os riscos envolvidos na participação da EFPC em comitê de investimento do fundo de investimento em participações;
(Nota: inciso VII revogado pela Resolução Previc nº 26, de 16.12.2025)
VIII - os critérios e metodologias utilizados pelo gestor ou empresa avaliadora independente por ele contratada para realizar a avaliação dos investimentos do fundo de investimento em participações ao valor justo;
IX - a política para a contratação de consultores e terceiros pelo fundo de investimento em participações para auxiliar na gestão do fundo ou das sociedades investidas; e
X - as regras de diversificação por empresa investida dos ativos que podem compor a carteira do fundo de investimento em participações previstas na política de investimento do fundo.
§1º O fundo de investimento em participações deve prever em seu regulamento a determinação de que o gestor do fundo de investimento, ou gestoras ligadas ao seu respectivo grupo econômico, mantenha, no mínimo, 3% (três por cento) do capital subscrito do fundo sob sua gestão, considerando as subscrições efetuadas por todos os cotistas do fundo de investimento em participações.
§1º O fundo de investimento em participações deve prever em seu regulamento a determinação de que o gestor do fundo de investimento, ou gestoras ligadas ao seu respectivo grupo econômico, mantenha, no mínimo, 3% (três por cento) do capital subscrito da classe ou da subclasse do fundo sob sua gestão, considerando as subscrições efetuadas por todos os cotistas do fundo.
(Nota: parágrafo 1º alterado pela Resolução Previc nº 26, de 16.12.2025)
§2º Para fins de composição do percentual do capital subscrito a que se refere o §1º, podem ser considerados os aportes efetuados por:
I - gestor do fundo de investimento em participações, pessoa jurídica credenciada como administrador de carteiras de valores mobiliários pela Comissão de Valores Mobiliários, diretamente ou por meio de fundo de investimento exclusivo;
II - fundo de investimento constituído no Brasil que seja restrito ao gestor referido no inciso I ou, desde que seja pessoa natural domiciliada no Brasil, a sócio, diretor ou membros da equipe-chave, responsáveis pela gestão do fundo de investimento em participações, vinculados ao referido gestor da carteira do fundo de investimento em participações; ou
II - classe de cota de fundo de investimento constituído no Brasil que seja restrita ao gestor referido no inciso I ou, desde que seja pessoa natural domiciliada no Brasil, a sócio, diretor ou membros da equipe-chave, responsáveis pela gestão do fundo de investimento em participações, vinculados ao referido gestor da carteira do fundo de investimento em participações; ou
(Nota: inciso II alterado pela Resolução Previc nº 26, de 16.12.2025)
III - pessoa jurídica, sediada no Brasil ou exterior, ligada ao mesmo grupo econômico, excetuadas as empresas coligadas, do gestor referido no inciso I.
§3º Para fins do disposto no inciso II do §2º, entende-se como membro da equipe-chave os responsáveis pela gestão do fundo de investimento em participações, os quais devem ser indicados no regulamento do fundo.
§4º Caso a pessoa referida nos incisos II e III do §2º, que tenha realizado aporte de recursos para fins de composição do percentual disposto no §1º, deixe de manter vínculo ou ligação com o referido gestor do fundo de investimento em participações, o gestor da carteira do fundo de investimento em participações deve realizar os procedimentos necessários para a manutenção do referido percentual, conforme previsto em regulamento do fundo.
§5º É vedada a participação de representante da EFPC em comitê de investimentos de FIP.
§6º As EFPC com representantes em comitês de investimento de FIP devem deixar os comitês até 31 de dezembro de 2026.
(Nota: parágrafos 5º e 6º incluídos pela Resolução Previc nº 26, de 16.12.2025)
Subseção IV
Seleção de Fundo de Investimento em Direitos Creditórios
Art. 223. Na seleção de fundo de investimento em direitos creditórios (FIDC), a EFPC deve, adicionalmente ao disposto no art. 221, analisar:
I - a estrutura da carteira, o cedente, o nível de subordinação, a inadimplência e a perda que a classificação de risco e a subordinação deveriam suportar comparando-se com a perda estimada, e a classificação de risco no Sistema de Informações de Crédito do Banco Central, quando disponível;
I - a estrutura da carteira, o cedente, o nível de subordinação, a inadimplência e a perda que a classificação de risco e a subordinação deveriam suportar, comparada com a perda estimada, e a classificação de risco no Sistema de Informações de Crédito do Banco Central, quando disponível;
(Nota: inciso I alterado pela Resolução Previc nº 26, de 16.12.2025)
II - os mecanismos de proteção do fundo de investimento em direitos creditórios;
III - as características do fundo de investimento em direitos creditórios;
IV - as características dos direitos creditórios;
V - o fluxograma operacional da estrutura do fundo de investimento em direitos creditórios, descrevendo o procedimento de cessão, quando houver, e o fluxo financeiro; e
VI - a política do gestor do fundo para a contratação de terceiros para auxiliar na gestão de recursos, quando houver.
Subseção V
Seleção de Fundo de Investimento Imobiliário
Art. 224. Na seleção de fundo de investimento imobiliário (FII), a EFPC deve, adicionalmente ao disposto no art. 221, analisar:
I - as características dos créditos imobiliários e garantias atreladas, caso existam;
II - a descrição dos riscos inerentes aos ativos-alvo que podem ser investidos pelo fundo de investimento imobiliário;
III - o laudo de avaliação quando houver definição específica dos ativos-alvo que integrarão a carteira do fundo de investimento imobiliário;
IV - fato relativo ao fundo de investimento imobiliário, considerado relevante, que possa afetar a decisão do potencial investidor no que diz respeito à aquisição das cotas do fundo de investimento imobiliário.
V - os critérios e metodologias utilizados pelo gestor ou empresa avaliadora independente por ele contratada para realizar a avaliação dos investimentos do fundo de investimento imobiliário ao valor justo; e
VI - a política para a contratação de consultores e terceiros para auxiliar na gestão dos ativos do fundo de investimento imobiliário ou dos empreendimentos imobiliários.
Subseção V-A
Seleção de Fundo de Investimento nas Cadeias Agroindustriais
(Nota: subseção V-A incluída pela Resolução Previc nº 26, de 16.12.2025)
Art. 224-A. Na seleção de Fundo de Investimento nas Cadeias Agroindustriais, a EFPC deve, adicionalmente ao disposto no art. 221, analisar:
I - as regras específicas de subscrição e integralização das cotas, incluindo prazos, chamadas de capital, classes de cotas e eventuais restrições a investidores, nos termos da Lei nº 14.130, de 2021, e da regulamentação da Comissão de Valores Mobiliários;
II - a política de distribuição de rendimentos e, quando aplicável, de amortização ordinária de cotas, explicitando periodicidade, critérios de retenção e prioridades de pagamento;
III - a política de divulgação de informações, garantindo tempestividade e escopo mínimo de relatórios gerenciais, demonstrações financeiras, atas de assembleia e laudos de avaliação;
IV - a participação financeira do gestor, administrador e partes relacionadas no Fundo de Investimento nas Cadeias Agroindustriais, a fim de aferir o alinhamento de interesses entre gestores e cotistas;
V - os critérios, metodologias e periodicidade de avaliação dos ativos a valor justo, realizados pelo gestor ou por avaliador independente, assegurando aderência às normas da Comissão de Valores Mobiliários;
VI - a política de contratação de consultores e terceiros para apoio na gestão do Fundo de Investimento nas Cadeias Agroindustriais ou de seus ativos-alvo;
VII - a composição e estrutura da carteira, abrangendo origem e características de direitos creditórios, imóveis rurais, participações societárias e demais ativos, perfil de cedentes ou emissores, níveis de subordinação e histórico de inadimplência;
VIII - as características e riscos específicos dos ativos-alvo, incluindo aspectos fundiários, ambientais, climáticos e de mercado que possam afetar tais ativos;
IX - o laudo de avaliação dos ativos relevantes, elaborado por avaliador independente, e as metodologias empregadas;
X - quaisquer eventos ou fatos relevantes relativos ao Fundo de Investimento nas Cadeias Agroindustriais ou a seus ativos que possam impactar significativamente a decisão de investimento ou a rentabilidade das cotas; e
XI - a estrutura de governança do fundo, contemplando composição e independência dos órgãos de administração e fiscalização, controles internos e políticas de compliance.
(Nota: art. 224-A incluído pela Resolução Previc nº 26, de 16.12.2025)
Subseção VI
Monitoramento de Prestador de Serviço de Administração de Carteiras de Valores Mobiliários
Art. 225. A EFPC no monitoramento de prestador de serviço de administração de carteiras de valores mobiliários deve, no mínimo:
I - zelar pela manutenção da relação fiduciária entre a EFPC e o administrador de carteiras de valores mobiliários;
II - utilizar procedimentos e metodologias com critérios quantitativos e qualitativos;
III - zelar pela transparência de informações divulgadas pelo gestor de recursos;
IV - monitorar o risco e o retorno esperado dos investimentos, considerando os custos inerentes à utilização do serviço de administração de carteiras de valores mobiliários;
V - monitorar se o administrador de carteira de valores mobiliários mantém estrutura de gerenciamento de investimentos e riscos compatível com a complexidade do mandato;
VI - atuar com diligência e tempestividade nos casos de descumprimento dos mandatos; e
VII - avaliar as demonstrações financeiras anuais do fundo investido e o respectivo parecer dos auditores independentes.
Subseção VII
Monitoramento de Fundos de Investimento
Art. 226. No monitoramento de fundo de investimento, a EFPC deve, no mínimo:
I - utilizar procedimentos e metodologias com critérios quantitativos e qualitativos;
II - monitorar o risco e o retorno esperado dos investimentos, considerando as taxas de administração, gestão e performance efetivas dos fundos, principalmente daqueles que possam adquirir cotas de outros fundos de investimento;
II - monitorar o risco e o retorno esperado dos investimentos, considerando as taxas de administração, distribuição, gestão e performance efetivas dos fundos, principalmente daqueles que possam adquirir cotas de outros fundos de investimento;
(Nota: inciso II alterado pela Resolução Previc nº 26, de 16.12.2025)
III - analisar os relatórios divulgados pelo fundo de investimento, observando a ocorrência de fatos relevantes; e
IV - analisar a aderência do fundo de investimento à política de investimento da EFPC.
Subseção VIII
Fundo de Investimento Constituído no Exterior
Art. 227. Para fins de atendimento dos requisitos necessários para a aplicação no segmento exterior previstos na Resolução do Conselho Monetário Nacional, considera-se como gestor do fundo de investimento constituído no exterior:
I - pessoa jurídica que realize diretamente a gestão da carteira de valores mobiliários do respectivo fundo de investimento constituído no exterior, com autorização e supervisão de autoridade local reconhecida conforme estabelecido na regulamentação da Comissão de Valores Mobiliários; ou
II - pessoa jurídica pertencente ao mesmo grupo econômico do gestor referido no inciso I.
CAPÍTULO VII
DOS PROCEDIMENTOS DE FISCALIZAÇÃO
Seção I
Rotinas e Procedimentos de Fiscalização
Art. 228. A Superintendência Nacional de Previdência Complementar observará, em seus procedimentos de fiscalização, os conceitos de supervisão baseada em riscos, inclusive na elaboração e execução do programa anual de fiscalização, aplicando, no que couber, o regime disciplinar de que trata o Capítulo VII da Lei Complementar nº 109, de 29 de maio de 2001.
§1º A supervisão baseada em riscos compreende, dentre outros, a identificação, a avaliação, o controle e o monitoramento da exposição a riscos que possam comprometer a realização dos objetivos da entidade fechada de previdência complementar e de cada plano de benefícios por ela administrado, considerando o porte, a diversidade e a complexidade a eles atinentes.
§2º Na elaboração do programa anual de fiscalização serão ponderados de forma positiva, podendo implicar fiscalização a partir de outros dispositivos da ação fiscal da Previc, as entidades que:
§2º Na elaboração do programa anual de fiscalização e monitoramento serão ponderados de forma positiva, podendo implicar fiscalização a partir de outros dispositivos da ação fiscal da Previc, as entidades que:
(Nota: parágrafo 2º alterado pela Resolução Previc nº 25/2024)
I - tenham a totalidade dos membros da diretoria-executiva, do conselho deliberativo e conselho fiscal certificados;
II - possuam Ouvidoria para o atendimento de seus participantes e assistidos;
III - disponibilizem em seu sítio eletrônico a íntegra das atas de reuniões da diretoria-executiva, conselho deliberativo e conselho fiscal;
IV - tenham constituído Comitê de Auditoria;
V - tenham constituído auditoria interna ou área de conformidade e riscos;
VI - tenham implementado Programa de Integridade;
VII - não possuam recomendação ou determinação da Previc não atendida; e
VIII - adotem mecanismos de solução adequada de conflitos, como a mediação e a arbitragem.
§3º A elaboração do programa anual de fiscalização compreende o processo de planejamento das ações institucionais, que relaciona os planos de benefícios e as EFPC selecionadas para serem objeto de procedimento de fiscalização e de monitoramento no exercício subsequente, segundo critérios técnicos previamente definidos.
§4º O relatório anual de execução do programa anual de fiscalização deve ser produzido até o dia 28 de fevereiro e publicado em sítio eletrônico da Previc, após aprovação pela Diretoria Colegiada.
(Nota: parágrafos 3º e 4º incluídos pela Resolução Previc nº 26, de 16.12.2025)
Art. 229. Na atividade de fiscalização das entidades fechadas de previdência complementar serão observados os seguintes princípios:
I - foco no controle dos riscos, de curto, médio e longo prazos, que possam comprometer os objetivos e a segurança econômico-financeira e atuarial das entidades fechadas de previdência complementar, a solvência e liquidez dos planos de benefícios por ela administrados;
II - ênfase na responsabilidade dos conselheiros e dirigentes, para com a governança, gestão e controle das entidades e dos seus planos de benefícios, exigindo-lhes atuação prudente, ética e diligente, observada a presunção de boa-fé;
III - desenvolvimento de ações prioritárias do órgão de supervisão voltada para a orientação dos dirigentes e conselheiros das entidades e para o pronto cumprimento da lei e das normas aplicáveis;
IV - tratamento isonômico, sem prejuízo da consideração das especificidades das entidades fechadas de previdência complementar, tais como seu porte, formas de gestão, modalidades dos planos de benefícios, natureza dos patrocinadores e instituidores, entre outros;
V - preservação e respeito ao ato regular de gestão; e
VI - estímulo à adoção das melhores práticas de governança e à gestão prudencial, bem como ao estabelecimento de controles internos e monitoramento dos riscos pelas entidades fechadas de previdência complementar.
Art. 230. A conduta caracterizada como ato regular de gestão não configura infração à legislação no âmbito do regime de previdência complementar, operado pelas entidades fechadas de previdência complementar.
§ 1º Considera-se ato regular de gestão, nos termos do parágrafo único do art. 22 da Resolução CGPC nº 13, de 2004, aquele praticado por pessoa física:
I - de boa-fé, com capacidade técnica e diligência, em cumprimento aos deveres fiduciários em relação à entidade de previdência complementar e aos participantes e assistidos dos planos de benefícios;
II - dentro de suas atribuições e poderes, sem violação da legislação, do estatuto e do regulamento dos planos de benefícios; e
III - fundado na técnica aplicável, mediante decisão negocial informada e refletida.
III - fundado na técnica aplicável, mediante decisão negocial informada, refletida e desinteressada.
(Nota: inciso III alterado pela Resolução Previc nº 25/2024)
§ 2º Para avaliação do ato regular de gestão, devem ser consideradas as informações e dados disponíveis à época em que a decisão foi tomada ou o ato praticado, competindo à entidade fechada de previdência complementar manter registro dos documentos que fundamentaram a decisão ou o ato.
§3º Não se caracterizará o ato regular de gestão quando demonstrada, a qualquer tempo, a existência de ato ilícito ou de simulação que afastem quaisquer dos requisitos de que trata o §1º.
§4º O presente artigo não se aplica retroativamente aos processos em curso.
(Nota: parágrafo 4º incluído pela Resolução Previc nº 024, DE 21.11.2023)
Art. 231. As rotinas e os procedimentos de fiscalização e de monitoramento relacionados às EFPC e aos planos de benefícios por elas administrados serão realizados de acordo com as diretrizes estabelecidas no Programa Anual de Fiscalização e Monitoramento - PAF e manuais de fiscalização aprovados pela Diretoria Colegiada da Previc, mediante:
I - procedimentos de fiscalização:
a) supervisão permanente;
b) acompanhamento especial;
c) supervisão periódica;
d) ação direta específica - AFDE;
e) diligência;
f) ação fiscal interna - AFI; e
g) outros procedimentos de fiscalização.
II - procedimentos de monitoramento:
a) compliance e qualidade de dados;
b) monitoramento de risco; e
c) prestação de informações.
Art. 232. A supervisão permanente compreende os procedimentos de fiscalização programados e destinados ao acompanhamento contínuo de EFPC que se enquadrem no segmento S1 ou que esteja exposta a riscos graves que possam comprometer o atingimento dos seus objetivos.
Art. 233. O acompanhamento especial compreende os procedimentos de fiscalização destinados ao acompanhamento contínuo de situações específicas devidamente justificadas, que não possam ser atendidas por meio de AFDE, diligência ou AFI.
Art. 233. O acompanhamento especial compreende os procedimentos de fiscalização destinados ao acompanhamento contínuo de situações específicas devidamente justificadas, que não possam ser atendidas por meio de AFDE ou AFI.
(Nota: art. 233 alterado pela Resolução Previc nº 25/2024)
Art. 234. A supervisão periódica compreende os procedimentos de fiscalização programados e destinados ao acompanhamento rotativo das EFPC que se enquadrem no segmento S2.
Art. 235. A AFDE compreende os procedimentos de fiscalização destinados à verificação de situações pontuais decorrentes, em geral, de subsídios fiscais selecionados de acordo com ordem de prioridade e de relevância, mediante decisão motivada do Diretor de Fiscalização.
