CONTEÚDO
CIRCULAR BACEN Nº 3.644, DE 04.03.2013
Estabelece os procedimentos para o cálculo da parcela dos ativos ponderados pelo risco (RWA) referente às exposições ao risco de crédito sujeitas ao cálculo do requerimento de capital mediante abordagem padronizada (RWACPAD), de que trata a Resolução nº 4.193, de 1º de março de 2013.
A Diretoria Colegiada do Banco Central do Brasil, em sessão extraordinária realizada em 1º de março de 2013, com base no disposto nos arts. 9º, 10, inciso IX, e 11, inciso VII, da Lei nº 4.595, de 31 de dezembro de 1964, e nos arts. 3º, § 2º e 15 da Resolução nº 4.193, de 1º de março de 2013,
RESOLVE:
TÍTULO I
DAS DISPOSIÇÕES PRELIMINARES
CAPÍTULO ÚNICO
DO OBJETO E DO ESCOPO DE APLICAÇÃO
Art. 1º Esta Circular estabelece os procedimentos para o cálculo da parcela dos ativos ponderados pelo risco (RWA) referente às exposições ao risco de crédito sujeitas ao cálculo do requerimento de capital mediante abordagem padronizada (RWACPAD), de que trata a Resolução nº 4.193, de 1º de março de 2013.
TÍTULO II
DA PARCELA RWACPAD E DA DEFINIÇÃO E DOS VALORES DAS EXPOSIÇÕES
CAPÍTULO I
DA PARCELA RWACPAD
Art. 2º A parcela do montante dos ativos ponderados pelo risco (RWA) referente às exposições ao risco de crédito sujeitas ao cálculo do requerimento de capital mediante abordagem padronizada (RWACPAD), de que trata a Resolução nº 4.193, de 2013, deve ser igual ao somatório dos produtos das exposições pelos respectivos Fatores de Ponderação de Risco (FPR).
CAPÍTULO II
DA DEFINIÇÃO DE EXPOSIÇÃO
Art. 3º Para a apuração da parcela RWACPAD, considera-se exposição:
I - a aplicação de recursos financeiros em bens e direitos e o gasto ou a despesa registrados no ativo;
II - o limite de crédito não cancelável incondicional e unilateralmente pela instituição;
III - o crédito a liberar em até 360 dias;
IV - a prestação de aval, fiança, coobrigação ou qualquer outra modalidade de garantia pessoal do cumprimento de obrigação financeira de terceiros;
V - qualquer adiantamento concedido;
VI - o ativo disponibilizado como garantia em favor de câmaras ou prestadores de serviços de compensação e de liquidação; (Nota: Redação dada, a partir de 01.01.2018, pela Circular nº 3.849, de 18.09.2017)
VII - a participação em fundos de garantia mutualizados de câmaras ou prestadores de serviços de compensação e de liquidação; (Nota: Redação dada, a partir de 01.01.2018, pela Circular nº 3.849, de 18.09.2017)
VIII - a operação com instrumentos financeiros derivativos de titularidade própria; (Nota: Incluído, a partir de 01.01.2018, pela Circular nº 3.849, de 18.09.2017)
IX - a exposição a contraparte central decorrente de operações compromissadas, de empréstimo de ativos ou de operações com instrumentos financeiros derivativos realizadas em nome de clientes, liquidadas em câmaras ou prestadores de serviços de compensação e de liquidação, nas quais a instituição assume obrigação contratual de reembolsar perdas decorrentes da insolvência da contraparte central; e (Nota: Incluído, a partir de 01.01.2018, pela Circular nº 3.849, de 18.09.2017)
X - a exposição ao cliente contratante junto à instituição decorrente de operações compromissadas, de empréstimo de ativos ou de operações com instrumentos financeiros derivativos liquidadas em câmaras ou prestadores de serviços de compensação e de liquidação, nas quais uma entidade se interponha como contraparte central. (Nota: Incluído, a partir de 01.01.2018, pela Circular nº 3.849, de 18.09.2017)
§ 1º Para a apuração do valor da exposição devem ser deduzidos os respectivos adiantamentos recebidos, provisões e rendas a apropriar.
