CONTEÚDO
CIRCULAR BACEN Nº 3.848, DE 18.09.2017
Estabelece os procedimentos para o cálculo dos Fatores de Ponderação de Risco (FPRs) aplicáveis às exposições a títulos de securitização para fins de apuração do requerimento de capital mediante abordagem padronizada (RWACPAD), de que trata a Resolução nº 4.193, de 1º de março de 2013.
A Diretoria Colegiada do Banco Central do Brasil, em sessão realizada em 18 de setembro de 2017, com base no disposto nos arts. 9º, 10, inciso IX, e 11, inciso VII, da Lei nº 4.595, de 31 de dezembro de 1964, e nos arts. 3º, § 2º, e 15 da Resolução nº 4.193, de 1º de março de 2013,
RESOLVE:
TÍTULO I
DAS DISPOSIÇÕES PRELIMINARES
CAPÍTULO ÚNICO
DO OBJETO E DO ESCOPO DE APLICAÇÃO
Art. 1º Esta Circular estabelece os procedimentos para o cálculo dos Fatores de Ponderação de Risco (FPRs) aplicáveis às exposições a títulos de securitização para fins de apuração do requerimento de capital mediante abordagem padronizada (RWACPAD), de que trata a Resolução nº 4.193, de 1º de março de 2013.
TÍTULO II
DO CÁLCULO DO FPR
CAPÍTULO I
DAS DEFINIÇÕES
Art. 2º No cálculo do FPR aplicável às exposições a títulos de securitização para fins de apuração do RWACPAD, devem ser utilizadas as seguintes definições:
I - ponto de encaixe (?) é o percentual de perdas acumuladas no valor dos ativos subjacentes a partir do qual há redução da remuneração em determinada classe de priorização de pagamento do título de securitização;
II - ponto de desencaixe (?) é o percentual de perdas acumuladas no valor dos ativos subjacentes a partir do qual há perda total do valor de determinada classe de priorização de pagamento do título de securitização; e
III - razão de inadimplência (?) é o percentual dos ativos subjacentes em descumprimento, em relação ao valor nominal total dos ativos subjacentes, conforme definição do art. 15 da Circular nº 3.648, de 4 de março de 2013, ou em atraso superior a noventa dias.
§ 1º Para os efeitos desta Circular, devem ser utilizadas, quando aplicáveis, as definições do art. 115 da Circular nº 3.648, de 2013.
§ 2º Nas operações com títulos de securitização emitidos por sociedade de propósito específico (SPE), devem ser considerados entre os ativos subjacentes todos os ativos da SPE associados ao processo de securitização.
§ 3º Processos assemelhados aos definidos no art. 115 da Circular nº 3.648, de 2013, estruturados em apenas uma classe de priorização de pagamento devem ser tratados como uma exposição aos ativos subjacentes do respectivo processo, aplicando-se, para essa finalidade, o disposto no art. 17 da Circular nº 3.644, de 4 de março de 2013.
§ 4º O ponto de encaixe deve considerar todos os ativos disponibilizados pelo originador.
CAPÍTULO II
DO CÁLCULO DO FPR
Art. 3º O FPR aplicável ao valor da exposição a título de securitização deve corresponder:
I - a 1/?, se ? ≤ ??, em que: (Nota: Redação dada, a partir do início de vigência desta Circular, pela Circular nº 3.852, de 17.10.2017.)
a) ? = ponto de desencaixe, de que trata o art. 2º, inciso II; e
b) ?? = capital hipotético ajustado pela inadimplência, de que trata o art. 4º;
II - a 1/? *?????(??), se ? ≥ ??, em que:
a) ? = ponto de encaixe, de que trata o art. 2º, inciso I;
b) ?? = capital hipotético ajustado pela inadimplência, de que trata o art. 4º; e
c) ?????(??)= capital aplicável à securitização, de que trata o art. 5º; ou
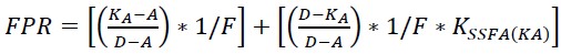
III - ao resultado da seguinte fórmula:

em que:
a) ? = ponto de encaixe, de que trata o art. 2º, inciso I;
b) ? = ponto de desencaixe, de que trata o art. 2º, inciso II;
c) ?? = capital hipotético ajustado pela inadimplência, de que trata o art. 4º; e
d) ?????(??)= capital aplicável à securitização, de que trata o art. 5º.
§ 1º ? corresponde ao fator definido no art. 4º da Resolução nº 4.193, de 2013.
§ 2º O FPR previsto no caput não deve ser inferior a 25% (vinte e cinco por cento).
§ 3º O FPR de que trata o caput, inciso I, também deve ser aplicado se:
I - os ativos subjacentes do título de securitização não puderem ser completamente identificados;
II - a instituição desconhecer o percentual de ativos subjacentes em descumprimento ou em atraso de mais de 5% (cinco por cento) do valor nominal total da carteira do título de securitização; ou
III - o título de securitização estiver associado à ressecuritização.
§ 4º É facultada, às exposições a títulos de securitização para as quais o ponto de desencaixe, de que trata o art. 2º, inciso II, seja igual a 100% (cem por cento), a aplicação do FPR correspondente à média ponderada dos FPR aplicáveis aos ativos subjacentes, conforme a Circular nº 3.644, de 2013.
Art. 4º O capital hipotético ajustado pela inadimplência (??) deve corresponder ao resultado da seguinte fórmula:
?? = (1 − ?) ∗ ??? + ? ∗ 0,5, em que:
I - ? = razão de inadimplência, de que trata o art. 2º, inciso III; e
II - ??? = capital hipotético, que deve corresponder ao resultado da seguinte fórmula:
??? = (?????? ∗ ?)/?, em que:
a) ?????? = montante dos ativos ponderados pelo risco calculado para os ativos subjacentes, mediante abordagem padronizada de risco de crédito;
b) ? = fator definido no art. 4º da Resolução nº 4.193, de 2013; e
c) ? = valor total da exposição correspondente aos ativos subjacentes calculado conforme a abordagem padronizada de risco de crédito.
Parágrafo único. Caso W não possa ser determinado, observado o disposto no art. 3º, § 3º, inciso II, ?? deve corresponder ao resultado da seguinte fórmula:
?? = ? ∗ ?? ′ + (1 − ?) ∗ 1, em que:
I - ? = razão entre o valor nominal dos ativos subjacentes cuja condição de descumprimento ou de atraso superior a noventa dias é conhecida pela instituição e o valor nominal total dos ativos subjacentes; e
II - ?? ′ = capital hipotético ajustado pela inadimplência calculado conforme a fórmula estabelecida no caput para os ativos subjacentes cuja condição de descumprimento ou de atraso superior a noventa dias é conhecida pela instituição.
Art. 5º O capital aplicável à securitização (?????(??)) deve corresponder ao resultado da seguinte fórmula:

em que:
I - ? = constante neperiana;
II - ?? = capital hipotético ajustado pela inadimplência, de que trata o art. 4º;
III - ? = ponto de encaixe, de que trata o art. 2º, inciso I; e
IV - ? = ponto de desencaixe, de que trata o art. 2º, inciso II.
TÍTULO III
DAS DISPOSIÇÕES FINAIS
Art. 6º Esta Circular entra em vigor em 1º de janeiro de 2018.
Otávio Ribeiro Damaso
Diretor de Regulação
(DOU de 20.09.2017 - págs. 11/12, republicado em 21.09.2017 - págs. 48/49 - Seção 1)