Art. 236. A diligência compreende os procedimentos de fiscalização programados e destinados ao acompanhamento rotativo das EFPC que se enquadrem nos segmentos S3 e S4.
Art. 237. A AFI compreende o procedimento de fiscalização decorrente de ações fiscais diretas.
Art. 237. A AFI compreende o procedimento de fiscalização decorrente de outras ações fiscais.
(Nota: art. 237 alterado pela Resolução Previc nº 25/2024)
Art. 238. São consideradas como outros procedimentos de fiscalização a análise a o acompanhamento de denúncias, termo de ajustamento de conduta, representações, subsídios fiscais, autos de infração e quaisquer outros expedientes encaminhados pela Diretoria de Fiscalização, pelas Coordenações-Gerais da Difis ou pela Chefia de Escritório de Representação da Previc.
Art. 239. Os procedimentos de supervisão permanente, periódica e de acompanhamento especial poderão se estender por mais de um exercício.
Art. 239. Os procedimentos de Supervisão Permanente, Supervisão Periódica, Diligência e Acompanhamento Especial poderão se estender por mais de um exercício.
(Nota: caput do art. 239 alterado pela Resolução Previc nº 25/2024)
§ 1º No final de cada ciclo dos trabalhos a equipe deverá se reunir com os órgãos estatutários da EFPC para apresentar os resultados obtidos por meio de relatório fiscal.
§ 2º As equipes de supervisão permanente, periódica e de acompanhamento especial, durante suas atividades, poderão executar os procedimentos de AFI ou outros procedimentos de fiscalização ou monitoramento dos planos de benefícios.
§ 1º No final de cada ciclo dos trabalhos a equipe deverá se reunir com os órgãos estatutários da EFPC para apresentar os resultados obtidos por meio de relatório de fiscalização.
§ 2º As equipes de Supervisão Permanente, Supervisão Periódica, Diligência e Acompanhamento Especial, durante suas atividades, poderão executar os procedimentos de AFI ou outros procedimentos de fiscalização ou monitoramento referentes à EFPC objeto da ação fiscal.
(Nota: parágrafos 1º e 2º alterados pela Resolução Previc nº 25/2024)
§ 3º Deverão ser apresentados à Diretoria Colegiada relatórios parciais e anuais sobre o trabalho desenvolvido pela equipe de fiscalização.
Art. 240. Os procedimentos de fiscalização serão iniciados com ofício emitido pela Chefia do Escritório de Representação dirigido ao dirigente máximo da EFPC contendo, no mínimo, o seguinte:
Art. 240. Os procedimentos de fiscalização elencados no art. 231, inciso I, com exceção das alíneas "f" e "g", serão iniciados com ofício emitido pela Chefia do Escritório de Representação da Previc dirigido ao dirigente máximo da EFPC contendo, no mínimo, o seguinte:
(Nota: caput do art. 240 alterado pela Resolução Previc nº 25/2024)
Art. 240. Os procedimentos de fiscalização elencados no art. 231, inciso I, com exceção das alíneas "f" e "g", serão iniciados com ofício emitido pela Coordenação-Geral de Fiscalização Direta e dirigido ao dirigente máximo da EFPC contendo, no mínimo, o seguinte:
(Nota: caput do art. 240 alterado pela Resolução Previc nº 26, de 16.12.2025)
I - designação dos membros da equipe de supervisão;
I - designação dos membros da equipe fiscal;
(Nota: inciso I alterado pela Resolução Previc nº 26, de 16.12.2025)
II - data de início da ação fiscal e prazo previsto para encerramento; e
III - indicação do escopo do procedimento fiscal.
§ 1º A equipe fiscal designada para executar uma AFDE ou diligência deverá encaminhar à sua chefia, por meio de Informação Fiscal, solicitação fundamentada de retirada ou inclusão de escopo no procedimento de fiscalização, cabendo à chefia a decisão final sobre a solicitação de alteração.
§ 1º A equipe fiscal designada para executar uma ação fiscal deverá encaminhar à sua chefia, por meio de Informação Fiscal, solicitação fundamentada de retirada ou inclusão de escopo no procedimento de fiscalização, cabendo à chefia a decisão final sobre a solicitação de alteração.
(Nota: parágrafo 1º alterado pela Resolução Previc nº 25/2024)
§ 2º O acompanhamento da ação fiscal será exercido pelo Escritório de Representação responsável pela equipe de supervisão, reportando ao Diretor de Fiscalização quaisquer dificuldades ou embaraços opostos à ação fiscal.
§ 2º O acompanhamento da ação fiscal será exercido pelo Escritório de Representação da Previc responsável pela equipe de supervisão, reportando ao Diretor de Fiscalização e Monitoramento quaisquer dificuldades ou embaraços opostos à ação fiscal.
(Nota: parágrafo 2º alterado pela Resolução Previc nº 25/2024)
§2º O acompanhamento da ação fiscal será exercido pela Coordenação-Geral de Fiscalização Direta, reportando ao Diretor de Fiscalização e Monitoramento quaisquer dificuldades ou embaraços opostos à ação fiscal.
(Nota: parágrafo 2º alterado pela Resolução Previc nº 26, de 16.12.2025)
§3º Caso seja verificada a impossibilidade de encerrar a ação fiscal no prazo previsto, a equipe de supervisão deverá encaminhar a sua chefia pedido de prorrogação fundamentado, com antecedência mínima de cinco dias úteis do termo fixado para o término dos trabalhos, indicando o novo prazo necessário para a sua conclusão.
§3º Caso seja verificada a impossibilidade de encerrar a ação fiscal no prazo previsto, a equipe fiscal deverá encaminhar a sua chefia pedido de prorrogação fundamentado, com antecedência mínima de cinco dias úteis do termo fixado para o término dos trabalhos, indicando o novo prazo necessário para a sua conclusão.
(Nota: parágrafo 3º alterado pela Resolução Previc nº 26, de 16.12.2025)
§4º A Chefia do Escritório de Representação deverá encaminhar à Coordenação-Geral de Fiscalização Direta - CGFD cópia do ofício de início do procedimento fiscal e suas eventuais alterações posteriores, no prazo de até cinco dias úteis.
(Nota: parágrafo 4º revogado pela Resolução Previc nº 26, de 16.12.2025)
Art. 241. As informações requeridas pela equipe fiscal à EFPC deverão ser realizadas por meio de documento formal denominado Solicitação de Informações e Documentos - SID entregue à EFPC pessoalmente, por via postal ou por via eletrônica.
Parágrafo único. É vedada a solicitação de informações públicas, genéricas, que já estejam de posse da Previc ou que não tenham conexão com o objeto da ação fiscal.
Art. 242. A AFDE será encerrada com a entrega de Relatório de Fiscalização, que deverá apresentar pelo menos uma das conclusões abaixo indicadas:
Art. 242. Os procedimentos de fiscalização elencados no art. 231, inciso I, com exceção das alíneas "f" e "g", serão encerrados com a entrega de Relatório de Fiscalização, que deverá apresentar pelo menos uma das conclusões abaixo indicadas:
(Nota: caput do art. 242 alterado pela Resolução Previc nº 25/2024)
I - não identificação de irregularidades;
II - recomendação;
III - análise transferida para o âmbito de outro procedimento, com indicação do número do processo correspondente;
IV - aplicação do § 2º do art. 22 do Decreto nº 4.942, de 2003, por meio de determinação;
V - requisição de posicionamento;
VI - determinação de procedimentos;
VII - proposta de celebração de Termo de Ajustamento de Conduta; e
VIII - emissão de auto de infração.
VII - Pontos de atenção para acompanhamento das ações fiscais;
VIII - proposta de celebração de Termo de Ajustamento de Conduta; e
(Nota: incisos VII e VIII alterados pela Resolução Previc nº 25/2024)
IX - emissão de auto de infração.
(Nota: inciso IX incluído pela Resolução Previc nº 25/2024)
IX - proposta de lavratura de auto de infração.
(Nota: inciso IX alterado pela Resolução Previc nº 26, de 16.12.2025)
§1º A Coordenação-Geral de Fiscalização Direta e o Diretor de Fiscalização deverão ter conhecimento do teor do Relatório de Fiscalização.
§ 1º A Coordenação-Geral de Fiscalização Direta e o Diretor de Fiscalização e Monitoramento deverão ter conhecimento do teor do Relatório de Fiscalização.
(Nota: parágrafo 1º alterado pela Resolução Previc nº 25/2024)
§ 1º A Coordenação-Geral de Fiscalização Direta e o Diretor de Fiscalização e Monitoramento deverão ter conhecimento prévio do teor do Relatório de Fiscalização.
(Nota: parágrafo 1º alterado pela Resolução Previc nº 26, de 16.12.2025)
§ 2º O Relatório de Fiscalização observará o modelo definido pela Diretoria de Fiscalização.
§ 3º A lavratura de auto de infração decorrente de AFDE deverá ser realizada preferencialmente em conjunto com a emissão do Relatório de Fiscalização.
Art. 243. A determinação deve ser formulada para interromper irregularidade em curso ou remover seus efeitos ou inibir a ocorrência de irregularidade iminente, devendo ainda:
I - conter prazo para cumprimento;
II - indicar a regra legal ou infralegal infringida; e
III - possuir redação objetiva, clara, concisa, precisa e ordenada de maneira lógica.
Art. 244. A recomendação deve ser direcionada para o aprimoramento dos mecanismos de controle interno e da governança da entidade, devendo:
I - se basear em critérios objetivos tais como legislações, boas práticas e técnicas de comparação (benchmark);
II - identificar as causas do problema que se pretende resolver;
III - apresentar relação custo-benefício adequada, considerando especialmente o segmento em que a entidade está enquadrada; e
IV - apresentar oportunidades de melhoria relevantes, indicando o que pode ser feito e o resultado esperado.
III - considerar o princípio da razoabilidade, em especial quanto ao segmento em que a entidade está enquadrada; e
IV - apresentar oportunidades de melhoria, indicando o que pode ser feito e o resultado esperado.
(Nota: incisos III e IV alterados pela Resolução Previc nº 25/2024)
Parágrafo único. É vedada a formulação de recomendação genérica ou que desconsidere o porte e a complexidade da entidade de previdência e dos planos por ela administrados, ou ainda que contenham elevada carga de abstração teórica ou conceitos jurídicos indeterminados.
Art. 245. Na execução da AFI, o acompanhamento dos desdobramentos da ação fiscal será executado, preferencialmente, por membro da equipe fiscal que elaborou o Relatório de Fiscalização.
§ 1º Na conclusão de cada item em sede de AFI também deverá ser utilizado pelo menos uma das conclusões indicadas no art. 242 ou, caso item tenha sido atendido, a conclusão deve utilizar a expressão "assunto encerrado".
§ 2º Após a emissão de Nota de encerramento do Relatório de Fiscalização, a Chefia do Escritório emitirá ofício à EFPC comunicando o encerramento do procedimento de fiscalização, que será encaminhada em seguida à CGFD.
Art. 246. A equipe de fiscalização deverá, sempre que possível, diligenciar no sentido de obter diretamente do investigado esclarecimento sobre os fatos que podem ser a ele imputados.
Art. 246. A equipe de fiscalização deverá, sempre que possível, diligenciar no sentido de obter esclarecimentos diretamente do responsável pelos fatos que podem ser a ele imputados.
(Nota: caput do art. 246 alterado pela Resolução Previc nº 26, de 16.12.2025)
Art. 247. São atividades de compliance e qualidade de dados os procedimentos que visam monitorar de forma sistêmica o cumprimento, por parte das EFPC, de comandos objetivos previstos na legislação, incluindo o envio tempestivo de informações contábeis, atuariais e de investimentos, o enquadramento das carteiras, bem assim o tratamento dos dados captados pelos sistemas da Previc.
Art. 248. O monitoramento de risco compreende a identificação, a medição, controles e o acompanhamento sistêmico dos principais riscos que ameaçam todos os planos de benefícios e todas as EFPC, visando mitigar esses riscos e permitindo à Previc uma melhor alocação de recursos.
Parágrafo único. A atividade de monitoramento de risco utilizará indicadores construídos a partir de dados de investimentos, contábeis e atuariais atualizados e analisados periodicamente, devendo ser disponibilizados de forma centralizada aos Escritórios de Representação e às demais áreas da Previc.
Art. 249. A prestação de informações compreende os procedimentos de elaboração e envio de relatórios contendo informações de monitoramento que possam indicar a existência de práticas irregulares de forma a atender órgãos com poder de requisição ou com os quais a Previc tenha celebrado instrumento de cooperação.
Art. 250. A comunicação de situações irregulares para outros órgãos deve ser efetuada após a aprovação da Diretoria Colegiada da Previc, que poderá, em caso de dúvida jurídica, submeter à análise prévia da Procuradoria Federal junto à Previc.
Seção II
Termo de Ajustamento de Conduta
Art. 251. A celebração de Termo de Ajustamento de Conduta, com vistas à correção de irregularidades e à adequação de condutas à legislação aplicável ao regime de previdência complementar operado por EFPC, deve observar o disposto nesta Seção.
Art. 252. A propositura do Termo de Ajustamento de Conduta é prerrogativa do interessado em corrigir determinada conduta passível de autuação pela Previc e constitui título executivo extrajudicial, nos termos do § 6º do art. 5º da Lei nº 7.347, de 24 de julho de 1985, e do inciso IV do art. 784 do Código de Processo Civil.
Art. 252. O Termo de Ajustamento de Conduta - TAC pode ser proposto de ofício pela Previc ou mediante requerimento do interessado e, uma vez celebrado, constitui título executivo extrajudicial, nos termos do § 6º do art. 5º da Lei nº 7.347, de 24 de julho de 1985, e do inciso IV do art. 784 do Código de Processo Civil.
(Nota: caput do art. 252 alterado pela Resolução Previc nº 26, de 16.12.2025)
§ 1º A celebração do Termo de Ajustamento de Conduta não importa confissão do compromissário quanto à matéria de fato, nem reconhecimento de ilicitude da conduta analisada.
§ 2º O Termo de Ajustamento de Conduta pode ter por objeto mais de uma conduta passível de correção.
§ 3º A celebração do Termo de Ajustamento de Conduta não obsta a lavratura de auto de infração pela prática de condutas não abrangidas no referido termo.
Art. 253. Além da EFPC, podem figurar como compromissários do Termo de Ajustamento de Conduta:
I - membros de diretoria-executiva, conselho fiscal ou conselho deliberativo da EFPC e outros agentes sujeitos ao regime disciplinar;
II - administradores dos patrocinadores ou instituidores; ou
III - interventor, liquidante e administrador especial.
§ 1º A EFPC deve figurar como interveniente anuente no Termo de Ajustamento de Conduta, quando não for compromissária.
§ 2º A celebração do compromisso de ajustamento de conduta com a Previc não afasta a eventual responsabilidade administrativa perante outros órgãos da administração pública ou penal pelo mesmo fato, nem importa reconhecimento de responsabilidade para outros fins que não os estabelecidos expressamente no compromisso.
Art. 254. O Termo de Ajustamento de Conduta somente pode ser celebrado quando:
I - não tiver havido prejuízo financeiro à EFPC ou a plano de benefícios por ela administrado, salvo se a proposta abranger o ressarcimento integral desse prejuízo;
II - for possível corrigir a irregularidade, ou seus efeitos, mediante a adequação de determinadas práticas à legislação em vigor; e
III - não ter havido, nos últimos cinco anos, o descumprimento de outro Termo de Ajustamento de Conduta firmado pelo mesmo compromissário.
Art. 255. O interessado pode manifestar sua intenção de celebrar o Termo de Ajustamento de Conduta até a decisão de primeira instância do julgamento do auto de infração.
§ 1º A proposta deve ser apresentada pelo interessado à unidade regional ou à Diretoria de Fiscalização.
§ 2º A proposta será submetida a comitê composto por três servidores indicados pela Diretoria de Fiscalização, pela Diretoria de Licenciamento e pela Diretoria de Normas.
§ 3º Poderá integrar ainda o comitê, sem direito a voto, representante da Procuradoria Federal junto à Previc.
§ 1º O pedido de celebração de TAC apresentado pelo interessado deve ser protocolado eletronicamente na Previc e dirigido à Diretoria de Fiscalização e Monitoramento, que decidirá acerca do seu cabimento e, em juízo preliminar, quanto a sua conveniência e oportunidade.
§ 2º Em caso positivo, o pedido será submetido ao Comitê composto por três servidores indicados pela Diretoria de Fiscalização e Monitoramento, pela Diretoria de Licenciamento e pela Diretoria de Normas.
§ 3º Em caso negativo, a Diretoria de Fiscalização e Monitoramento comunicará ao interessado o indeferimento do pedido de TAC.
§ 4º Os membros do comitê e seus substitutos serão designados por Portaria do Diretor Superintendente.
§ 5º A Coordenação-Geral de suporte à Diretoria Colegiada prestará apoio para as atividades do comitê de que trata este artigo.
§ 1º A proposta de Termo de Ajustamento de Conduta deve ser apresentada pelo interessado, protocolada eletronicamente na Previc e dirigida à Diretoria de Fiscalização e Monitoramento, que decidirá ou não pelo seu cabimento, conveniência e oportunidade.
§ 2º Em caso positivo, a proposta será submetida a comitê composto por três servidores indicados pela Diretoria de Fiscalização e Monitoramento, pela Diretoria de Licenciamento e pela Diretoria de Normas.
§ 3º Em caso negativo, a Diretoria de Fiscalização e Monitoramento comunicará ao interessado o indeferimento da proposta de Termo de Ajustamento de Conduta.
(Nota: parágrafos 1º ao 3 º alterados pela Resolução Previc nº 25/2024)
§ 1º O pedido de celebração de TAC apresentado pelo interessado deve ser protocolado eletronicamente na Previc e dirigido à Diretoria de Fiscalização e Monitoramento, que decidirá acerca do seu cabimento e, em juízo preliminar, quanto a sua conveniência e oportunidade.