§ 2º Para efeito da apuração da parcela RWACPAD, não devem ser consideradas exposições: (Nota: Redação dada, a partir de 01.01.2018, pela Circular nº 3.849, de 18.09.2017)
I - as coobrigações e demais modalidades de retenção de riscos e benefícios decorrentes de operações de venda ou de transferência de ativos financeiros que permaneçam registrados no ativo da instituição, nos termos da regulamentação em vigor; (Nota: Redação dada, a partir de 01.01.2018, pela Circular nº 3.849, de 18.09.2017)
II - as cotas de fundos e os títulos de securitização associados a operações de venda ou de transferência de ativos financeiros que permaneçam registrados no ativo da instituição, nos termos da regulamentação em vigor, na proporção entre o montante dos ativos transferidos que permaneçam registrados no ativo da instituição e o valor total dos ativos do respectivo fundo ou processo de securitização; (Nota: Redação dada, a partir de 01.01.2018, pela Circular nº 3.849, de 18.09.2017)
III - as operações interdependências e as demais operações realizadas com instituições que integrem o conglomerado prudencial; (Nota: Incluído, a partir de 01.01.2018, pela Circular nº 3.849, de 18.09.2017)
IV - os elementos patrimoniais deduzidos na apuração do Patrimônio de Referência (PR), conforme definido nos arts. 5º a 8º-B da Resolução nº 4.192, de 1º de março de 2013, brutos dos passivos fiscais diferidos a eles associados subtraídos para fins do cálculo do PR; (Nota: Redação dada, a partir de 01.04.2020, pela Circular nº 3.976, de 22.01.2020)
V - as aplicações em ações e mercadorias (commodities) cobertas pela parcela relativa às exposições ao risco de mercado sujeitas ao cálculo do requerimento de capital mediante abordagem padronizada (RWAMPAD) ou modelo interno autorizado pelo Banco Central do Brasil (RWAMINT) do montante RWA, de que trata a Resolução nº 4.193, de 2013; (Nota: Incluído, a partir de 01.01.2018, pela Circular nº 3.849, de 18.09.2017)
VI - as operações com instrumentos financeiros derivativos realizadas em mercado de balcão em que a instituição atue exclusivamente como intermediária, não assumindo direitos ou obrigações decorrentes da oscilação do valor de reposição ou do inadimplemento de qualquer das partes; (Nota: Incluído, a partir de 01.01.2018, pela Circular nº 3.849, de 18.09.2017)
VII - os cheques, boletos, documentos de crédito (DOCs) e outros instrumentos de pagamento a serem creditados em contas de clientes, quando a liberação dos respectivos recursos estiver vinculada à efetiva compensação, nos termos da regulamentação em vigor; (Nota: Redação dada, a partir de 01.01.2019, pela Circular nº 3.921, de 05.12.2018)
VIII - as operações ativas vinculadas, realizadas segundo o disposto na Resolução nº 2.921, de 17 de janeiro de 2002; (Nota: Incluído, a partir de 01.01.2018, pela Circular nº 3.849, de 18.09.2017)
IX - a carta de crédito de importação emitida pela instituição, vinculada a contrato de câmbio de importação, desde que ocorrida a entrega total do contravalor em moeda nacional; (Nota: Redação dada pela Circular nº 4.006, de 22.04.2020)
X - as operações de crédito com órgãos e entidades do setor público referentes ao destaque de parcela do PR, nos termos do art. 2º da Resolução nº 4.589, de 29 de junho de 2017; (Nota: Redação dada pela Resolução BCB nº 17, de 17.09.2020)
XI - a parcela das operações de crédito abrangidas pelo Programa Emergencial de Suporte a Empregos, instituído pela Lei nº 14.043, de 19 de agosto de 2020, custeada com recursos da União; e (Nota: Redação dada pela Resolução BCB nº 17, de 17.09.2020)
XII - a parcela das operações de crédito realizadas no âmbito do Programa Emergencial de Acesso a Crédito na modalidade de garantia de recebíveis (Peac-Maquininhas), instituído pela Lei nº 14.042, de 19 de agosto de 2020, a ser reembolsada à União. (Nota: Incluído pela Resolução BCB nº 17, de 17.09.2020)
§ 3º Para a apuração do valor da exposição relativa à aplicação em cotas de fundos de investimento especialmente constituídos (FIE) vinculados a planos de previdência complementar aberta do tipo Vida Gerador de Benefício Livre (VGBL) ou Plano Gerador de Benefício Livre (PGBL), devem ser deduzidos os valores das provisões matemáticas de benefícios a conceder dos respectivos planos.