§ 2º Em caso positivo, o pedido será submetido ao Comitê composto por três servidores indicados pela Diretoria de Fiscalização e Monitoramento, pela Diretoria de Licenciamento e pela Diretoria de Normas.
§ 3º Em caso negativo, a Diretoria de Fiscalização e Monitoramento comunicará ao interessado o indeferimento do pedido de TAC.
(Nota: parágrafos 1º, 2º e 3º alterados pela Resolução Previc nº 26, de 16.12.2025)
§ 4º Poderá integrar ainda o comitê, sem direito a voto, representante da Procuradoria Federal junto à Previc.
§ 5º Os membros do comitê e seus substitutos serão designados por Portaria do Diretor-Superintendente.
(Nota: parágrafos 4º e 5º alterados pela Resolução Previc nº 25/2024)
§ 6º A Coordenação-Geral de Suporte à Diretoria Colegiada prestará apoio para as atividades do comitê de que trata este artigo.
(Nota: parágrafo 6º incluído pela Resolução Previc nº 25/2024)
Art. 256. O comitê poderá, antes da elaboração do seu parecer, negociar com o proponente as condições da proposta que lhe pareçam mais adequadas.
§ 1º A negociação entre o comitê e o proponente deverá ser concluída no prazo máximo de 60 (sessenta) dias, sendo facultado ao proponente, ao término das negociações, aditar os termos de sua proposta inicial, no prazo assinalado pelo comitê.
§ 2º Na hipótese do § 1º, o prazo para elaboração de parecer pelo comitê será contado da data em que concluída a negociação ou apresentado o aditamento à proposta inicial, conforme o caso.
Art. 256. Compete ao Comitê a análise técnica do pedido formulado, bem como a negociação dos termos do TAC, indicando as condições para sua formalização.
§ 1º A negociação entre o Comitê e o proponente deverá ser concluída no prazo máximo de sessenta dias.
§ 2º Concluídas as negociações, no prazo de quinze dias, o Comitê elaborará a minuta do TAC e emitirá parecer sobre a viabilidade técnica, operacional e financeira do ajuste.
(Nota: caput do art. 256 e parágrafos 1º e 2º alterados pela Resolução Previc nº 26, de 16.12.2025)
§ 3º Finalizado o parecer de que trata o § 2º, a proposta será submetida à Procuradoria Federal para análise dos aspectos relacionados à juridicidade.
Art. 257. A proposta de celebração de TAC, acompanhada de parecer do comitê e da Procuradoria Federal, será submetida à deliberação da Diretoria Colegiada, para decisão discricionária final, por maioria simples.
§ 1º Após a autorização pelo Procurador-Chefe, o TAC deve ser firmado pelo compromissário, pelo Diretor-Superintendente e eventual interveniente-anuente.
§ 2º O extrato do TAC deve ser publicado no Diário Oficial da União.
§ 3º O controle e o acompanhamento da execução do TAC devem ser efetuados pela unidade regional.
§ 3º O controle e o acompanhamento da execução do TAC devem ser efetuados pela Coordenação-Geral de Fiscalização Direta.
(Nota: parágrafo 3º alterado pela Resolução Previc nº 26, de 16.12.2025)
Art. 258. Na avaliação de conveniência e oportunidade deve ser verificado se a proposta de Termo de Ajustamento de Conduta é o meio adequado e próprio para alcançar de forma eficaz e eficiente o interesse público, ponderando-se, no mínimo, os seguintes fatores:
I - a proporcionalidade da proposta em relação à gravidade da conduta em análise;
II - a existência de motivos que recomendem o ajustamento de determinada prática reputada irregular; e
III - a capacidade de desestimular a prática de novas condutas semelhantes pelo próprio compromissário e por terceiros que se encontrem em situação análoga.
Art. 259. Devem constar do Termo de Ajustamento de Conduta, no mínimo, os seguintes elementos:
I - a descrição detalhada dos fatos ou das condutas que motivaram a sua proposição;
II - a proposta detalhada para a correção das práticas apontadas, especificando as obrigações de pagar, de fazer ou de não fazer a serem assumidas, inclusive forma de ressarcimento integral do prejuízo financeiro, se for o caso, podendo estabelecer ações de educação previdenciária;
III - o cronograma de execução e de implementação das medidas propostas, com metas a serem atingidas;
IV - a suspensão, no âmbito da Previc, dos procedimentos ou processos administrativos que tiverem sido iniciados relacionados à conduta;
V - a penalidade a ser aplicada pelo descumprimento total ou parcial do Termo de Ajustamento de Conduta;
VI - o prazo de vigência;
VII - a qualificação e assinatura das partes;
VIII - a previsão da responsabilidade dos sucessores pelo cumprimento do Termo de Ajustamento de Conduta; e
IX - o foro competente para dirimir eventuais litígios entre as partes.
Art. 260. A EFPC deve disponibilizar, em local de fácil acesso em seu sítio eletrônico na internet, informações relativas à celebração do Termo de Ajustamento de Conduta.
Art. 261. O procedimento ou processo administrativo em curso que tiver por objeto apurar a conduta abrangida pelo Termo de Ajustamento de Conduta deve ser suspenso durante a sua vigência.
Art. 261. Com a admissão do pedido de TAC pela Diretoria de Fiscalização e Monitoramento, os processos administrativos que tenham por objeto condutas admitidas no juízo preliminar serão suspensos até o fim da vigência do ajuste.
(Nota: caput do art. 261 alterado pela Resolução Previc nº 26, de 16.12.2025)
§ 1º A suspensão do procedimento ou processo administrativo deve ocorrer somente em relação aos compromissários.
§ 2º A celebração do Termo de Ajustamento de Conduta interrompe a prescrição administrativa na data de sua assinatura, nos termos do inciso IV do art. 2º da Lei nº 9.873, de 23 de novembro de 1999.
§ 2º O pedido de celebração de TAC constitui manifestação expressa de tentativa de solução conciliatória e interrompe o prazo de prescrição da pretensão punitiva, nos termos do inciso IV do art. 2º da Lei nº 9.873, de 23 de novembro de 1999.
(Nota: parágrafo 2º alterado pela Resolução Previc nº 26, de 16.12.2025)
Art. 262. O compromissário deve enviar, na periodicidade estipulada no Termo de Ajustamento de Conduta, relatório circunstanciado à Previc sobre as providências adotadas.
Art. 263. A penalidade pecuniária pelo descumprimento total ou parcial do Termo de Ajustamento de Conduta, sem prejuízo do integral ressarcimento de eventuais prejuízos financeiros decorrentes da conduta sob ajustamento, pode variar, por compromissário, entre R$ 60.000,00 (sessenta mil reais) e R$ 5.000.000,00 (cinco milhões de reais), conforme a gravidade da conduta, o número de indivíduos atingidos ou passíveis de serem atingidos, o porte da EFPC e os valores envolvidos na ocorrência.
§ 1º A penalidade pecuniária a que se refere o caput não exclui a possibilidade de serem previstas no Termo de Ajustamento de Conduta, isolada ou cumulativamente, outras obrigações de pagar, de fazer ou de não fazer.
§ 2º Os valores previstos no caput devem ser reajustados anualmente pelo Índice Nacional de Preços ao Consumidor, apurado pela Fundação Instituto Brasileiro de Geografia e Estatística, ou por índice que vier a substituí-lo.
(Nota: sobre o parágrafo 2º, vide Portaria Previc nº 1.185, de 2025 )
§ 3º Os valores previstos no caput são devidos por cada compromissário do Termo de Ajustamento de Conduta.
Art. 264. A decisão sobre o cumprimento ou descumprimento do Termo de Ajustamento de Conduta é de competência da Diretoria Colegiada da Previc.
§ 1º A unidade regional responsável pelo controle e acompanhamento da execução do Termo de Ajustamento de Conduta, quando constatar descumprimento dos compromissos assumidos, deve submeter manifestação à Diretoria Colegiada da Previc.
§ 2º A unidade regional responsável pelo controle e acompanhamento da execução do Termo de Ajustamento de Conduta deve analisar o cumprimento dos compromissos assumidos, submetendo manifestação à Diretoria Colegiada da Previc.
§ 1º A unidade responsável pelo controle e acompanhamento da execução do TAC, quando constatar descumprimento dos compromissos assumidos, deve submeter manifestação à Diretoria Colegiada da Previc.
§ 2º A unidade responsável pelo controle e acompanhamento da execução do TAC deve analisar o cumprimento dos compromissos assumidos, submetendo manifestação à Diretoria Colegiada da Previc.
(Nota: parágrafos 1º e 2º alterados pela Resolução Previc nº 26, de 16.12.2025)
§ 3º Cabe pedido de reconsideração da decisão da Diretoria Colegiada da Previc, no prazo de quinze dias a contar da data da notificação do compromissário, com efeito suspensivo.
Art. 265. Os compromissários devem ser notificados do cumprimento ou descumprimento do Termo de Ajustamento de Conduta:
I - preferencialmente por meio eletrônico, na forma do Decreto nº 8.539, de 8 de outubro de 2015;
II - por via postal, comprovando-se sua entrega pelo aviso de recebimento ou documento similar com mesma finalidade, emitido pelo serviço postal;
III - mediante ciência do autuado ou do seu procurador, efetivada por servidor designado, ou, no caso de recusa daquele, de aposição de assinatura desse em declaração expressa; ou
IV - por edital, publicado uma única vez no Diário Oficial da União, se frustradas as tentativas de notificação previstas nos incisos I, II e III, ou pela constatação de estar o compromissário em lugar inacessível, incerto ou ignorado, devendo constar do edital o termo inicial para contagem do prazo para apresentação do pedido de reconsideração.
Parágrafo único. O compromissário deve manter atualizado seu endereço completo junto à Previc.
Art. 266. A penalidade pecuniária prevista no art. 263 deve ser recolhida conforme o que for disposto no Termo de Ajustamento de Conduta, no prazo máximo de quinze dias contados da notificação da decisão definitiva.
§ 1º Se recolhida fora do prazo, o valor da penalidade pecuniária deve ser corrigido pela taxa referencial do Sistema Especial de Liquidação e Custódia, acumulada mensalmente, calculada a partir do primeiro dia do mês subsequente ao do vencimento do prazo, até o mês anterior ao do pagamento, acrescido de juros de mora de um por cento ao mês.
§ 2º Quando não recolhida até a data de seu vencimento, a Previc deve promover a cobrança judicial da penalidade, sem prejuízo da execução das demais obrigações assumidas no Termo de Ajustamento de Conduta.
Art. 267. As condições previstas no Termo de Ajustamento de Conduta podem ser alteradas por meio de termo aditivo, mediante solicitação fundamentada da EFPC ou do compromissário.
Seção III
Procedimentos Relacionados à Administração Especial, Intervenção e Liquidação
Art. 268. O administrador especial, interventor ou liquidante deverá elaborar Relatório Mensal de Informações, na forma da presente Seção.
Art. 268-A. Serão requisitos mínimos a serem observados para a nomeação de Administrador Especial, Interventor ou Liquidante:
I - ter comprovada experiência de, no mínimo, três anos no exercício de atividades nas áreas financeira, administrativa, contábil, jurídica, de fiscalização, de atuária, de previdência complementar ou de auditoria;
II - não ter sofrido penalidade administrativa por infração à legislação da seguridade nos últimos cinco anos;
III - não ter sofrido condenação criminal transitada em julgado nos últimos cinco anos;
IV - não constar da relação de devedores da Fazenda Nacional;
V - não participar da gerência ou administração de empresa privada ou de sociedade civil, bem como não exercer o comércio;
VI - ter formação de nível superior; e
VII - ter reputação ilibada.
(Nota: art. 268-A incluído pela Resolução Previc nº 26, de 16.12.2025)
Art. 268-B. O Interventor deverá encaminhar para a Coordenação-Geral de Regimes Especiais - CGRE, com antecedência mínima de trinta dias, contados da data prevista para o encerramento do Regime Especial, um plano de recuperação da entidade ou do plano de benefícios, para deliberação da Diretoria Colegiada da Previc.
(Nota: art. 268-B incluído pela Resolução Previc nº 26, de 16.12.2025)
Art. 268-C. Ao final dos trabalhos do Interventor designado pela Previc, será indicada uma Governança Provisória, respeitando a estrutura organizacional mínima do art. 5º desta Resolução, com mandato de seis meses, com a atribuição principal de implementar o Plano de Recuperação da Entidade e de conduzir o processo ordinário de definição da estrutura de governança definitiva.
Parágrafo único. A indicação dos membros que comporão a Governança Provisória deverá observar a representação dos participantes e assistidos da EPFC.
(Nota: art. 268-C incluído pela Resolução Previc nº 26, de 16.12.2025)
Art. 268-D. Após o encerramento do Regime Especial de Intervenção, a EFPC será incluída no programa anual de fiscalização e submetida ao processo de fiscalização de Acompanhamento Especial.
(Nota: art. 268-D incluído pela Resolução Previc nº 26, de 16.12.2025)
Art. 269. Deverão constar do relatório de que trata o art. 268 as informações a seguir especificadas:
I - o resumo das atividades desenvolvidas no mês;
II - as medidas que vêm sendo adotadas para encerrar o regime especial;
III - o prazo estimado para o encerramento do regime especial;
IV - detalhamento das medidas que vêm sendo adotadas para redução das despesas administrativas, com os esclarecimentos adicionais porventura necessários;
V - ações judiciais, discriminadas por plano de benefícios, quando couber, com a descrição sucinta das ações ou grupo de ações judiciais mais relevantes, contendo, no mínimo, o número do processo, o nome da parte adversa, o valor da causa, a indicação do juízo onde tramita, o objeto da ação, a fase atual do processo e as decisões proferidas;
VI - a movimentação financeira;
VII - as informações sobre os Quadro Geral de Credores; e
VIII - considerações gerais julgadas pertinentes.
Art. 270. O Relatório Mensal de Informações deverá ser enviado à Previc, pelo administrador especial, interventor ou liquidante, até o último dia útil do mês subsequente ao mês a que se refere.
Art. 271. A entidade em liquidação extrajudicial deve divulgar mensalmente, em sítio na rede mundial dos computadores, as informações relativas ao regime especial.
Art. 272. Os limites para a remuneração e a indenização de despesas referentes à hospedagem, alimentação e deslocamento dos administradores especiais, interventores e liquidantes nomeados pela Previc será fixado em Portaria do Diretor Superintendente.
Art. 272. Os limites para a remuneração e a indenização de despesas referentes à hospedagem, alimentação e deslocamento, bem como as questões operacionais relativas à posse dos administradores especiais, interventores e liquidantes nomeados pela Previc serão fixados em Portaria do Diretor-Superintendente.
(Nota: art. 272 alterado pela Resolução Previc nº 26, de 16.12.2025)
CAPÍTULO VIII
DAS CONSULTAS SUBMETIDAS À PREVIC
Seção I
Consulta e seu Objeto
Art. 273. Este Capítulo dispõe sobre as consultas submetidas à Previc pelas EFPC.
Parágrafo único. Para os fins do disposto nesta Resolução, entende-se por consulta o requerimento que tenha por objeto a elucidação de dúvida relativa à aplicação, em caso concreto, das normas que disciplinam o regime de previdência complementar fechado.
Art. 274. A entidade fechada de previdência complementar deve encaminhar o requerimento para análise da diretoria competente, de acordo com a matéria objeto da consulta, observadas as seguintes competências:
I - Diretoria de Licenciamento:
a) constituição de entidades fechadas de previdência complementar;
b) aplicação ou alteração de estatuto;
c) habilitação ou certificação de dirigentes;
d) aplicação ou alteração de regulamento;
e) aplicação ou alteração de convênio de adesão;
f) saldamento de plano de benefícios;
g) transferência de gerenciamento de plano de benefícios;
h) fusão, cisão e incorporação de planos de benefícios e de entidades fechadas de previdência complementar;
i) migração de participantes e assistidos;
j) operações estruturais relacionadas;
k) retirada de patrocínio;
l) rescisão unilateral de convênio de adesão;
l) rescisão de convênio de adesão por iniciativa da EFPC
(Nota: alínea l) alterada pela Resolução Previc nº 25/2024)
m) destinação de reserva especial que envolva reversão de valores;
n) encerramento de plano de benefícios e de entidades fechadas de previdência complementar;
o) certificação de modelo de regulamento de plano de benefícios e de convênio de adesão;
p) reconhecimento de instituição certificadora e de seus certificados; e
q) outros assuntos relativos a requerimentos de licenciamento.
II - Diretoria de Normas:
a) plano de custeio, equacionamento de déficit, destinação de reserva especial que não envolva reversão de valores ou constituição de provisões ou fundos;
b) demonstrações atuariais, contábeis ou de investimentos;
c) aplicações dos recursos garantidores; e
d) outros assuntos relativos a matérias atinentes ao regime de previdência complementar fechado.
Seção II
Instrução da Consulta
Art. 275. A formulação da consulta pela entidade fechada de previdência complementar deve conter:
I - identificação da entidade fechada de previdência complementar ou do plano de benefícios objeto da consulta;
II - indicação do objeto da consulta, dentre as matérias relacionadas no art. 274, bem como a indicação dos dispositivos legais e normativos pertinentes;
III - formulação do questionamento de forma clara e precisa, expresso sob a forma de quesitos, com indicação objetiva dos procedimentos, conceitos ou dispositivos normativos sobre os quais há dúvida; e
IV - entendimento da entidade fechada de previdência complementar sobre a matéria.
Parágrafo único. A consulta deve ser instruída com todas as informações e documentos necessários à completa compreensão da matéria.
Art. 276. Não se conhece a consulta:
I - sem a observância do disposto no art. 275;
II - que tenha sido objeto de manifestação específica anterior por parte da Previc ou do Ministério da Previdência Social, proferida em procedimento administrativo no qual tenha tomado parte a entidade fechada de previdência complementar;
III - que tenha sido ou venha a ser, no decurso do processo de sua análise, objeto de manifestação tornada pública por parte da Previc;
IV - relativa a ato de gestão de responsabilidade da entidade fechada de previdência complementar;
V - que caracterize pleito de autorização para execução de procedimento pela entidade fechada de previdência complementar em relação ao qual a legislação não exija prévia autorização pela Previc;
VI - que verse sobre a constitucionalidade de lei ou outro ato normativo;
VII - cujo objeto venha a ser disciplinado por ato normativo editado depois de sua formulação, hipótese em que, se a entidade fechada de previdência complementar entender necessário, poderá encaminhar nova consulta;
VIII - que trate de fato objeto de processo administrativo pendente de decisão definitiva no âmbito da Previc, do qual a entidade fechada de previdência complementar seja parte;
IX - formulada sobre direito em tese, com referência a fato genérico; ou
X - com a identificação dos emissores dos ativos, no caso de consulta relativa a investimentos.
§ 1º A entidade fechada de previdência complementar pode ser intimada a apresentar informações ou documentos adicionais necessários à apreciação da consulta.
§ 2º Caso a intimação a que se refere o § 1º não seja atendida no prazo de quinze dias, a consulta não deve ser conhecida pela Previc.
Art. 277. A entidade fechada de previdência complementar pode solicitar reconsideração da decisão pelo não conhecimento da consulta, no prazo de quinze dias a partir da sua ciência.
Parágrafo único. A Previc deve analisar o pedido de reconsideração, em caráter definitivo, no prazo de trinta dias, prorrogável por igual período, desde que devidamente motivado.
Art. 278. A veracidade das informações e a autenticidade dos documentos apresentados na consulta constitui responsabilidade da entidade fechada de previdência complementar, podendo a Previc exigir as suas comprovações a qualquer tempo.
Art. 279. A consulta pode ser levada ao conhecimento de terceiros com evidências de interesse em seu objeto, os quais têm quinze dias, a partir da sua ciência, para se manifestarem por escrito, podendo juntar documentos, mediante cientificação da EFPC interessada.
Art. 280. As informações constantes na consulta que não sejam relacionadas ao seu objeto devem ser desconsideradas.
Seção III
Análise e Resposta da Consulta
Art. 281. A consulta deve ser analisada e respondida pela Previc no prazo de trinta dias, contados da data de disponibilização pela entidade fechada de previdência complementar de todas as informações e documentos necessários, prorrogáveis por igual período, mediante motivação.
§ 1º A área técnica responsável pela resposta pode submeter consulta interna às demais áreas da Previc, a fim de subsidiar sua análise, suspendendo-se o prazo de resposta por até 30 dias, prorrogáveis.
§ 2º A entidade fechada de previdência complementar pode juntar informações e documentos adicionais, enquanto não respondida a consulta, prorrogando-se o prazo de resposta por trinta dias, contados da data de protocolo do último documento juntado.
Art. 282. A entidade fechada de previdência complementar pode solicitar reanálise da resposta fornecida, desde que devidamente fundamentada com novos fatos, argumentos ou documentos.
Parágrafo único. Aplica-se ao pedido de reanálise da consulta o mesmo prazo para análise previsto no caput do art. 281.
Art. 283. Os entendimentos fixados na resposta aplicam-se exclusivamente à consulta apresentada pela entidade fechada de previdência complementar, com base nos documentos e informações disponibilizados.
§ 1º A resposta à consulta não deve ser considerada, em qualquer hipótese, como autorização prévia da Previc para atos de gestão da entidade fechada de previdência complementar.
§ 2º Caso sejam adicionados novos fatos materiais pela entidade fechada de previdência complementar, o entendimento fixado na resposta à consulta formulada pode ser diverso.
Seção IV
Outras Disposições
Art. 284. A realização de consulta não suspende nem interrompe eventuais prazos em curso para o exercício de direito ou cumprimento de obrigação, nem outro de qualquer natureza a que esteja sujeita a entidade fechada de previdência complementar.
Art. 285. As ementas do resultado de consultas a que se refere esta Resolução podem ser inseridas em ementário, a ser divulgado no sítio eletrônico da Previc.
Art. 286. A conclusão da consulta poderá constituir súmula administrativa, quando aprovada pela Diretoria Colegiada da Previc, vinculando todos os seus servidores, nos termos do art. 30 do Decreto-Lei nº 4.657, de 1942.
Art. 287. Todas as comunicações da Previc para a entidade fechada de previdência complementar decorrentes da análise da consulta devem ser realizadas via correio eletrônico, com base nos dados cadastrados no Sistema de Cadastro de Entidades e Planos, ou por meio do Sistema Eletrônico de Informações.
Parágrafo único. À entidade fechada de previdência complementar é garantido o acesso, por meio digital, a todos os documentos e informações, inclusive pareceres e manifestações que integram o processo de consulta.
CAPÍTULO IX
DOS PROCEDIMENTOS RELATIVOS AO RECOLHIMENTO DA TAXA DE FISCALIZAÇÃO E CONTROLE DA PREVIDÊNCIA COMPLEMENTAR - TAFIC
Seção I
Disposições Gerais
Art. 288. O fato gerador da Taxa de Fiscalização e Controle da Previdência Complementar é o exercício do poder de polícia legalmente atribuído à Previc, na forma do art. 2º da Lei nº 12.154, de 23 de dezembro de 2009.
Art. 289. A base de cálculo da Taxa de Fiscalização e Controle da Previdência Complementar é o valor dos recursos garantidores, conforme apresentado nos balancetes contábeis referentes aos meses de setembro, março e junho de cada ano, observando o respectivo enquadramento constante do Anexo IV desta Resolução, de cada plano de benefícios de caráter previdencial administrado pela EFPC.
§ 1º Consideram-se recursos garantidores dos planos de benefícios administrados por EFPC os ativos disponíveis e de investimentos, deduzidos de suas correspondentes exigibilidades.
§ 2º Os planos de benefícios autorizados e que não estiverem em funcionamento nas datas referidas no caput devem ser enquadrados na primeira faixa da tabela anexa a esta Resolução.
§ 3º Os recursos garantidores dos planos de benefícios assistenciais com registro na Agência Nacional de Saúde Suplementar não integram a base de cálculo da Taxa de Fiscalização e Controle da Previdência Complementar.
Art. 290. São contribuintes as EFPC, constituídas na forma da legislação e autorizadas a administrar plano de benefícios.
Art. 291. A Taxa de Fiscalização e Controle da Previdência Complementar deve ser recolhida quadrimestralmente, em valores expressos em reais, até o dia 10 dos meses de janeiro, maio e setembro de cada ano.
Art. 292. A Taxa de Fiscalização e Controle da Previdência Complementar recolhida em valor inferior ou em desacordo com a forma e os prazos previstos nesta Seção sujeita a EFPC a:
I - juros de mora:
a) calculados à taxa referencial do Sistema Especial de Liquidação e de Custódia aplicada aos títulos públicos federais, a partir do primeiro dia do mês subsequente ao vencimento do prazo até o mês anterior ao do pagamento; e
b) de um por cento no mês do pagamento.
II - multa de mora, calculada à taxa de trinta e três centésimos por cento, por dia de atraso.
§ 1º A multa de mora de que trata o inciso II do caput deve ser calculada a partir do primeiro dia subsequente ao do vencimento do prazo previsto para o pagamento da Taxa de Fiscalização e Controle da Previdência Complementar até o dia em que ocorrer o seu pagamento.
§ 2º O percentual a ser aplicado na multa de mora de que trata o inciso II do caput fica limitado a vinte por cento.
Art. 293. A Taxa de Fiscalização e Controle da Previdência Complementar deve ser recolhida sob o código 10070-6, em conta vinculada à Previc, mediante emissão de Guia de Recolhimento da União para cada plano de benefícios, observando-se o seguinte:
I - o recolhimento de valores iguais ou superiores a R$ 50,00 (cinquenta reais) deve ser realizado por meio da emissão da Guia de Recolhimento da União-Cobrança, pagável na rede bancária integrante da rede arrecadadora de receitas federais; e
II - o recolhimento de valores inferiores a R$ 50,00 (cinquenta reais), deve ser realizado por meio da Guia de Recolhimento da União-Simples, pagável somente no Banco do Brasil.
Art. 294. A Taxa de Fiscalização e Controle da Previdência Complementar, nos casos de transferência de gerenciamento, de cisão, de incorporação e de fusão de planos de benefícios, deve ser recolhida pelas EFPC envolvidas nessas operações, observada a proporção do tempo em que os recursos garantidores foram por elas administrados durante o quadrimestre em que ocorrer a data efetiva da operação, definida pela legislação aplicável.
Seção II
Multa Aplicável no Regime Disciplinar
Art. 295. O recolhimento da multa prevista no regime disciplinar aplicável ao autuado deve observar o disposto nesta Seção.
Art. 296. O recolhimento da multa deve ser efetuado por Guia de Recolhimento da União-Cobrança, que pode ser impressa mediante acesso à internet.
§ 1º O recolhimento deve ser efetuado mediante utilização de Guia de Recolhimento da União-Cobrança, quando se tratar de débito inscrito em Dívida Ativa da União.
§ 2º As instruções necessárias ao preenchimento da Guia de Recolhimento da União devem ser encaminhadas ao autuado juntamente com a notificação administrativa de cobrança de multa expedida pela Previc.
Art. 297. O autuado fica obrigado a encaminhar à Previc o comprovante de pagamento da penalidade recebida, devidamente autenticado e sem rasuras, a fim de que se proceda o encerramento do procedimento administrativo de cobrança.
Art. 298. O processo administrativo deve ser repassado à gestão da Procuradoria Federal junto à Previc para a realização da cobrança, em caso de vencimento do prazo estabelecido na notificação administrativa para o recolhimento da multa.
Art. 299. O não cumprimento da obrigação ou o recolhimento da multa referida no art. 295 em valor inferior ou em desacordo com a forma e os prazos previstos nesta Seção sujeita o autuado aos acréscimos previstos nos Incisos I e II do art. 292.
§ 1º Os juros de mora relativos a multas previstas no regime disciplinar aplicável às EFPC que, em razão de recurso, tenham sido confirmadas pela instância superior, contam-se do primeiro dia do mês subsequente ao do vencimento, previsto na intimação da decisão de primeira instância.
§ 2º A multa de mora deve ser calculada a partir do primeiro dia subsequente ao do vencimento do prazo previsto para o pagamento da multa referida no art. 296 até o dia em que ocorrer o seu pagamento.
§ 3º O percentual a ser aplicado na multa de mora fica limitado a vinte por cento.
Seção III
Restituição e Compensação de Quantias Recolhidas a Título de Taxa de Fiscalização e Controle da Previdência Complementar e de Penalidade de Multa Prevista no Regime Disciplinar
Art. 300. As quantias recolhidas a título de Taxa de Fiscalização e Controle da Previdência Complementar podem ser objeto de restituição ou de compensação, nas seguintes hipóteses:
I - cobrança ou pagamento espontâneo, indevido ou em valor maior que o devido; ou
II - erro na identificação do sujeito passivo, no cálculo do montante do débito ou na elaboração ou conferência de qualquer documento relativo ao pagamento.
§ 1º Nas hipóteses mencionadas no caput, a restituição deve contemplar as quantias recolhidas em razão dos acréscimos referidos no art. 292.
§ 2º A compensação somente pode ser realizada entre créditos tributários da Taxa de Fiscalização e Controle da Previdência Complementar, não sendo admitida a compensação de crédito tributário com crédito não-tributário, nem a compensação entre créditos não-tributários.
Art. 301. As quantias recolhidas a título de outras receitas arrecadadas podem ser objeto de restituição nas seguintes hipóteses:
I - cobrança ou pagamento espontâneo, indevido ou em valor maior que o devido;
II - erro na identificação do sujeito passivo, no cálculo do montante do débito ou na elaboração ou conferência de qualquer documento relativo ao pagamento; ou
III - reforma, anulação, revogação ou rescisão de decisão condenatória.
Parágrafo único. Nas hipóteses mencionadas no caput, a restituição pode contemplar as quantias recolhidas em razão dos acréscimos referidos no art. 299.
Art. 302. Os requerimentos de restituição ou de compensação de crédito tributário e de restituição de crédito não tributário devem indicar o plano de benefícios ao qual o valor correspondente deve ser restituído ou compensado.
Art. 303. O crédito tributário passível de restituição ou de compensação deve ser restituído ou compensado com os acréscimos de:
I - juros equivalentes à taxa referencial do Sistema Especial de Liquidação e Custódia, acumulados mensalmente, calculados a partir do mês subsequente ao do pagamento indevido da Tafic ou a maior que o devido, até o mês anterior ao da efetivação da restituição ou da compensação; e
II - um por cento, no mês da efetivação da restituição ou da compensação.
Parágrafo único. O disposto no caput aplica-se ao crédito não tributário passível de restituição.
Art. 304. A restituição é realizada exclusivamente mediante crédito em conta corrente, devendo o requerente, no momento da solicitação, indicar o banco, a agência e o número da conta bancária de sua titularidade em que pretende seja efetuado o crédito.
Art. 305. Antes de proceder à restituição de créditos tributários, a Previc deve verificar a existência de débitos de mesma natureza em nome do requerente.
Parágrafo único. A Previc, verificada a existência dos débitos referidos no caput, deve realizar a sua compensação total com o crédito a ser restituído.
Art. 306. O direito de pleitear a restituição ou a compensação de créditos tributários ou de créditos não tributários extingue-se após cinco anos, contados:
I - nas hipóteses do art. 300 e dos incisos I e II do art. 301, da data da extinção do crédito tributário; e
II - nas hipóteses do inciso III do art. 301, da data em que se tornar definitiva a decisão administrativa ou transitar em julgado a decisão judicial que tenha reformado, anulado, revogado ou rescindido a decisão condenatória.
Art. 307. Prescreve em dois anos a ação anulatória da decisão administrativa que denegar a restituição.
Parágrafo único. O prazo de prescrição referido no caput é interrompido pelo início da ação judicial, recomeçando o seu curso, por metade, a partir da data da intimação validamente feita ao representante judicial da Previc.
Seção IV
Processo Administrativo-Fiscal de Lançamento de Crédito
Art. 308. O processo administrativo-fiscal de lançamento da Taxa de Fiscalização e Controle da Previdência Complementar e da multa prevista no regime disciplinar aplicável ao autuado deve ser iniciado com a emissão da Notificação de Lançamento de Crédito pela Previc.
§ 1º O lançamento a que se refere o caput deve ser realizado em relação:
I - à EFPC, considerando o plano de benefícios por ela administrado como inadimplente; ou
II - ao autuado.
§ 2º Devem ser lavradas Notificações de Lançamento de Crédito específicas para cada plano de benefícios ou autuado inadimplente.
Art. 309. Durante a vigência de medida judicial que determine a suspensão da exigibilidade do crédito tributário ou do crédito não tributário, a autoridade competente deve expedir Notificação de Lançamento de Crédito ao sujeito passivo favorecido pela decisão, a fim de evitar a consumação do prazo decadencial.
Parágrafo único. Efetuado o lançamento do crédito tributário ou do crédito não tributário correspondente à Notificação de Lançamento de Crédito referida no caput:
I - o sujeito passivo deve ser devidamente notificado, com o esclarecimento de que a exigibilidade do crédito tributário permanecerá suspensa durante a vigência da medida judicial; e
II - o processo administrativo fiscal deve prosseguir até a decisão final, ficando a eventual inscrição em dívida ativa e o ajuizamento da execução fiscal sobrestados até a cessação dos efeitos da decisão que tiver determinado a suspensão da exigibilidade do crédito tributário.
Art. 310. Para dar cumprimento à decisão judicial de que trata o art. 307 e como condição para a efetivação da restituição ou compensação, a autoridade competente pode exigir do sujeito passivo cópia do inteiro teor da decisão.
Seção V
Notificação de Lançamento de Crédito
Art. 311. A Notificação de Lançamento de Crédito deve conter as seguintes informações:
I - a qualificação do sujeito passivo;
II - o valor do crédito tributário ou do crédito não tributário, com discriminação do principal, multa e juros moratórios, em moeda corrente, nos termos dos arts. 292 e 299;
III - os dispositivos legais que embasaram a Notificação de Lançamento de Crédito;
IV - o prazo e o modo por meio dos quais pode o devedor realizar o pagamento do crédito tributário ou do crédito não tributário notificado ou apresentar impugnação do lançamento correspondente;
V - o número de série da Notificação de Lançamento de Crédito; e
VI - o nome, a assinatura e a matrícula da autoridade administrativa responsável pelo lançamento do crédito.
§ 1º A Notificação de Lançamento de Crédito emitida por processo eletrônico prescinde de assinatura.
§ 2º Quando o fato gerador do lançamento do crédito for a cobrança da Taxa de Fiscalização e Controle da Previdência Complementar, a Notificação de Lançamento de Crédito deve conter também:
I - a indicação do plano de benefícios inadimplente, em acréscimo à referida no inciso I do caput; e
II - a discriminação do valor referido no inciso II do caput, por quadrimestre e respectivo exercício.
Art. 312. A Previc, quando do não pagamento do crédito tributário ou do crédito não tributário, depois de confirmado por decisão administrativa definitiva ou quando transcorrido o prazo para impugnação sem que essa tenha sido apresentada, deve:
I - promover a inscrição do devedor:
a) no Cadastro Informativo de Créditos não Quitados do Setor Público Federal;
b) nos serviços de proteção ao crédito; e
II - realizar o encaminhamento do processo e apensos à Procuradoria Federal junto à Previc, para inscrição em Dívida Ativa, nos termos da legislação aplicável.