§ 4º A marcação a mercado, quando prevista para fins da apuração da parcela RWACPAD, deve ser realizada de forma consistente e passível de verificação, ainda que não adotada para fins contábeis. (Nota: Incluído, a partir de 01.01.2018, pela Circular nº 3.849, de 18.09.2017)
§ 5º Nas operações mencionadas nos incisos IX e X do caput, devem ser consideradas as exposições referentes às contrapartes envolvidas, quando a instituição atue:
I - como membro de compensação; ou
II - por meio de instituição não integrante do conglomerado prudencial que seja:
a) membro de compensação; ou
b) intermediária em relação a um membro de compensação.
(Nota: Parágrafo 5º, incluído, a partir de 01.01.2018, pela Circular nº 3.849, de 18.09.2017)
§ 6º O ativo de que trata o inciso VI do caput inclui aquele disponibilizado por cliente, caso a instituição assuma obrigação contratual de reembolsá-lo por quaisquer perdas em suas transações em decorrência de inadimplemento da contraparte central qualificada (QCCP), conforme definida no art. 20. (Nota: Incluído, a partir de 01.01.2018, pela Circular nº 3.849, de 18.09.2017)
§ 7º Para o ativo disponibilizado como garantia, de que trata o inciso VI do caput, devem ser consideradas:
I - a exposição relativa ao risco de crédito de contraparte, salvo quando o ativo estiver:
a) apartado do patrimônio da entidade depositária e do patrimônio da contraparte central; e
b) identificado no nome do titular da operação; e
II - a exposição relativa ao ativo objeto, no caso de ativos próprios.
(Nota: Parágrafo 7º incluído, a partir de 01.01.2018, pela Circular nº 3.849, de 18.09.2017)
§ 8º A aplicação do Fator de Conversão em Crédito de Operação a Liquidar (FCL) ou do Fator de Conversão em Crédito (FCC), quando necessária para apuração do valor da exposição, deve ocorrer previamente às deduções mencionadas no § 1º. (Nota: Incluído, a partir de 01.01.2018, pela Circular nº 3.849, de 18.09.2017)
§ 9º O valor da exposição após as deduções mencionadas no § 1º deve ser igual ou superior a zero. (Nota: Incluído, a partir de 01.01.2018, pela Circular nº 3.849, de 18.09.2017)
§ 10. A classificação externa de risco, quando prevista para fins da apuração da parcela RWACPAD, deve ser:
I - a de maior grau de risco, se houver mais de uma disponível;
II - a da emissão, para títulos e valores mobiliários, se disponível.
(Nota: Parágrafo 10 incluído, a partir de 01.01.2019, pela Circular nº 3.921, de 05.12.2018)
CAPÍTULO III
DOS VALORES DAS EXPOSIÇÕES
Seção I
Dos Itens Patrimoniais
Art. 4º O valor da exposição relativa à aplicação de recursos financeiros em bens e direitos e ao gasto ou à despesa registrados no ativo, de que trata o art. 3º, inciso I, deve ser determinado segundo os critérios estabelecidos no Plano Contábil das Instituições do Sistema Financeiro Nacional (Cosif).
Seção II
Das Operações a Liquidar com Liquidação Pronta ou à Vista
Art. 5º Nas operações a liquidar de compra ou venda de moeda estrangeira e de ouro com liquidação pronta ou de títulos e valores mobiliários no mercado à vista, o cálculo da parcela RWACPAD deve considerar:
I - a exposição relativa ao risco de crédito da contraparte, no caso de operação de venda; e
II - a exposição relativa ao ativo objeto da operação e a exposição relativa ao risco de crédito da contraparte, no caso de operação de compra.
§ 1º O valor da exposição relativa ao ativo objeto deve corresponder ao valor contábil do ativo.