Art. 313. O sujeito passivo, qualificado na Notificação de Lançamento de Crédito, deve ser notificado:
I - por meio eletrônico, na forma da legislação aplicável;
II - por via postal, comprovando-se sua entrega pelo aviso de recebimento ou documento similar com mesma finalidade, emitido pelo serviço postal;
III - mediante ciência do notificado ou do seu procurador, efetivada por servidor designado, ou, no caso de recusa daquele, de aposição de assinatura desse em declaração expressa; ou
IV - por edital, publicado uma única vez no Diário Oficial da União, se frustradas as tentativas de notificação previstas nos incisos I, II e III, ou pela constatação de estar o notificado em lugar inacessível, incerto ou ignorado, devendo constar do edital o termo inicial para contagem do prazo para impugnação.
Parágrafo único. Os meios de notificação previstos nos incisos I a III do caput não estão sujeitos a ordem de preferência.
Seção VI
Procedimento Administrativo Contencioso Fiscal
Art. 314. Compete à Diretoria Colegiada da Previc apreciar e julgar, em primeira instância, as impugnações apresentadas pelo sujeito passivo, referentes às Notificações de Lançamento de Crédito da Taxa de Fiscalização e Controle da Previdência Complementar.
Parágrafo único. O prazo para impugnação do lançamento do crédito é de trinta dias úteis, contados do recebimento da respectiva Notificação de Lançamento de Crédito.
Art. 315. A decisão de primeira instância deve conter:
I - relatório resumido do processo;
II - os fundamentos legais;
III - a conclusão; e
IV - a ordem de intimação.
Parágrafo único. A decisão deve fazer referência expressa a todas as Notificações de Lançamento de Crédito emitidas, bem como às razões de defesa suscitadas pelo impugnante contra todas as exigências.
Art. 316. A impugnação apresentada deve conter:
I - a autoridade julgadora a quem é dirigida;
II - a qualificação do impugnante; e
III - os motivos de fato e de direito em que se fundamenta a peça contestatória, os pontos de discordância e as provas que possuir.
Seção VII
Recolhimento, Restituições e Informações Complementares
Art. 317. A operacionalização do recolhimento, as solicitações de restituições e as informações complementares devem ser efetuadas de acordo com as instruções disponíveis no sítio eletrônico da Previc na internet.
CAPÍTULO X
DA CÂMARA DE MEDIAÇÃO, CONCILIAÇÃO E ARBITRAGEM DA PREVIC
Seção I
Disposições Gerais
Art. 318. A Câmara de Mediação, Conciliação e Arbitragem da Previc (CMCA) tem a competência de promover a mediação e a conciliação entre entidades fechadas de previdência complementar e entre estas e seus participantes, assistidos, patrocinadores ou instituidores, bem como dirimir os litígios que lhe forem submetidos na forma da Lei nº 9.307, de 23 de setembro de 1996.
§ 1º O exercício das competências a que se refere o caput não constitui poder de polícia.
§ 2º A arbitragem deve ser sempre de direito e deve respeitar o princípio da publicidade, e somente pode versar sobre direitos patrimoniais disponíveis.
§ 3º A mediação pode versar sobre todo o conflito ou parte dele, segundo a vontade das partes.
§ 4º As associações de participantes e assistidos poderão solicitar a instauração de procedimento ou a intervenção em procedimento já existente.
(Nota: parágrafo 4º incluído pela Resolução Previc nº 25/2024)
Art. 319. A Câmara de Mediação, Conciliação e Arbitragem possui a seguinte composição:
I - o presidente, que será o procurador-chefe ou outro advogado público federal, em exercício na Procuradoria Federal junto à Previc, que venha a ser designado pelo procurador-chefe;
II - o quadro de mediadores, que desenvolverão suas funções conforme o disposto na Lei nº 13.140, de 2015, e no art. 165, §3º, do Código de Processo Civil;
III - o quadro de conciliadores, que desenvolverão suas atividades em conformidade com o art. 165, §2º, do Código de Processo Civil; e
IV - o quadro de árbitros, composto por profissionais especializados em previdência complementar ou em arbitragem.
§ 1º No exercício da competência de que trata este regulamento, a CMCA contará com o suporte logístico e administrativo da Coordenação-Geral de suporte à Diretoria Colegiada da Previc, que funcionará como sua Secretaria-Executiva.
§ 1º No exercício da competência de que trata este regulamento, a CMCA deve contar com o suporte de sua Secretaria-Executiva.
(Nota: parágrafo 1º alterado pela Resolução Previc nº 25/2024)
§ 2º O quadro de mediadores, conciliadores e árbitros, que poderá contar com profissionais indicados pelas entidades representativas do setor, deverá ser divulgado na página eletrônica da Previc.
§ 3º Somente poderão integrar o quadro de mediadores, conciliadores e árbitros da CMCA aqueles profissionais submetidos previamente à análise quanto à sua competência e reputação ilibada.
§ 4º Apenas serão admitidos como mediadores no quadro da CMCA os profissionais que comprovem a devida capacitação.
§ 3º Somente poderão integrar o quadro de mediadores, conciliadores e árbitros da CMCA os profissionais previamente submetidos à análise quanto à sua competência, capacitação e reputação ilibada.
§ 4º Apenas serão admitidos como mediadores, conciliadores e árbitros no quadro da CMCA os profissionais que comprovem capacitação e experiência compatível com as atividades a serem desempenhadas.
(Nota: parágrafos 3º e 4º alterados pela Resolução Previc nº 26, de 16.12.2025)
Art. 320. Os serviços a que se refere este Capítulo, quando desenvolvido por servidores públicos, serão considerados serviços relevantes e não remunerados, exercidos sem prejuízo das atribuições do cargo.
Parágrafo único. Os serviços prestados no âmbito da CMCA devem ser computados na carga semanal de trabalho dos servidores.
Art. 321. Os membros da CMCA que não possuam vínculo com o serviço público poderão ter seus honorários fixados em conformidade com a complexidade da matéria, o período de tempo necessário para resolver a controvérsia, o valor envolvido no litígio, a urgência do caso e demais circunstâncias pertinentes, conforme estabelecido de comum acordo entre as partes.
Parágrafo único. § 1º A Previc e a CMCA não receberão qualquer valor pela prestação dos serviços referidos neste Capítulo.
§ 2º Quando os conflitos envolverem patrocinadores públicos de EFPC, os membros da CMCA, mediadores, conciliadores e árbitros devem, preferencialmente, possuir vínculo com o serviço público.
(Nota: parágrafos 1º e 2 incluídos pela Resolução Previc nº 25/2024)
Seção II
Princípios
Art. 322. O procedimento de que trata este Capítulo é orientado pelos seguintes princípios:
I - imparcialidade dos integrantes da Câmara de Mediação, Conciliação e Arbitragem;
II - isonomia e paridade entre as partes;
III - oralidade;
IV - informalidade;
V - simplicidade;
VI - autonomia da vontade das partes;
VII - busca do consenso;
VIII - confidencialidade;
IX - cooperação;
X - lealdade e boa-fé;
XI - moralidade; e
XII - celeridade.
Parágrafo único. Em caso de instituição de arbitragem, devem ser observados também os princípios do contraditório, da ampla defesa, do dever de revelação e do livre convencimento do árbitro.
Seção III
Procedimento de Mediação
Art. 323. O procedimento é iniciado por provocação da Previc ou por qualquer das pessoas indicadas no art. 318, mediante requerimento eletrônico ou físico protocolado na Secretaria-Executiva da Câmara de Mediação, Conciliação e Arbitragem.
§ 1º O requerimento deve ser datado e assinado pelas partes envolvidas no litígio e deve contar com uma breve descrição dos fatos e do objeto controvertido, acompanhado dos seguintes documentos, conforme o caso:
I - cópia da carteira de identidade e do Cadastro de Pessoa Física (CPF) da pessoa física ou do representante da pessoa jurídica;
II - cópias do registro no Cadastro Nacional de Pessoa Jurídica (CNPJ), do estatuto, da ata de eleição da diretoria e das procurações necessárias com poderes para confessar, reconhecer a procedência do pedido, transigir, desistir, renunciar ao direito sobre o qual se funda a ação, receber, dar quitação, firmar compromisso e assinar declaração de hipossuficiência econômica, que devem constar de cláusula específica;
III - cópia do contrato ou do documento onde conste a cláusula compromissória, quando for o caso;
IV - cópias dos documentos necessários ao completo entendimento da controvérsia; e
V - estimativa do valor atribuído à causa pelo requerente.
§ 2º Somente podem instaurar ou intervir em procedimento em curso, em nome de seus representados, as associações de participantes e assistidos que comprovem sua representatividade.
§ 3º O requerimento referido no caput pode definir, desde logo, se os interessados pretendem se submeter apenas ao procedimento de mediação e conciliação, ou também à arbitragem, resguardada a possibilidade de optarem pela arbitragem, de comum acordo, em qualquer etapa do procedimento.
§ 4º O requerimento pode consistir em simples solicitação para que seja contatada a outra parte, a fim de averiguar a viabilidade ou interesse de se submeter ao procedimento disciplinado neste Capítulo.
§ 5º A autenticação dos documentos relacionados no § 1º, quando necessária, pode ser feita pelo servidor responsável pelo protocolo, à vista dos originais, nos termos do § 1º do art. 10 do Decreto nº 9.094, de 17 de julho de 2017, ou pelo próprio advogado da parte, sob sua responsabilidade pessoal, na forma do inciso IV do art. 425 do Código de Processo Civil.
§ 6º Constatada a insuficiência dos documentos apresentados, as partes serão comunicadas a fim de complementar a documentação no prazo de trinta dias, sob pena de arquivamento.
Art. 324. Verificada a regularidade da documentação pela Secretaria-Executiva, o procedimento será encaminhado ao Presidente da Câmara de Mediação, Conciliação e Arbitragem, que deverá proferir decisão sobre sua admissibilidade, no prazo de trinta dias, contados do recebimento dos autos.
§ 1º Além das demais condições previstas neste Capítulo, será levada em consideração, para a admissão do pedido, a relevância da matéria submetida à apreciação da Câmara de Mediação, Conciliação e Arbitragem, considerando sua possível repercussão e relevância para o regime de previdência complementar fechado.
§ 2º Antes de decidir sobre o prosseguimento do feito, o presidente deve consultar as Diretorias da Previc sobre a existência de situação que recomende a não admissibilidade do pedido, concedendo-lhes o prazo comum de quinze dias, após o qual se presume que inexiste óbice à análise do feito.
§ 3º Quando o processo envolver a administração pública, o procedimento deverá respeitar o princípio da publicidade.
§ 4º A admissão da mediação implica a suspensão de qualquer processo em trâmite na Previc que tenha o mesmo objeto, enquanto durar o procedimento consensual.
§ 5º A decisão de que trata este artigo é irrecorrível e deve ser comunicada imediatamente aos interessados pela Secretaria-Executiva.
Art. 325. Sendo o pedido de autoria de apenas uma das partes, será enviado convite às demais partes para iniciar o procedimento de mediação ou conciliação.
§1º O convite pode ser feito por qualquer meio de comunicação e deve estipular o escopo proposto para a negociação, a data e o local da primeira reunião.
§2º O convite formulado pela Câmara de Mediação, Conciliação e Arbitragem a qualquer das partes, bem como por uma parte à outra, deve ser rejeitado se não for respondido em até trinta dias da data de seu recebimento.
§3º Aceita a proposta de reunião de mediação, serão designados o dia, a hora e o local da audiência, providenciando-se a comunicação aos interessados, de preferência por via eletrônica.
Art. 326. A mediação e a conciliação serão conduzidas por mediador ou conciliador designado pelo Presidente da CMCA.
§ 1º É possível, a qualquer momento, por solicitação das partes ou recomendação do mediador, com anuência daquelas, a designação de mais de um conciliador ou mediador para atuar no mesmo caso, observada a complexidade do conflito.
§ 2º O mediador ou conciliador poderá contar com o auxílio de servidores da Previc para esclarecimentos de aspectos técnicos, quando necessário.
Art. 327. Comparecendo as partes à audiência de conciliação, pessoalmente ou através de representante com poderes expressos para transigir, será tentada a solução consensual da controvérsia.
§ 1º A mediação pode ser feita pela internet ou por outro meio de comunicação que permita a transação à distância, desde que as partes estejam de acordo.
§ 2º O mediador pode ouvir as partes, uma ou mais vezes, em conjunto ou separadamente, solicitar a apresentação de esclarecimentos ou documentos adicionais e promover as diligências que entender necessárias para informar-se sobre os pormenores do caso.
§ 3º A solução consensual que venha a ser obtida deve respeitar os limites normativos vigentes acerca da matéria, devendo ser firmada por escrito e estabelecer claramente as obrigações de cada parte, os prazos para seu cumprimento, os responsáveis pelo monitoramento e as consequências do não cumprimento, sendo submetida ao Presidente da Câmara de Mediação, Conciliação e Arbitragem, para que seja homologada a autocomposição, com valor de título executivo extrajudicial, nos termos do art. 20 da Lei nº 13.140, de 2015.
§ 4º Não se obtendo solução consensual, e não sendo possível a arbitragem, o procedimento será imediatamente arquivado.
Art. 328. Ausente à audiência qualquer dos interessados e estando os autos instruídos com o compromisso arbitral contendo a indicação expressa de que a arbitragem será realizada pela Câmara de Mediação, Conciliação e Arbitragem, tem prosseguimento o procedimento arbitral.
Seção IV
Arbitragem
Art. 329. Cada parte indicará o respectivo coárbitro, tendo a contraparte o prazo de 10 (dez) dias para apresentar eventual impugnação.
§ 1º Havendo concordância das partes, o litígio poderá ser julgado por árbitro único, escolhido de comum acordo pelas partes ou designado pelo Presidente da CMCA.
§ 2º A parte que pretender arguir questões relativas à competência, conflito de interesses, suspeição ou impedimento do árbitro ou dos árbitros, bem como nulidade, invalidade ou ineficácia da convenção de arbitragem, deverá fazê-lo na primeira oportunidade que tiver de se manifestar, após a instituição da arbitragem.
§ 3º Acolhida a arguição de suspeição ou impedimento, será o árbitro substituído por decisão fundamentada do Presidente da CMCA.
Art. 330. Não havendo impugnação ou sendo ela julgada improcedente, os coárbitros escolherão de comum acordo o Presidente do Tribunal Arbitral.
Parágrafo único. Caso os coárbitros não cheguem a um consenso, o Presidente do Tribunal Arbitral será designado pelo Presidente da CMCA.
Art. 331. Os componentes do Tribunal Arbitral deverão proceder com imparcialidade, independência, competência, diligência e discrição no exercício de suas funções, assinando "Declaração de Independência", a qual será juntada aos autos.
§ 1º O Tribunal Arbitral poderá contar com o auxílio de servidores da Previc para esclarecimentos de aspectos técnicos quando necessário.
§ 2º Não poderá funcionar como árbitro aquele que tiver atuado como mediador no mesmo procedimento ou em conflitos relacionados.
Art. 332. O Termo Arbitral deverá conter, no mínimo, os seguintes elementos:
I - nome, qualificação completa, endereço e e-mail das partes e de seus advogados;
II - nome, qualificação completa, endereço e e-mail dos árbitros;
III - a matéria que será objeto da arbitragem;
IV - o valor real ou estimado do litígio;
V - local onde deve ser desenvolvida e arbitragem e proferida a sentença arbitral;
VI - o prazo para apresentação da sentença arbitral; e
VII - o idioma em que deve ser conduzido o procedimento arbitral.
Art. 333. A revelia não gera os efeitos mencionados no art. 344 do Código de Processo Civil, assim como não impedirá que seja proferida a sentença arbitral.
Art. 334. Os árbitros, mediadores e conciliadores que participarem do processo de composição extrajudicial do conflito somente poderão ser responsabilizados civil, administrativa ou criminalmente quando, mediante dolo ou fraude, receberem qualquer vantagem indevida.
Art. 335. Antes de instituída a arbitragem, as partes poderão recorrer ao Poder Judiciário para a concessão de medida cautelar ou de urgência.
§ 1º Cessa a eficácia da medida cautelar ou de urgência se a parte interessada não requerer a instituição da arbitragem no prazo de 30 (trinta) dias, contado da data de efetivação da respectiva decisão.
§ 2º Instituída a arbitragem caberá aos árbitros manter, modificar ou revogar a medida cautelar ou de urgência concedida pelo Poder Judiciário.
§ 3º Estando já instituída a arbitragem, a medida cautelar ou de urgência será requerida diretamente aos árbitros.
Seção V
Sentença Arbitral
Art. 336. A sentença arbitral deverá ser proferida no prazo de 60 (sessenta) dias contados do término do prazo para as alegações finais das partes, podendo tal prazo ser prorrogado por mais até 60 (sessenta) dias pelo Tribunal Arbitral.
§ 1º O Tribunal Arbitral poderá definir prazos e procedimentos específicos para a instrução do feito, respeitados os princípios do art. 322.
§ 2º Instituída a arbitragem e entendendo o árbitro ou o Tribunal Arbitral que há necessidade de explicitar questão disposta na convenção de arbitragem, será elaborado, juntamente com as partes, adendo firmado por todos, que passa a fazer parte integrante da convenção de arbitragem.
§ 3º O Tribunal Arbitral poderá, a qualquer tempo, determinar a comunicação aos interessados, a fim de complementar a instrução do procedimento, designando prazo para o atendimento, até o máximo de trinta dias.
§ 4º Quando necessário, o Tribunal Arbitral deve designar data, horário e local para a colheita de prova oral, determinando a comunicação aos interessados, que se responsabilizam pela presença das testemunhas eventualmente arroladas.
§ 5º Concluída a instrução, o Tribunal Arbitral deverá determinar a comunicação das partes a fim de apresentarem suas alegações finais no prazo de quinze dias, as quais podem ser substituídas por memorais apresentados na audiência de que trata o § 4º.
Art. 337. A sentença arbitral proferida deverá ser fundamentada nas normas constitucionais, legais e infralegais existentes, e deve produzir os efeitos previstos no art. 31 da Lei nº 9.307, de 1996.
§ 1º A sentença arbitral deve conter, obrigatoriamente:
I - o relatório, com os nomes das partes e o resumo do litígio;
II - os fundamentos da decisão;
III - o dispositivo e o prazo para o cumprimento da decisão; e
IV - a data e o local em que tenha sido proferida.