§ 2º O valor da exposição relativa ao risco de crédito da contraparte deve ser determinado mediante a multiplicação do valor da operação pelo Fator de Conversão em Crédito de Operações a Liquidar (FCL), observado que, na hipótese de a operação ter como referencial:
I - taxa de juros ou índice de preços, o FCL é de 0,5% (cinco décimos por cento);
II - taxa de câmbio ou ouro, o FCL é de 1% (um por cento);
III - preço ou índice de ações, o FCL é de 6% (seis por cento); e
IV - outros que não os referidos nos incisos I a III, o FCL é de 10% (dez por cento).
§ 3º O ativo objeto ou os recursos financeiros que tenham sido entregues antecipadamente são considerados operações de adiantamento.
Seção III
Do Arrendamento Mercantil
(Nota: Denominação da seção alterada pela Circular nº 3.770, de 29.10.2015)
Art. 6º O valor da exposição relativa à operação de arrendamento mercantil financeiro deve corresponder ao montante do valor presente das contraprestações acrescido do valor residual garantido, apurado conforme estabelecido no Cosif.
Art. 7º Nas operações de arrendamento mercantil operacional, o cálculo da parcela RWACPAD deve considerar a exposição relativa ao ativo objeto da operação e a exposição relativa ao risco de crédito da contraparte. (Nota: Redação dada pela Circular nº 3.770, de 29.10.2015)
§ 1º (Nota: Revogado pela Circular nº 3.770, de 29.10.2015)
§ 2º O valor da exposição relativa ao risco de crédito da contraparte deve corresponder às contraprestações a receber já vencidas. (Nota: Redação dada pela Circular nº 3.770, de 29.10.2015)
§ 3º O valor da exposição relativa ao ativo objeto deve corresponder ao valor contábil do bem arrendado, apurado conforme os critérios estabelecidos no Cosif. (Nota: Redação dada pela Circular nº 3.770, de 29.10.2015)
Seção IV
Das Operações Compromissadas e de Empréstimo de Títulos e Valores Mobiliários
(Nota: Denominação da seção alterada pela Circular nº 3.770, de 29.10.2015)
Art. 8º Nas operações compromissadas e de empréstimo de títulos e valores mobiliários, o cálculo da parcela RWACPAD deve considerar: (Nota: Redação dada pela Circular nº 3.770, de 29.10.2015)
I - a exposição relativa ao risco de crédito da contraparte, no caso das seguintes operações:
a) compra com compromisso de revenda;
b) venda com compromisso de recompra; e
c) empréstimo de títulos e valores mobiliários;
(Nota: Inciso I com redação dada pela Circular nº 3.770, de 29.10.2015)
II - a exposição relativa ao ativo objeto, no caso das seguintes operações realizadas com ativo objeto próprio:
a) venda com compromisso de recompra;
b) empréstimo de títulos e valores mobiliários.
(Nota: Inciso II com redação dada pela Circular nº 3.770, de 29.10.2015)
§ 1º O valor da exposição relativa ao ativo objeto deve corresponder ao valor contábil do ativo.
§ 2º O valor da exposição relativa ao risco de crédito da contraparte deve corresponder ao valor:
I - contábil da revenda, no caso de operação de compra com compromisso de revenda ; ou
II - contábil do ativo objeto da operação, no caso de operação de venda com compromisso de recompra e de empréstimo de títulos e valores mobiliários. (Nota: Redação dada pela Circular nº 3.770, de 29.10.2015)
Seção V
Dos Limites de Crédito
Art. 9º O valor da exposição relativa ao limite de crédito não cancelável incondicional e unilateralmente pela instituição, de que trata o art. 3º, inciso II, deve ser determinado mediante a multiplicação do valor do limite concedido, deduzida eventual parcela já convertida em operação de crédito, pelo respectivo Fator de Conversão em Crédito (FCC).
§ 1º Considera-se limite de crédito não cancelável incondicional e unilateralmente toda operação formalizada, inclusive mediante contrato de adesão, com as seguintes características:
I - a operação consiste em promessa de desembolso de recursos para uma contraparte até um montante especificado;
II - o valor a ser sacado pela contraparte é incerto; e
III – o desembolso de recursos até o montante prometido não pode ser negado de forma unilateral e incondicional pela instituição.
§ 2º O FCC deve corresponder a: (Nota: Numeração do parágrafo corrigida pela Circular nº 3.679, de 31.10.2013)
I - 20% (vinte por cento), para limite de crédito com prazo original de vencimento de até um ano; e
II - 50% (cinqüenta por cento), para limite de crédito com prazo original de vencimento superior a um ano.
Seção VI
Dos Créditos a Liberar
Art. 10. O valor da exposição relativa aos créditos a liberar, de que trata o art. 3º, inciso III, deve corresponder ao somatório das parcelas de operações de crédito a liberar em até 360 dias contados a partir da data de apuração da RWACPAD.
Parágrafo único. Consideram-se créditos a liberar os desembolsos futuros relativos a operações de crédito contratadas, independentemente de serem ou não condicionados ao cumprimento pelo devedor de condições pré-especificadas.
Seção VII
Da Garantia Prestada
Art. 11. O valor da exposição relativa à prestação de aval, fiança, coobrigação ou qualquer outra modalidade de garantia pessoal do cumprimento de obrigação financeira de terceiros, de que trata o art. 3º, inciso IV, deve ser determinado mediante a multiplicação do valor do aval, fiança, coobrigação ou da modalidade de garantia prestada pela instituição, deduzida eventual parcela já honrada, pelos seguintes Fatores de Conversão de Crédito (FCCs): (Nota: Redação dada pela Circular nº 3.714, de 20.08.2014)
I - 20% (vinte por cento), nas operações vinculadas ao comércio internacional de mercadorias, nas quais o embarque de mercadorias esteja associado à garantia de pagamento da operação; (Nota: Redação dada pela Circular nº 3.770, de 29.10.2015)
II - 50% (cinquenta por cento), nas operações relativas à: (Nota: Incluído pela Circular nº 3.714, de 20.08.2014)
a) garantia de proposta em licitações (bid bonds) e de participação em leilões; (Nota: Redação dada pela Circular nº 3.770, de 29.10.2015)
b) garantia de prestação de serviços ou execução de obras (performance bonds), inclusive cláusulas de perfeito funcionamento e de cumprimento de níveis de serviço; (Nota: Redação dada pela Circular nº 3.770, de 29.10.2015)
c) garantia de fornecimento de mercadorias; (Nota: Incluído pela Circular nº 3.770, de 29.10.2015)
d) prestação de garantia de distribuição de títulos e valores mobiliários nos mercados primário e secundário, mediante oferta pública, nos termos da regulamentação em vigor; (Nota: Redação dada, a partir de 01.01.2018, pela Circular nº 3.849, de 18.09.2017)
e) prestação de aval ou fiança em processos de natureza fiscal, judiciais ou administrativos; e (Nota: Redação dada, a partir de 01.01.2018, pela Circular nº 3.849, de 18.09.2017)
III - 100% (cem por cento), nos demais casos. (Nota: Incluído pela Circular nº 3.714, de 20.08.2014)
Parágrafo único. (Nota: Revogado, a partir de 01.01.2018, pela Circular nº 3.849, de 18.09.2017)
§ 1º Na apuração do valor da exposição relativa à prestação de garantia relacionada a operação não contabilizada no Balanço Patrimonial, deve-se aplicar ao valor da garantia o menor dos FCCs aplicáveis à garantia ou à operação garantida. (Nota: Incluído, a partir de 01.01.2018, pela Circular nº 3.849, de 18.09.2017)
§ 2º As modalidades de garantia mencionadas no caput incluem aquelas relacionadas às exposições de crédito a liberar em até 360 dias de que trata o art. 10. (Nota: Incluído, a partir de 01.01.2018, pela Circular nº 3.849, de 18.09.2017)
Art. 11-A. O valor da exposição relativa ao derivativo de crédito utilizado como garantia deve corresponder:
I - ao valor nocional do contrato, para a instituição receptora do risco;
II - a zero, para a instituição transferidora do risco.
Parágrafo único. O FPR aplicável à exposição mencionada no inciso I do caput refere-se à contraparte relativa ao ativo subjacente.