§ 2º As partes e seus sucessores são obrigados ao cumprimento da sentença arbitral.
§ 3º A Câmara de Mediação, Conciliação e Arbitragem poderá publicar extrato das sentenças arbitrais proferidas, o qual não deve conter a identificação das partes.
Art. 338. Da sentença arbitral caberá pedido de esclarecimentos, no prazo de cinco dias, a contar do recebimento da comunicação ou da ciência pessoal do interessado, salvo se outro prazo for previamente acordado entre as partes, nos termos do art. 30 da Lei nº 9.307, de 1996.
Parágrafo único. O Tribunal Arbitral poderá corrigir, de ofício ou sob requerimento das partes interessadas, quaisquer inexatidões materiais verificadas na sentença, caso em que deve decidir aditar ou não a sentença no prazo de dez dias.
Art. 339. As partes são responsáveis pela execução da sentença arbitral.
Parágrafo único. A sentença arbitral não afasta a necessidade de observância dos trâmites e exigências legais referentes a procedimento de licenciamento, quando houver ato que dependa de prévia autorização da Previc.
Seção VI
Outros Procedimentos
Art. 340. As comunicações previstas neste Capítulo devem ser feitas por qualquer meio que assegure a ciência inequívoca dos destinatários e serão realizadas, preferencialmente, através de endereço eletrônico previamente informado nos autos, mediante confirmação de recebimento, sob pena de nulidade.
§ 1º As comunicações devem ser dirigidas ao procurador nomeado pela parte, quando houver.
§ 2º As partes são responsáveis por todas as informações prestadas à Câmara de Mediação, Conciliação e Arbitragem, devendo ser informada qualquer alteração de endereço eletrônico para correspondência postal, número de telefone e demais dados de contato, caso em que o Presidente da CMCA determinará que sejam reiteradas as comunicações eventualmente expedidas nos dez dias anteriores.
Art. 341. Os mediadores, conciliadores, membros do Tribunal Arbitral, peritos e as testemunhas deverão dar-se por suspeitos ou impedidos nas hipóteses dos arts. 144, 145, 148 e 447, §2º e §3º, do Código de Processo Civil.
Art. 342. O Presidente da CMCA poderá expedir normas complementares às regras constantes deste Capítulo.
CAPÍTULO XI
DA INTERVENÇÃO DA PREVIC EM AÇÕES JUDICIAIS DE ALTO IMPACTO
Art. 343. A Previc poderá intervir em ações judiciais que tenham o potencial de impactar em número significativo de entidades e que envolvam elementos estruturantes do sistema de previdência complementar.
Art. 344. As solicitações de intervenção de que trata o art. 343 poderão ser submetidas previamente à Comissão de Monitoramento de Ações Relevantes.
§ 1º A Comissão será instituída por ato do Procurador-Chefe da Previc e será destinada à oitiva das entidades representativas do setor quanto ao impacto e relevância dos processos judiciais submetidos à análise.
§ 2º A Comissão será constituída por representantes das entidades representativas, servidores da Previc e Procuradores Federais em exercício na Procuradoria Federal junto à Previc, nos termos da regulamentação.
§ 3º A manifestação da Comissão estará adstrita à análise sobre o impacto e relevância do processo judicial.
(Nota: sobre a Comissão de Monitoramento de Ações Relevante, vide Portaria Previc nº 722, de 14.08.2024)
Art. 345. As manifestações da Comissão que concluírem pela configuração dos requisitos do art. 343 serão submetidas à análise técnica da Previc, com posterior encaminhamento à Procuradoria Federal junto à Previc.
Art. 346. Havendo manifestação favorável da Procuradoria Federal junto à Previc acerca da possibilidade de ingresso, a questão será submetida à deliberação da Diretoria Colegiada, para decisão final, por maioria simples.
Parágrafo único. Na hipótese de a Diretoria Colegiada decidir pelo ingresso no processo judicial, o procedimento será remetido ao órgão de execução da Procuradoria-Geral Federal competente, para apreciação.
Art. 347. Os processos em que seja admitida a intervenção da Previc, na forma prevista neste Capítulo, serão classificados como prioritários pela Procuradoria Federal junto à Previc, para fins de acompanhamento e atuação.
Art. 348. A Comissão de que trata este Capítulo poderá realizar, independente de provocação, o mapeamento e identificação de processos judiciais que demandem intervenção da Previc, bem como identificar situações que estejam ocasionando ou possam ocasionar elevado índice de judicialização.
CAPÍTULO XII
DOS DADOS A SEREM ENVIADOS À PREVIC
Seção I
Informações Atuariais
Subseção I
Demonstrações Atuariais
Art. 349. As demonstrações atuariais podem ser:
I - demonstrações atuariais completas: aquelas preenchidas com todas as informações sobre a avaliação atuarial; ou
II - demonstrações atuariais simplificadas: aquelas preenchidas com as informações mínimas sobre a avaliação atuarial.
Parágrafo único. Para fins de preenchimento das demonstrações atuariais, o grupo de custeio corresponde a qualquer grupo de participantes tratado, em decorrência das regras do plano de benefícios, mediante a utilização de plano de custeio específico.
Art. 350. As demonstrações atuariais devem ser elaboradas e enviadas anualmente nos casos de planos que possuam benefícios concedidos ou a conceder.
Parágrafo único. 1º A elaboração e envio das demonstrações atuariais é facultativa para os planos de benefícios constituídos na modalidade de contribuição definida cujos saldos contábeis sejam nulos nas contas Benefício Definido do grupo de contas das provisões matemáticas.
§ 2º O disposto no § 1º não se aplica no caso de planos de benefícios que apresentem parecer atuarial ou de auditor independente adverso ou com ressalvas.
(Nota: parágrafo 1º alterado e 2º incluído pela Resolução Previc nº 26, de 16.12.2025)
Art. 351. Na ocorrência de fato relevante deve ser realizada nova avaliação atuarial, posicionada na data da efetivação do fato que a motivou.
Art. 352. As informações contidas nas demonstrações atuariais devem refletir de forma individualizada todos os planos de benefícios mantidos pela EFPC e aprovados pelo órgão competente, na data de referência da avaliação atuarial.
Parágrafo único. O preenchimento das demonstrações atuariais deve ser feito, quando indicado, por grupo de custeio, com identificação por numeração sequencial que não pode ser alterada com o tempo.
Art. 353. As demonstrações atuariais devem ser enviadas ao patrocinador do plano de benefícios antes do início de vigência do plano de custeio.
§ 1º O plano de custeio estabelecido pela avaliação atuarial de encerramento de exercício deve entrar em vigor até o dia 1º de abril do exercício subsequente ao de referência da respectiva avaliação atuarial.
§ 2º É admitido o estabelecimento de plano de custeio com efeitos retroativos ao início do exercício, desde que haja expressa concordância do patrocinador.
§ 3º No estabelecimento do plano de custeio devem ser observadas, quando for o caso, as disposições específicas aplicáveis aos planos de benefícios patrocinados pela União, pelos Estados, pelo Distrito Federal e pelos Municípios, inclusive suas autarquias, fundações, sociedades de economia mista e empresas controladas direta ou indiretamente.
Subseção II
Avaliação Atuarial
Art. 354. A data de referência dos dados cadastrais utilizados na avaliação atuarial não pode estar defasada em mais de seis meses em relação à data da avaliação.
§ 1º Os dados cadastrais que serviram de base para a elaboração da avaliação atuarial devem ser informados pela EFPC e nela permanecer arquivados, inclusive os nomes dos campos, devendo ser apresentados à Previc, quando solicitado, em formato de planilha eletrônica de utilização comum.
§ 2º Sem prejuízo do disposto no caput, no caso de plano de benefícios que tenha passado por alteração nos últimos doze meses em decorrência de retirada de patrocínio, saldamento, fusão, cisão, incorporação, ou qualquer outra forma de reorganização societária, a data de referência dos dados cadastrais não pode ser anterior à data da efetivação da operação.
Art. 355. Os valores, consolidados pela EFPC, de provisões matemáticas, déficits, superávits e fundos previdenciais apresentados nas demonstrações atuariais, por ocasião da avaliação atuarial de encerramento do exercício, devem coincidir com os valores do balanço patrimonial.
Art. 356. A expectativa de evolução das taxas de contribuição do plano de benefícios deve constar da avaliação atuarial.
Art. 357. A destinação das contribuições para o plano de benefícios deve ser discriminada na avaliação atuarial.
Art. 358. Os relatórios complementares apresentados pelo atuário à diretoria executiva ou aos conselhos devem ser arquivados em conjunto com as demonstrações atuariais e apresentados à Previc, quando solicitado.
Subseção III
Nota Técnica Atuarial
Art. 359. A nota técnica atuarial deve:
I - estar atualizada e consistente com o regulamento do plano de benefícios;
II - ser elaborada observando as características específicas de cada plano de benefícios; e
III - ser enviada à Previc:
a) por ocasião da implantação ou alteração do plano de benefícios e sempre que houver modificações na modelagem atuarial, de modo que seu conteúdo reflita todas as práticas atuariais adotadas para o plano; e
b) contendo a identificação do atuário habilitado e legalmente responsável pelo plano de benefícios, acompanhada de manifestação de ciência e concordância do administrador responsável pelos planos de benefícios com seu inteiro teor, para cada um dos planos de benefícios administrados pela EFPC.
§ 1º A nota técnica atuarial consiste em documento técnico elaborado por atuário devidamente habilitado, em observância à modelagem do plano de benefícios.
§ 2º Os planos de benefícios dispensados de envio das demonstrações atuariais também estão dispensados do envio da nota técnica atuarial.
Art. 360. A EFPC deve assegurar que o atuário, ao assumir a responsabilidade pelo plano de benefícios:
I - ratifique formalmente a nota técnica atuarial em vigor, caso considere o documento apropriado às regras regulamentares do plano e aderente aos requisitos técnico-atuariais pertinentes; ou
II - elabore nota técnica atuarial, com as justificativas da alteração.
Subseção IV
Envio das Informações Atuariais
Art. 361. O envio de documentos e informações atuariais à Previc deve ser realizado:
I - até 31 de março do exercício subsequente, para as demonstrações atuariais relativas ao encerramento do exercício de referência; e
II - até noventa dias após a conclusão do fato que motivou a nova avaliação atuarial, para as demonstrações atuariais por fato relevante.
Seção II
Informações Contábeis
Art. 362. As EFPC devem elaborar os seguintes documentos:
I - balancetes mensais do plano de benefícios, do plano de gestão administrativa e do consolidado;
II - balanço patrimonial consolidado, comparativo com o exercício anterior;
III - demonstração da mutação do patrimônio social, de forma consolidada, comparativa com exercício anterior;
IV - demonstração do plano de gestão administrativa, de forma consolidada, comparativa com o exercício anterior;
V - demonstração do ativo líquido, por plano de benefícios de caráter previdencial, comparativa com o exercício anterior;
VI - demonstração da mutação do ativo líquido, por plano de benefícios de caráter previdencial, comparativa com o exercício anterior;
VII - demonstração das provisões técnicas do plano de benefícios, por plano de benefícios de caráter previdencial, comparativa com o exercício anterior;
VIII - notas explicativas às demonstrações contábeis consolidadas;
IX - parecer do conselho fiscal, com opinião sobre as demonstrações contábeis;
X - manifestação do conselho deliberativo relativa à aprovação das demonstrações contábeis; e
X - manifestação do conselho deliberativo relativa à aprovação das demonstrações contábeis;
(Nota: inciso X alterado pela Resolução Previc nº 26, de 16.12.2025)
XI - relatórios de auditor independente, descritos a seguir:
a) relatório do auditor independente sobre as demonstrações contábeis;
b) relatório circunstanciado sobre controles internos; e
c) relatório para propósito específico, exigido para as EFPC classificadas pela Previc no segmento S1.
XII - informações extracontábeis conforme a Portaria da Diretoria de Normas mencionada no art. 178.
XII - informações extracontábeis, conforme a Portaria da Diretoria de Normas mencionada no art. 178; e
(Nota: inciso XII alterado pela Resolução Previc nº 26, de 16.12.2025)
XIII - parecer do atuário com registro junto ao Instituto Brasileiro de Atuária, relativo a cada plano de benefícios previdencial obrigado a elaborar e enviar Demonstrações Atuariais (DA), inclusive para os planos de benefícios referidos no § 2º do art. 350 desta Resolução.
(Nota: inciso XIII incluído pela Resolução Previc nº 26, de 16.12.2025)
§ 1º Os documentos elencados nos incisos II a X e na alínea "a" do inciso XI do caput devem ser elaborados e aprovados até 31 de março do exercício social subsequente ao de referência.
§ 1º Os documentos elencados nos incisos II a X e XIII e na alínea "a" do inciso XI do caput devem ser elaborados e aprovados até 31 de março do exercício social subsequente ao de referência.
(Nota: parágrafo 1º alterado pela Resolução Previc nº 26, de 16.12.2025)
§ 2º As vias originais das demonstrações contábeis, do parecer do conselho fiscal, do relatório de auditor independente sobre as demonstrações contábeis e a manifestação do conselho deliberativo, assinadas e rubricadas, sendo permitidas assinaturas efetuadas por meio de certificados digitais emitidos pela Infraestrutura de Chaves Públicas Brasileira - ICP-Brasil, devem ser mantidas na EFPC à disposição da Previc.
§ 3º Os documentos referidos nas alíneas "b" e "c" do inciso XI devem ser elaborados até 31 de maio do exercício social subsequente e permanecer à disposição da Previc.
§ 4º A EFPC pode, facultativamente, elaborar demonstração do plano de gestão administrativa, por plano de benefícios de caráter previdencial, comparativo com o exercício anterior.
§ 5º Os documentos elencados no inciso I poderão ser enviados trimestralmente.
§ 6º Os planos de benefícios estruturados na modalidade de contribuição definida cujos saldos contábeis sejam nulos nas contas de Benefício Definido do grupo de contas das provisões matemáticas podem ter os seus balancetes elaborados e enviados trimestralmente, devendo a EFPC adotar o mesmo procedimento durante todo o exercício.
Art. 363. As EFPC devem enviar à Previc as informações previstas no art. 362, por meio de sistema disponibilizado pela autarquia em seu sítio eletrônico na internet, nos seguintes prazos:
I - até o último dia do mês subsequente ao trimestre de referência: as informações elencadas no inciso I e § 6º do art. 362;
II - até 31 de março do exercício social subsequente ao de referência: as demonstrações contábeis elencadas nos incisos II, V, VIII, IX e X e na alínea "a" do inciso XI do art. 362; e
III - até 31 de julho as informações extracontábeis previstas na Portaria da Diretoria de Normas, com informações referentes a competência de junho de cada exercício.
§ 1º Os balancetes referentes ao último trimestre do exercício devem ser enviados até o último dia do mês de fevereiro do exercício subsequente.
§ 2º Os documentos listados nos incisos II, V, VIII, IX e X e na alínea "a" do inciso XI do art. 362, enviados por meio eletrônico à Previc, devem conter:
§ 2º Os documentos listados nos incisos II, V e VIII do art. 362, enviados por meio eletrônico à Previc, devem conter:
(Nota: parágrafo 2º alterado pela Resolução Previc nº 26, de 16.12.2025)
I - o nome e o CPF dos dirigentes responsáveis pelas informações; e
II - o nome, o CPF e o CRC do profissional de contabilidade responsável.
§ 3º A justificativa de eventual substituição das demonstrações contábeis e dos balancetes devem ser mantidas na EFPC à disposição do conselho fiscal e da Previc.
Seção III
Informações de Investimentos
Subseção I
Demonstrativo de Investimentos, Cadastro de Fundos de Investimento e Política de Investimentos
Art. 364. A EFPC deve enviar à Previc informações sobre os recursos dos planos administrados, formados pelos ativos disponíveis e de investimentos, deduzidos de suas correspondentes exigibilidades, não computados os valores referentes às dívidas contratadas com os patrocinadores, conforme o disposto na presente Resolução.
§ 1º O envio a que se refere o caput inclui as informações de todos os fundos de investimento e fundos de investimento em cotas de fundos de investimento constituídos no Brasil dos quais a EFPC seja cotista, direta ou indiretamente, considerando a regulamentação da Comissão de Valores Mobiliários.
§ 2º O envio das informações relativas à política de investimentos deve observar os seguintes prazos:
I - até 1º de março do exercício de referência; e
II - até trinta dias contados da data da revisão aprovada pelo conselho deliberativo.
Art. 365. A EFPC deve elaborar o demonstrativo mensal de investimentos dos planos por ela administrados, inclusive do programa de gestão administrativa, e enviar à Previc até o último dia do mês subsequente ao trimestre de referência.
§ 1º O demonstrativo de investimentos é composto por todos os ativos pertencentes à carteira própria, à carteira administrada, aos fundos de investimento e aos fundos de investimento em cotas de fundos de investimento dos quais a EFPC seja direta ou indiretamente cotista.
§ 2º A eventual substituição de informações do demonstrativo de investimentos deve ser justificada pelo administrador estatutário tecnicamente qualificado e permanecer na EFPC à disposição do conselho fiscal e da Previc.
§ 3º O demonstrativo de investimentos pode ser elaborado de forma trimestral em se tratando de planos de benefícios constituídos na modalidade de contribuição definida cujos saldos contábeis sejam nulos nas contas de Benefício Definido do grupo de contas das provisões matemáticas, devendo a EFPC adotar o mesmo procedimento durante todo o exercício.
Art. 366. A EFPC deve manter cadastro atualizado dos fundos de investimento e dos fundos de investimento em cotas de fundos de investimento constituídos no Brasil:
Art. 366. A EFPC deve manter cadastro atualizado das classes de cotas de fundos de investimento constituídos no Brasil:
(Nota: caput do art. 366 alterado pela Resolução Previc nº 26, de 16.12.2025)
I - em que a EFPC ou seus planos de benefícios sejam os únicos cotistas; ou
II - em que a EFPC seja cotista e o fundo classificado como multimercado, no segmento estruturado.