(Nota: Artigo 11-A incluído, a partir de 01.06.2019, pela Circular nº 3.904, de 06.06.2018)
Seção VIII
Dos Derivativos
(Nota: Denominação da seção alterada, a partir de 01.06.2019, pela Circular nº 3.904, de 06.06.2018)
Art. 12. (Nota: Revogado, a partir de 01.06.2019, pela Circular nº 3.904, de 06.06.2018)
Art. 12-A. O valor da exposição ao risco de crédito da contraparte decorrente das transações com instrumentos financeiros derivativos deve ser apurado na forma definida na Circular nº 3.904, de 6 de junho de 2018.
Parágrafo único. O FPR aplicável à exposição mencionada no caput corresponde ao FPR aplicável à contraparte.
(Nota: Artigo 12-A incluído, a partir de 01.06.2019, pela Circular nº 3.904, de 06.06.2018)
Art. 13. (Nota: Revogado, a partir de 01.06.2019, pela Circular nº 3.904, de 06.06.2018)
Seção IX
Dos Derivativos de Crédito
Art. 14. (Nota: Revogado, a partir de 01.06.2019, pela Circular nº 3.904, de 06.06.2018)
Art. 15. (Nota: Revogado, a partir de 01.06.2019, pela Circular nº 3.904, de 06.06.2018)
Seção IX-A
Dos Derivativos Sujeitos a Acordos para Compensação e Liquidação de Obrigações
(Nota: Seção IX-A incluída, a partir de 01.01.2018, pela Circular nº 3.849, de 18.09.2017)
Art. 15-A. (Nota: Revogado, a partir de 01.06.2019, pela Circular nº 3.904, de 06.06.2018)
Art. 15-B. (Nota: Revogado, a partir de 01.06.2019, pela Circular nº 3.904, de 06.06.2018)
Seção X
Dos Adiantamentos
Art. 16. O valor da exposição relativa à concessão de adiantamentos, mencionados no art. 3º, inciso V, deve corresponder ao valor adiantado.
Seção XI
Dos Fundos de Investimento
Art. 17. Para aplicações em cotas de fundos de investimento, as exposições do fundo devem ser consideradas como se fossem detidas pela instituição aplicadora, proporcionalmente à sua participação no patrimônio líquido do fundo.
§ 1º Para identificação das exposições do fundo, devem ser utilizadas as últimas informações disponíveis divulgadas com antecedência de, no máximo, 31 dias da data-base de apuração.
§ 2º É permitida a utilização de informações com antecedência de até noventa dias da data-base de apuração, caso o fundo possua posições ou operações em curso que possam vir a ser prejudicadas pela sua divulgação, na forma definida pela Comissão de Valores Mobiliários.
§ 3º Caso não seja possível a identificação das exposições do fundo, é facultada a utilização dos limites mínimos de investimento previstos em seu regulamento multiplicados pelo ativo do fundo, desde que esses limites permitam a identificação do FPR aplicável.
§ 4º Caso o somatório dos limites mínimos mencionados no § 3º seja inferior a 100% (cem por cento) das exposições do fundo, deve ser aplicado ao percentual remanescente o maior FPR previsto para as exposições permitidas em seu regulamento.
§ 5º Caso o fundo de investimento mantenha instrumentos derivativos em carteira, a apuração do valor da exposição deve ser de acordo com o disposto na Circular nº 3.904, de 6 de junho de 2018. (Nota: Redação dada, a partir de 01.06.2019, pela Circular nº 3.921, de 05.12.2018)
§ 6º Caso seja utilizada a faculdade prevista no § 3º e verificada a impossibilidade de determinar o valor específico para o fator FCL, este deve assumir o valor de 10% (dez por cento). (Nota: Redação dada, a partir de 01.06.2019, pela Circular nº 3.921, de 05.12.2018)
§ 7º Caso seja verificada a impossibilidade de identificação dos ativos integrantes da carteira do fundo de investimento e não utilizada a faculdade prevista no § 3º, o maior FPR previsto nesta Circular deve ser aplicado ao valor das cotas adquiridas.