Parágrafo único. O cadastro a que se refere o caput deve ser realizado até dez dias da data de aquisição do primeiro lote de cotas de fundo de investimento ou de fundo de investimento em cotas de fundos de investimento.
II - em que a EFPC seja cotista e a cota de classe de fundo de investimento classificado como multimercado, no segmento estruturado.
Parágrafo único. O cadastro a que se refere o caput deve ser realizado até dez dias da data de aquisição do primeiro lote de cotas de classe de fundo de investimento.
(Nota: inciso II e parágrafo único alterados pela Resolução Previc nº 26, de 16.12.2025)
Subseção II
Autorização da Custódia e do Extrato de Movimentação e Posição de Títulos Públicos Federais
Art. 367. A EFPC deve autorizar os administradores e custodiantes das contas de custódia dos fundos de investimentos, da carteira administrada e da carteira própria, para que concedam acesso à Previc aos dados e às informações de operações e de posições em ativos financeiros pertencentes à EFPC, aos planos de benefícios, aos fundos de investimento e aos fundos de investimento em cotas de fundos de investimento exclusivos, junto a sistema de registro e de liquidação financeira ou depositário central, observada a regulamentação do Banco Central do Brasil ou da Comissão de Valores Mobiliários, nas suas respectivas áreas de competência.
Art. 367. A EFPC deve autorizar os administradores e custodiantes das contas de custódia das classes de cotas, dos fundos de investimentos, da carteira administrada e da carteira própria, para que concedam acesso à Previc aos dados e às informações de operações e de posições em ativos financeiros pertencentes à EFPC, aos planos de benefícios, às classes de cotas de fundos de investimento e às cotas de classe exclusivas de fundos de investimento, junto a sistema de registro e de liquidação financeira ou depositário central, observada a regulamentação do Banco Central do Brasil ou da Comissão de Valores Mobiliários, nas suas respectivas áreas de competência.
(Nota: caput do art. 367 alterado pela Resolução Previc nº 26, de 16.12.2025)
Art. 368. O envio dos extratos mensais de movimentação e de posição de títulos públicos federais custodiados no Sistema Especial de Liquidação e de Custódia (Selic), relativos às contas individualizadas das EFPC e às contas dos fundos de investimento e dos fundos de investimento em cotas de fundos de investimento exclusivos, deve observar o disposto no art. 364, §2ª, desta Resolução.
Art. 368. O envio dos extratos mensais de movimentação e de posição de títulos públicos federais custodiados no Sistema Especial de Liquidação e de Custódia (Selic), relativos às contas individualizadas das EFPC e às contas dos fundos de investimento e dos fundos de investimento em cotas de fundos de investimento exclusivos, deve observar o disposto no art. 383 da Resolução Previc nº 23, de 14 de agosto de 2023.
(Nota: caput do art. 368 alterado pela Resolução Previc nº 25/2024)
Art. 368. O envio dos extratos mensais de movimentação e de posição de títulos públicos federais custodiados no Sistema Especial de Liquidação e de Custódia (Selic), relativos às contas individualizadas das EFPC e às contas das classes de cota de fundos de investimento e das cotas de classe exclusivas dos fundos de investimento, deve observar o disposto no art. 364, § 2º, desta Resolução.
(Nota: caput do art. 368 alterado pela Resolução Previc nº 26, de 16.12.2025)
§ 1º O registro ou depósito dos ativos financeiros pertencentes à carteira própria da EFPC deve permitir a individualização e a identificação de cada plano administrado pela EFPC.
§ 2º É vedado às EFPC incluir informações no sistema informatizado com restrição de acesso à Previc, em relação às informações sobre os títulos mencionados no caput.
Subseção III
Riscos e Impactos Ambientais, Sociais e de Governança (ASG)
Art. 368-A. Para fins desta Subseção considera-se:
I - aspectos sociais: fatores e condições relacionados aos direitos e garantias fundamentais, à promoção da equidade e à melhoria do bem-estar coletivo;
II - aspectos ambientais: fatores e condições associados à conservação e ao uso responsável dos recursos naturais, à proteção dos ecossistemas, ao processo de transição para uma economia de baixo carbono e à exposição a eventos climáticos extremos ou a alterações ambientais de longo prazo relacionadas a mudanças em padrões climáticos;
III - aspectos de governança, subdivididos nas seguintes vertentes:
a) estruturas de governança: fatores e condições relacionados à estrutura e aos processos de tomada de decisão, à transparência e responsabilização, ao controle interno e à prevenção e tratamento de conflitos de interesse; e
b) integridade: fatores e condições relativos à observância de princípios éticos, de cumprimento de normas de probidade, à prevenção e combate de fraudes, corrupção, desvios de conduta, lavagem de dinheiro e financiamento do terrorismo, suborno, além da existência de regras relacionadas à segurança da informação e a condutas que possam impactar a imagem e reputação da entidade.
(Nota: art. 368-A incluído pela Resolução Previc nº 26, de 16.12.2025)
Art. 368-B. A EFPC deve julgar se os aspectos relacionados à sustentabilidade econômica, ambiental, social e de governança de seus investimentos são materiais e relevantes.
§ 1º A análise para determinar a materialidade e relevância dos fatores de sustentabilidade econômica, ambiental e social deve, no mínimo:
I - adotar conceito de dupla materialidade, considerando:
a) materialidade de impacto: avaliação de efeitos positivos, negativos ou neutros que os investimentos podem gerar no meio ambiente e na sociedade;
b) materialidade financeira: análise da influência de fatores ASG nos resultados financeiros, incluindo riscos e oportunidades que poderiam afetar significativamente a capacidade de honrar os compromissos futuros dos planos de benefícios.
II - uso de indicadores e métricas setoriais, notas de riscos temáticos ou ratings especializados disponíveis ou proprietários; e
III - alinhar a relevância do tema frente aos objetivos de longo prazo dos planos de benefícios.
§ 2º Para cumprimento do disposto no § 1º, a EFPC pode selecionar uma ou mais carteiras de investimentos ou um ou mais segmentos de aplicação dos recursos garantidores do plano de benefícios.
§ 3º Os investimentos julgados materiais e relevantes pela EFPC devem ter os riscos relacionados à sustentabilidade econômica, ambiental, social e de governança identificados, analisados, avaliados, controlados e monitorados.
§ 4º O gerenciamento dos riscos de que trata o § 3º deve ser:
I - proporcional ao montante investido e à relevância dos riscos dos ativos ou carteiras selecionadas, segundo critérios definidos pela EFPC; e
II - adequado às características dos planos de benefícios, considerados o porte e a complexidade da EFPC que os administra.
(Nota: art. 368-B incluído pela Resolução Previc nº 26, de 16.12.2025)
Art. 368-C. A EFPC deve divulgar informações referentes aos impactos ambientais, sociais ou de governança relacionados à carteira de investimentos dos planos de benefícios, abrangendo, no mínimo:
I - as estratégias que a EFPC utiliza para gerenciar os riscos e oportunidades relacionados à sustentabilidade nos horizontes de curto, médio e longo prazos, com indicação das responsabilidades e alçadas dos órgãos de governança;
II - o desempenho da EFPC com relação aos riscos e oportunidades relacionados à sustentabilidade, incluindo o progresso em relação a quaisquer metas que a entidade tenha definido ou cujo cumprimento seja requerido por lei ou regulamento;
III - incluir as informações necessárias para a compreensão dos impactos ambientais, sociais ou de governança da carteira de investimento dos planos de benefícios;
IV - apresentar todos os riscos e oportunidades relacionados à sustentabilidade que possam afetar a entidade.
V - adotar divulgações consistentes no tempo, em observância, sempre que possível, à Taxonomia Sustentável Brasileira e aos padrões de referência nacionais e internacionais.
Parágrafo único. As informações exigidas no caput devem ser divulgadas em relatório próprio ou em capítulo específico do Relatório Anual de Informações, estruturadas de forma a assegurar sua adequada identificação, clareza e acessibilidade.
(Nota: art. 368-C incluído pela Resolução Previc nº 26, de 16.12.2025)
Art. 368-D. As EFPC devem cumprir o estabelecido nos artigos 368-B e 368-C até:
I - 31 de dezembro de 2027 para as EFPC classificadas nos segmentos S1 e S2; e
II - 31 de dezembro de 2028 para as EFPC classificadas nos segmentos S3 e S4.
§ 1º As EFPC que fazem gestão por meio de carteira administrada ou fundo de investimento podem utilizar documentos emitidos pelos prestadores de serviços, como subsídio para o cumprimento do disposto no caput, preferencialmente, com acreditação.
§ 2º Os critérios, níveis de exigência, orientações metodológicas e prazos para atendimento ao disposto no caput serão definidos em Portaria a ser editada pela DINOR.
(Nota: art. 368-D incluído pela Resolução Previc nº 26, de 16.12.2025)
Seção IV
Normas Procedimentais para o Envio das Estatísticas de População e de Benefícios
Art. 369. As EFPC devem observar o disposto nesta Seção para o envio das estatísticas populacionais e de benefícios dos planos administrados para a Previc.
Art. 370. As informações dos demonstrativos estatísticos e demonstrativos de sexo e idade devem ser submetidas de forma segregada por planos de benefícios de caráter previdenciário.
Art. 371. Os demonstrativos estatísticos têm periodicidade anual e devem:
I - consolidar as informações de população e de benefícios relativas aos meses do ano de referência; e
II - ser enviados até o último dia do mês de fevereiro do ano subsequente.
Art. 372. O demonstrativo de sexo e idade tem periodicidade anual, sendo o mês de dezembro a data de referência, e deve:
I - conter informações populacionais consistentes com aquelas constantes no demonstrativo estatístico; e
II - ser enviado até o último dia do mês de fevereiro do ano subsequente.
Art. 373. A EFPC deve manter base de dados cadastrais própria com informações atualizadas, confiáveis, seguras e segregadas por plano de benefícios, independentemente da obrigatoriedade de envio de dados à Previc.
Art. 374. As EFPC que se encontrem sob administração especial com poderes de liquidação extrajudicial, sem atividades ou com pendência para cancelamento ficam dispensadas de encaminhar o demonstrativo estatístico e o demonstrativo de sexo e idade.
CAPÍTULO XIII
DOS PROCEDIMENTOS VISANDO À PREVENÇÃO DOS CRIMES DE LAVAGEM OU OCULTAÇÃO DE BENS, DIREITOS E VALORES, E DE COMBATE AO TERRORISMO
DOS PROCEDIMENTOS VISANDO À PREVENÇÃO DOS CRIMES DE LAVAGEM OU OCULTAÇÃO DE BENS, DIREITOS E VALORES, E DE COMBATE AO FINANCIAMENTO DO TERRORISMO
(Nota: título do capítulo XIII alterado pela Resolução Previc nº 25/2024)
Art. 375. As EFPC devem observar o disposto nas Lei nº 9.613, de 3 de março de 1998, e da Lei nº 13.260, de 16 de março de 2016, quando verificarem a existência de indícios dos crimes previstos nas referidas Leis, comunicando tal fato imediatamente à Previc.
Art. 375. As EFPC devem observar o disposto nesta Resolução para prevenir a utilização do regime de previdência complementar fechado para a prática dos crimes de "lavagem" ou de ocultação de bens, direitos e valores, de que trata a Lei nº 9.613, de 3 de março de 1998, e de financiamento do terrorismo, previsto na Lei nº 13.260, de 16 de março de 2016.
(Nota: art. 375 alterado pela Resolução Previc nº 25/2024)
Art. 376. As EFPC, considerando seu perfil de risco, porte e complexidade, devem implementar e manter política formulada com base em princípios e diretrizes que busquem prevenir a sua utilização para as práticas de lavagem de dinheiro e de financiamento do terrorismo.
Art. 376. As EFPC, considerando seu perfil de risco, porte e complexidade, devem implementar e manter política, procedimentos e controles internos formulados com base em princípios e diretrizes que busquem prevenir a sua utilização para as práticas de lavagem de dinheiro e de financiamento do terrorismo.
(Nota: caput do art. 376 alterado pela Resolução Previc nº 25/2024)
§ 1º A política de que trata o caput deve ser compatível com os perfis de risco da EFPC, dos clientes, das operações, das transações, dos produtos e dos serviços prestados.
§ 2º Para os fins deste Capítulo, consideram-se clientes as patrocinadoras, os instituidores, os participantes, os beneficiários e os assistidos de plano de benefícios de caráter previdenciário administrado por EFPC.
§ 3º As EFPC devem avaliar, no mínimo anualmente, a efetividade da política, dos procedimentos e dos controles internos de que trata esta Resolução.
(Nota: parágrafo 3º incluído pela Resolução Previc nº 25/2024)
Art. 377. As EFPC devem desenvolver e implementar procedimentos que possibilitem a identificação e a qualificação de clientes, inclusive aqueles enquadrados como pessoa exposta politicamente.
Parágrafo único. As EFPC devem dedicar especial atenção às operações envolvendo pessoa exposta politicamente, bem como com seus representantes, familiares e outras pessoas de seu relacionamento próximo.
Art. 378. Para os fins do disposto no inciso II do art. 10 da Lei nº 9.613, de 1998, as EFPC devem manter registro que reflita suas operações ativas e passivas e a identificação das pessoas físicas ou jurídicas com as quais estabeleça qualquer tipo de relação jurídica cujo valor seja igual ou superior a R$ 10.000,00 (dez mil reais).
§ 1º Após análise, no prazo de 24 (vinte e quatro) horas, as EFPC devem comunicar ao COAF:
I - as operações que possam constituir sérios indícios dos crimes previstos na Lei nº 9.613 de 1998, ou a eles se relacionar; e
II - as operações realizadas com um mesmo participante ou assistido que sejam iguais ou superiores a R$ 50.000,00 (cinquenta mil reais), exceto as operações decorrentes do pagamento de benefícios de caráter previdenciário, de empréstimos a participantes ou assistidos e de portabilidade ou resgate.
§ 2º As EFPC devem se habilitar para realizar as comunicações no Sistema de Controle de Atividades Financeiras (Siscoaf), do COAF.
(Nota: parágrafos 1º e 2º incluídos pela Resolução Previc nº 25/2024)
Art. 378-A. As EFPC devem comunicar à Previc a não ocorrência de propostas, situações ou operações passíveis de comunicação ao COAF até o último dia do mês de fevereiro do ano subsequente ao exercício.
(Nota: art. 378-A incluído pela Resolução Previc nº 25/2024)
Art. 378-B. A infração às disposições deste Capítulo sujeita as EFPCs e seus administradores às sanções do art. 12 da Lei nº 9.613, de 1998, e da regulamentação em vigor, sem prejuízo das sanções aplicáveis por eventual descumprimento da legislação no âmbito da previdência complementar fechada.
Parágrafo único. Para os fins do disposto neste artigo, serão adotados os procedimentos administrativos próprios da Previc.
(Nota: art. 378-B incluído pela Resolução Previc nº 25/2024)
Art. 379. As EFPC devem cumprir imediatamente as medidas estabelecidas nas resoluções do Conselho de Segurança das Nações Unidas ou as designações de seus comitês de sanções que determinem a indisponibilidade de ativos de titularidade, direta ou indireta, de pessoas naturais, de pessoas jurídicas ou de entidades, nos termos da Lei nº 13.810, de 8 de março de 2019.
Parágrafo único. A indisponibilidade de ativos de titularidade, direta ou indireta, de pessoas naturais, de pessoas jurídicas ou de entidades de que trata este artigo, deve ser comunicada imediatamente ao Conselho de Controle de Atividades Financeiras (Coaf), ao Ministério da Justiça e Segurança Pública (MJSP) e à Superintendência Nacional de Previdência Complementar (Previc).
(Nota: parágrafo único incluído pela Resolução Previc nº 25/2024)
CAPÍTULO XIV
DOS MECANISMOS E INSTÂNCIAS DE PARTICIPAÇÃO SOCIAL
Art. 380. A Previc deverá, respeitadas as especificidades de cada caso, considerar as instâncias e os mecanismos de participação social para a formulação, a execução, o monitoramento e a avaliação de seus programas e políticas públicas para a previdência complementar.
Art. 381. O Diretor-Superintendente estabelecerá por Portaria sobre a instituição e funcionamento da:
I - Comissão Nacional de Atuária; e
II - Comissão de Fomento da Previdência Complementar:
Art. 382. A Diretoria de Normas disciplinará, por meio de Portaria, sobre o processo de participação na produção de normas da Previc, por meio de consultas ou audiências, de caráter público ou restrito.
CAPÍTULO XV
DAS DISPOSIÇÕES FINAIS
Art. 383. Pode a Diretoria de Normas emitir orientações para a operacionalização e o detalhamento de documentos e informações que devem ser enviados à autarquia.
Art. 384. As informações disponibilizadas à Previc são de responsabilidade da EFPC, que responde por erros ou omissões, nos termos da legislação vigente.
Art. 385. Os documentos, relatórios e informações produzidos pela EFPC e não enviados à Previc devem ficar arquivados na EFPC à disposição da Previc.
Art. 386. A Diretoria de Normas disciplinará, por meio de Portaria, sobre os procedimentos para proposição, elaboração e alteração de atos normativos pela Previc.
Art. 387. Esta Resolução não se aplica aos planos de assistência à saúde a que se refere o art. 76 da Lei Complementar nº 109, de 29 de maio de 2001, registrados na Agência Nacional de Saúde Suplementar (ANS).
Art. 388. Ficam revogadas as seguintes normas:
I - Instrução SPC nº 16 de 23 de março de 2007;
II - Instrução SPC nº 29, de 19 de março de 2009;
III - Instrução SPC nº 02, de 20 de julho de 2011;
IV - Instrução SPC nº 17, de 18 de abril de 2007;
V - Instrução Previc nº 15, de 8 dezembro de 2017;
VI - Instrução Previc nº 3, de 24 de agosto de 2018;
VII - Instrução Previc nº 12, de 21 de janeiro de 2019;
VIII - Instrução Previc nº 17, de 13 de setembro de 2019;
IX - Instrução Previc nº 25, de 22 de abril de 2020
X - Instrução Previc nº 26, de 28 de abril de 2020;
XI - Instrução Previc nº 29, de 21 de julho de 2020;
XII - Portaria Difis nº 585, de 19 de agosto de 2020;
XIII - Instrução Previc nº 30, de 19 de agosto de 2020;
XIV - Instrução Previc nº 33, de 23 de outubro de 2020;
XV - Instrução Previc nº 34, de 28 de outubro de 2020;
XVI - Instrução Previc nº 35, de 11 de novembro de 2020;
XVII - Instrução Previc nº 21, de 20 de fevereiro de 2020;
XVIII - Instrução Previc nº 39, de 20 de abril de 2021;
XIX - Resolução Previc nº 2, de 25 de maio de 2021;
XX - Instrução Previc nº 41, de 3 de agosto de 2021;
XXI - Instrução Previc nº 43, de 14 de outubro de 2021;
XXII - Portaria Dilic nº 681, de 19 de outubro de 2021;
XXIII - Instrução Previc nº 45, de 13 de julho de 2022;
XXIV - Resolução Previc nº 4, de 18 de outubro de 2021;
XXV - Resolução Previc nº 5, de 27 de outubro de 2021;
XXVI - Portaria Previc nº 801, de 1º de dezembro de 2021;
XXVII - Resolução Previc nº 06, de 23 de março de 2022;
XXVIII - Resolução Previc nº 07, 23 de março de 2022;
XXIX - Resolução Previc nº 8, de 23 de março de 2022;
XXX - Resolução Previc nº 9, de 30 de março de 2022;
XXXI - Resolução Previc nº 10, de 3 de maio de 2022;
XXXII - Resolução Previc nº 11, de 7 de junho de 2022;
XXXIII - Resolução Previc nº 13, de 16 de agosto de 2022;
XXXIV - Resolução Previc nº 14, de 13 de setembro de 2022;
XXXV - Resolução Previc nº 15, de 20 de setembro de 2022;
XXXVI - Resolução Previc nº 17, de 16 de novembro de 2022;
XXXVII - Resolução Previc nº 20, de 22 de dezembro de 2022; e
XXXVIII - Resolução Previc nº 21, de 21 de março de 2023.
Art. 389. Esta Resolução entra em vigor em 1º de setembro de 2023.
Parágrafo único. O art. 3º, no que concerne ao programa anual de fiscalização, o § 5º e o § 6º do art. 362, os incisos I e III do art. 363, o § 3º do art. 365, o art. 371 e o art. 372 terão vigência a partir do dia 1º de janeiro de 2024.
Parágrafo único. O art. 3º, no que concerne ao programa anual de fiscalização, o art. 362, § 5º e § 6º, o art. 363, inciso I, o art. 365, § 3º, o art. 371 e o art. 372 terão vigência a partir do dia 1º de janeiro de 2024.
(Nota: parágrafo único alterado pela Resolução Previc nº 25/2024)
RICARDO PENA PINHEIRO
Diretor-Superintendente
(DOU de 17.08.2023 – págs. 59 a 99 – Seção 1)

1. Em que:
Duração = média dos prazos dos fluxos de pagamentos de benefícios de cada plano, líquidos de contribuições normais e extraordinárias incidentes sobre esses benefícios, ponderada pelos valores presentes desses fluxos;
Fi = somatório dos pagamentos de benefícios de cada plano, líquidos de contribuições incidentes sobre esses benefícios, relativos ao i-ésimo prazo;
i = prazo, em anos, resultante da diferença entre o ano de ocorrência dos fluxos (Fi) e o ano de cálculo; e
TA = a taxa real anual de juros aplicada no ano anterior pelo respectivo plano de benefícios.
2. Para o cálculo do arredondamento do algarismo da casa decimal de que trata o art. 6º devem ser considerados os algarismos relativos à primeira e segunda casas decimais, efetuando-se o arredondamento da seguinte forma:
2.1. Arredonda-se para o número inteiro inferior, quando os algarismos relativos à primeira e segunda casas decimais estiverem compreendidos no intervalo de 01 a 24;
2.2. Arredonda-se o algarismo relativo à primeira casa decimal para cinco, quando os algarismos relativos à primeira e segunda casas decimais estiverem compreendidos no intervalo de 25 a 74; e
2.3. Arredonda-se para o número inteiro imediatamente superior, quando os algarismos relativos à primeira e segunda casas decimais estiverem compreendidos no intervalo de 75 a 99.
ANEXO II
Conteúdo Programático para a Prova de Conhecimentos
I - PREVIDÊNCIA SOCIAL e COMPLEMENTAR - Princípios da Constituição da República Federativa do Brasil relativos à previdência social e complementar. Conceitos e objetivos da previdência social e complementar. Sistemas previdenciários e regimes financeiros. Previdência complementar do servidor público.
III - ATUÁRIA - Noções de matemática financeira e atuarial. Fundamentos de estatística. Regimes financeiros e tipos de planos de benefícios previdenciários. Demonstrativos e notas técnicas atuariais. Hipóteses econômicas e atuariais.
IV - AUDITORIA - Auditoria interna e externa: normas e procedimentos de auditoria interna e externa; pareceres e laudos de avaliação; relatórios de auditoria.
V - CONTABILIDADE - Noções de contabilidade geral. Demonstrações financeiras e procedimentos contábeis. Plano contábil das EFPC e dos planos de benefícios. Regras tributárias aplicáveis à previdência complementar.
VI - INVESTIMENTOS/FINANÇAS - Sistema Financeiro Nacional. Fundamentos de economia e finanças. Mercado financeiro e de capitais. Regulamentação aplicável ao sistema fechado de previdência complementar. Política de investimentos. Gestão de riscos e de investimentos. Análise de investimentos. Gestão de ativos e passivos (asset and liability management - ALM). Ativos financeiros de renda fixa, renda variável, derivativos, fundos de investimentos e investimentos no exterior.
VII - SUPERVISÃO/FISCALIZAÇÃO - Competência e atribuição do órgão de supervisão. Supervisão baseada em riscos. Processo sancionador. Responsabilidade dos patrocinadores e instituidores, dirigentes, colaboradores e prestadores de serviços, e regimes especiais.
VIII - JURÍDICO - Legislação básica da previdência social. Legislação da previdência complementar, trabalhista e tributária aplicável ao sistema fechado de previdência complementar.
IX - ADMINISTRAÇÃO - Governança corporativa. Papeis e atribuições dos órgãos estatutários. Processo decisório. Gestão de risco. Melhores práticas.
ANEXO III
PRAZOS DE ANÁLISE DE REQUERIMENTOS
|
Item |
Tipo de Requerimento |
Prazo de análise |
Prazo de decisão |
Nível de Risco |
Base Normativa |
|
1 |
Constituição de EFPC |
80 |
30 |
III |
- LC nº 109/2001; - Resol. CNPC nº 40/2021. |
|
2 |
Alteração de estatuto |
55 |
30 |
III |
- LC nº 109/2001; - Resol. CNPC nº 40/2021. |
|
3 |
Aplicação de regulamento de plano de benefícios |
55 |
30 |
III |
- LC nº 109/2001; - Resol. CNPC nº 40/2021. |
|
4 |
Aplicação de regulamento de plano de benefícios (com base em modelo certificado ou modelo padronizado) |
- |
- |
II |
- LC nº 109/2001; - Resol. CNPC nº 40/2021. |
|
5 |
Alteração de regulamento de plano de benefícios |
25 |
30 |
III |
- LC nº 109/2001; - Resol. CNPC nº 40/2021. |
|
6 |
Alteração de regulamento de plano de benefícios por licenciamento automático |
- |
- |
II |
- LC nº 109/2001; - Resol. CNPC nº 40/2021. |
|
7 |
Aprovação de convênio de adesão |
40 |
30 |
III |
- LC nº 109/2001; - Resol. CNPC nº 40/2021. |
|
8 |
Aprovação de convênio de adesão (com base em modelo certificado ou modelo padronizado) |
- |
- |
II |
- LC nº 109/2001; - Resol. CNPC nº 40/2021. |
|
9 |
Alteração de convênio de adesão |
25 |
30 |
III |
- LC nº 109/2001; - Resol. CNPC nº 40/2021. |
|
10 |
Alteração de convênio de adesão por licenciamento automático |
- |
- |
II |
- LC nº 109/2001; - Resol. CNPC nº 40/2021. |
|
11 |
Saldamento de plano de benefícios |
80 |
30 |
III |
- LC nº 109/2001; - Resol. CNPC nº 40/2021. |
|
12 |
Transferência de gerenciamento de plano de benefícios |
55 |
30 |
III |
- LC nº 109/2001; - Resol. CNPC nº 25/2017; - Resol. CNPC nº 51/2022. |
|
13 |
Fusão, cisão ou incorporação de planos de benefícios ou de EFPC |
80 |
30 |
III |
- LC nº 109/2001; - Resol. CNPC nº 40/2021. |
|
14 |
Migração |
80 |
30 |
III |
- LC nº 109/2001; - Resol. CNPC nº 40/2021. |
|
15 |
Operações estruturais relacionadas |
80 |
30 |
III |
- LC nº 109/2001; - Resol. CNPC nº 40/2021. |
|
16 |
Destinação de reserva especial em requerimento que envolva reversão de valores |
80 |
30 |
III |
- LC nº 109/2001; - Resol. CNPC nº 30/2018. |
|
17 |
Retirada de patrocínio |
80 |
30 |
III |
- LC nº 109/2001; - Resol. CNPC nº 11/2013; - Resol. CNPC nº 53/2022. |
|
18 |
Rescisão de convênio de adesão por iniciativa da EFPC |
80 |
30 |
III |
- LC nº 109/2001; - Resol. CNPC nº 11/2013; - Resol. CNPC nº 53/2022. |
|
19 |
Encerramento de plano de benefícios |
25 |
30 |
III |
- LC nº 109/2001. |
|
20 |
Encerramento de EFPC |
25 |
30 |
III |
- LC nº 109/2001. |
|
21 |
Certificação de modelo de regulamento de plano de benefícios |
55 |
30 |
III |
- LC nº 109/2001; - Resol. CNPC nº 40/2021. |
|
22 |
Certificação de modelo de convênio de adesão |
40 |
30 |
III |
- LC nº 109/2001; - Resol. CNPC nº 40/2021. |
|
23 |
Habilitação de membro da diretoria-executiva ou de membro do conselho deliberativo ou do conselho fiscal de EFPC classificada no segmento S1 |
25 |
10 |
III |
- Resol. CNPC nº 39/2021; - IN Previc nº 41/2021. |
|
24 |
Habilitação de membro dos órgãos estatutários de EFPC não enquadrada no item anterior |
40 |
5 |
I |
- Resol. CNPC nº 39/2021. |
|
25 |
Reconhecimento de instituição certificadora |
40 |
10 |
III |
- Resol. CNPC nº 39/2021. |
(Nota: anexo III alterado pela Resolução Previc nº 25/2024)
ANEXO III
PRAZOS DE ANÁLISE DE REQUERIMENTOS
|
Item |
Tipo de Requerimento |
Prazo de análise FASE DE INSTRUÇÃO (em dias) |
Prazo de decisão FASE DE DECISÃO (em dias) |
Nível de Risco |
Base Normativa |
|
|
Mínimo |
Máximo |
|||||
|
1 |
Constituição de EFPC |
20 |
110 |
30 |
III |
- LC nº 109/2001; - Resol. CNPC nº 40/2021. |
|
2 |
Alteração de estatuto |
15 |
75 |
30 |
III |
- LC nº 109/2001; - Resol. CNPC nº 40/2021. |
|
3 |
Implantação de plano de benefícios |
15 |
75 |
30 |
III |
- LC nº 109/2001; - Resol. CNPC nº 40/2021. |
|
4 |
Implantação de plano de benefícios (com base em modelo certificado ou modelo padronizado) |
- |
- |
- |
II |
- LC nº 109/2001; - Resol. CNPC nº 40/2021. |
|
5 |
Alteração de regulamento de plano de benefícios |
10 |
35 |
30 |
III |
- LC nº 109/2001; - Resol. CNPC nº 40/2021. |
|
6 |
Alteração de regulamento de plano de benefícios por licenciamento automático |
- |
- |
- |
II |
- LC nº 109/2001; - Resol. CNPC nº 40/2021. |
|
7 |
Aprovação de convênio de adesão |
15 |
55 |
30 |
III |
- LC nº 109/2001; - Resol. CNPC nº 40/2021. |
|
8 |
Aprovação de convênio de adesão (com base em modelo certificado ou modelo padronizado) |
- |
- |
- |
II |
- LC nº 109/2001; - Resol. CNPC nº 40/2021. |
|
9 |
Alteração de convênio de adesão |
10 |
35 |
30 |
III |
- LC nº 109/2001; - Resol. CNPC nº 40/2021. |
|
10 |
Alteração de convênio de adesão por licenciamento automático |
- |
- |
- |
II |
- LC nº 109/2001; - Resol. CNPC nº 40/2021. |
|
11 |
Saldamento de plano de benefícios |
20 |
110 |
30 |
III |
- LC nº 109/2001; - Resol. CNPC nº 40/2021. |
|
12 |
Transferência de gerenciamento de plano de benefícios |
15 |
75 |
30 |
III |
- LC nº 109/2001; - Resol. CNPC nº 25/2017; - Resol. CNPC nº 51/2022. |
|
13 |
Fusão, cisão ou incorporação de planos de benefícios ou de EFPC |
20 |
110 |
30 |
III |
- LC nº 109/2001; - Resol. CNPC nº 40/2021. |
|
14 |
Migração |
20 |
110 |
30 |
III |
- LC nº 109/2001; - Resol. CNPC nº 40/2021. |
|
15 |
Operações estruturais relacionadas |
20 |
110 |
30 |
III |
- LC nº 109/2001; - Resol. CNPC nº 40/2021. |
|
16 |
Destinação de reserva especial em requerimento que envolva reversão de valores |
20 |
110 |
30 |
III |
- LC nº 109/2001; - Resol. CNPC nº 30/2018. |
|
17 |
Retirada de patrocínio |
20 |
110 |
30 |
III |
- LC nº 109/2001; - Resol. CNPC nº 11/2013; |
|
18 |
Rescisão de convênio de adesão por iniciativa da EFPC (Redação dada pela Resolução Previc nº 25, de 15 de outubro de 2024) |
20 |
110 |
30 |
III |
- LC nº 109/2001; - Resol. CNPC nº 11/2013; - Resol. CNPC nº 53/2022. |
|
19 |
Encerramento de plano de benefícios |
10 |
35 |
30 |
III |
- LC nº 109/2001. |
|
20 |
Encerramento de EFPC |
10 |
35 |
30 |
III |
- LC nº 109/2001. |
|
21 |
Certificação de modelo de regulamento de plano de benefícios |
15 |
75 |
30 |
III |
- LC nº 109/2001; - Resol. CNPC nº 40/2021. |
|
22 |
Certificação de modelo de convênio de adesão |
15 |
55 |
30 |
III |
- LC nº 109/2001; - Resol. CNPC nº 40/2021. |
|
23 |
Habilitação de membro da diretoria-executiva ou de membro do conselho deliberativo ou do conselho fiscal de EFPC classificada no segmento S1 |
10 |
35 |
15 |
III |
- Resol. CNPC nº 39/2021; |
|
24 |
Habilitação de membro dos órgãos estatutários de EFPC não enquadrada no item anterior |
15 |
55 |
15 |
I |
- Resol. CNPC nº 39/2021. |
|
25 |
Reconhecimento de instituição certificadora |
15 |
55 |
15 |
III |
- Resol. CNPC nº 39/2021. |
(Nota: anexo III alterado pela Resolução Previc nº 26, de 16.12.2025)
ANEXO IV
Faixas de valor dos recursos garantidores de plano de benefícios de caráter previdencial administrado pelas entidades fechadas de previdência complementar, a serem utilizadas na base de cálculo da Taxa de Fiscalização e Controle da Previdência Complementar (Tafic):
|
Valor em reais dos recursos garantidores por plano de benefícios de caráter previdencial |
Taxa quadrimestral (R$) |
|
De 0,01 até 5.000.000,00 |
15,00 |
|
De 5.000.000,01 até 9.000,000,00 |
125,00 |
|
De 9.000.000,01 até 16.000.000,00 |
325,00 |
|
De 16.000.000,01 até 40.000.000,00 |
625,00 |
|
De 40.000.000,01 até 90.000.000,00 |
1.625,00 |
|
De 90.000.000,01 até 200.000.000,00 |
3.500,00 |
|
De 200.000.000,01 até 300.000.000,00 |
8.000,00 |
|
De 300.000.000,01 até 500.000.000,00 |
12.000,00 |
|
De 500.000.000,01 até 1.000.000.000,00 |
20.000,00 |
|
De 1.000.000.000,01 até 2.000.000.000,00 |
40.000,00 |
|
De 2.000.000.000,01 até 5.000.000.000,00 |
80.000,00 |
|
De 5.000.000.000,01 até 11.000.000.000,00 |
200.000,00 |
|
De 11.000.000.000,01 até 19.000.000.000,00 |
425.000,00 |
|
De 19.000.000.000,01 até 26.000.000.000,00 |
750.000,00 |
|
De 26.000.000.000,01 até 35.000.000.000,00 |
1.025.000,00 |
|
De 35.000.000.000,01 até 45.000.000.000,00 |
1.375.000,00 |
|
De 45.000.000.000,01 até 60.000.000.000,00 |
1.750.000,00 |
|
Acima de 60.000.000.000,01 |
2.225.000,00 |
(*) N.da Codou: Republicada por ter saído no DOU de 15-8-2023, Seção 1, página 56, com incorreção.