§ 8º (Nota: Revogado, a partir de 01.01.2018, pela Circular nº 3.849, de 18.09.2017)
§ 9º (Nota: Revogado, a partir de 01.01.2018, pela Circular nº 3.849, de 18.09.2017)
§ 10. Caso seja verificada a impossibilidade de determinar o valor de reposição ou o ganho potencial futuro de instrumentos financeiros derivativos integrante da carteira do fundo de investimento, deve ser observado o seguinte:
I - o valor de reposição e o valor do ganho potencial futuro devem corresponder ao somatório dos valores nocionais dos derivativos associados a cada conjunto de compensação multiplicado, respectivamente, por 100% (cem por cento) e 15% (quinze por cento), no caso do uso da abordagem SA-CCR; ou
II - o valor de reposição deve corresponder ao valor nocional do derivativo e o fator FEPF deve corresponder a 15% (quinze por cento), no caso do uso da abordagem CEM.
(Nota: Parágrafo 10 incluído, a partir de 01.06.2019, pela Circular nº 3.921, de 05.12.2018)
Art. 17-A. As exposições do fundo de investimento consolidado devem ser consideradas como se fossem detidas integralmente pela instituição. (Nota: Incluído, a partir de 01.01.2018, pela Circular nº 3.849, de 18.09.2017)
Seção XII
Dos Títulos de Securitização
Art. 18. Na apuração da parcela RWACPAD devem ser utilizadas as mesmas definições de que trata o art. 115 da Circular nº 3.648, de 4 de março de 2013, para as exposições decorrentes da aplicação em títulos de securitização. (Nota: Redação dada, a partir de 01.01.2018, pela Circular nº 3.849, de 18.09.2017)
§ 1º (Nota: Revogado, a partir de 01.01.2018, pela Circular nº 3.849, de 18.09.2017)
§ 2º (Nota: Revogado, a partir de 01.01.2018, pela Circular nº 3.849, de 18.09.2017)
§ 3º (Nota: Revogado, a partir de 01.01.2018, pela Circular nº 3.849, de 18.09.2017)
Art. 18-A. Às exposições decorrentes da aplicação em títulos de securitização, é aplicado FPR na forma definida na Circular nº 3.848, de 18 de setembro de 2017. (Nota: Incluído, a partir de 01.01.2018, pela Circular nº 3.849, de 18.09.2017)
Art. 18-B. Para os processos de securitização em que a instituição preste apoio implícito, conforme definido na Circular nº 3.648, de 4 de março de 2013, as exposições associadas aos respectivos títulos de securitização devem ser considerados como se fossem detidos integralmente pela instituição. (Nota: Incluído, a partir de 01.01.2018, pela Circular nº 3.849, de 18.09.2017)
TÍTULO III
DOS FATORES DE PONDERAÇÃO DE RISCO
CAPÍTULO I
DA PONDERAÇÃO DE 0%
Art. 19. Deve ser aplicado FPR de 0% (zero por cento) às seguintes exposições:
I - valores mantidos em espécie, em moeda nacional;
II - valores mantidos em espécie, nas moedas estrangeiras emitidas nas jurisdições de que trata o inciso VII, bem como exposições a ativo objeto representado pelas referidas moedas estrangeiras; (Nota: Redação dada, a partir de 01.01.2018, pela Circular nº 3.849, de 18.09.2017)
III - aplicações em ouro ativo financeiro e instrumento cambial, bem como exposições ao ativo objeto representado pelo ouro ativo financeiro e instrumento cambial;
IV - operações com o Tesouro Nacional e com o Banco Central do Brasil, limites de crédito não canceláveis incondicional e unilateralmente pela instituição, concedidos às referidas entidades, bem como títulos por elas emitidos;
V - operações com os seguintes organismos multilaterais e Entidades Multilaterais de Desenvolvimento (EMD), limites de crédito não canceláveis incondicional e unilateralmente pela instituição, concedidos às referidas entidades, bem como as garantias a elas prestadas e títulos e valores mobiliários por elas emitidos:
a) Grupo Banco Mundial, compreendendo o Banco Internacional para Reconstrução e Desenvolvimento (Bird), a Corporação Financeira Internacional (CFI) e a Agência Multilateral de Garantia de Investimentos (MIGA); (Nota: Redação dada, a partir de 01.01.2018, pela Circular nº 3.849, de 18.09.2017)
b) Banco Interamericano de Desenvolvimento (BID);
c) Banco Africano de Desenvolvimento (BAD);
d) Banco para o Desenvolvimento Asiático (BDA);
e) Banco Europeu para Reconstrução e Desenvolvimento (BERD);
f) Banco Europeu de Investimento (BEI);
g) Fundo Europeu de Investimento (FEI);
h) Banco Nórdico de Investimento (BNI);
i) Banco de Desenvolvimento do Caribe (BDC);
j) Banco de Desenvolvimento Islâmico (BDI);
k) Banco de Desenvolvimento do Conselho da Europa (BDCE);
l) Banco para Compensações Internacionais (BCI);
m) Fundo Monetário Internacional (FMI); e
n) Banco Nacional de Desenvolvimento Econômico e Social (BNDES);
VI - adiantamentos de contribuições ao Fundo Garantidor de Crédito (FGC) e ao Fundo Garantidor do Cooperativismo de Crédito (FGCoop); e (Nota: Redação dada, a partir de 01.01.2018, pela Circular nº 3.849, de 18.09.2017)
VII - operações com governos centrais de jurisdições estrangeiras e respectivos bancos centrais, bem como títulos e valores mobiliários por eles emitidos, cuja classificação externa de risco, conferida por agência de classificação de risco de crédito registrada ou reconhecida no Brasil pela Comissão de Valores Mobiliários, seja igual ou superior a AA- ou classificação equivalente. (Nota: Redação dada, a partir de 01.01.2019, pela Circular nº 3.921, de 05.12.2018)
a) (Nota: Revogada, a partir de 01.01.2019, pela Circular nº 3.921, de 05.12.2018)
b) (Nota: Revogada, a partir de 01.01.2019, pela Circular nº 3.921, de 05.12.2018)
Parágrafo único. (Nota: Revogado, a partir de 01.01.2019, pela Circular nº 3.921, de 05.12.2018)
Art. 19-A. Podem receber o FPR aplicado pela autoridade reguladora da jurisdição estrangeira, independentemente da sua classificação externa de risco, as exposições referentes a: (Nota: Redação dada, a partir de 01.04.2020, pela Circular nº 3.976, de 22.01.2020)
I - operações com governos centrais de jurisdições estrangeiras e respectivos bancos centrais, bem como títulos e valores mobiliários por eles emitidos, referenciadas na moeda local da jurisdição; e (Nota: Redação dada, a partir de 01.04.2020, pela Circular nº 3.976, de 22.01.2020)
II - valores mantidos em espécie na moeda local da jurisdição, bem como exposições a ativo objeto representado pela referida moeda. (Nota: Redação dada, a partir de 01.04.2020, pela Circular nº 3.976, de 22.01.2020)
III - (Nota: Revogado, a partir de 01.04.2020, pela Circular nº 3.976, de 22.01.2020)
Parágrafo único. O tratamento previsto no caput apenas pode ser aplicado se cumpridas as seguintes condições: (Nota: Incluído, a partir de 01.04.2020, pela Circular nº 3.976, de 22.01.2020)
I - a captação de recursos da instituição seja realizada na moeda local na jurisdição; e (Nota: Incluído, a partir de 01.04.2020, pela Circular nº 3.976, de 22.01.2020)
II - as exposições estejam registradas no balanço da subsidiária sediada na mesma jurisdição. (Nota: Incluído, a partir de 01.04.2020, pela Circular nº 3.976, de 22.01.2020)
(Nota: Artigo 19-A incluído, a partir de 01.01.2019, pela Circular nº 3.921, de 05.12.2018)
CAPÍTULO II
DA PONDERAÇÃO APLICÁVEL ÀS EXPOSIÇÕES A SEREM LIQUIDADAS JUNTO A CONTRAPARTES CENTRAIS QUALIFICADAS (QCCP)
(Nota: Denominação do Capítulo alterada, a partir de 01.01.2018, pela Circular nº 3.849, de 18.09.2017)
Seção I
Da Definição de QCCP
(Nota: Seção I incluída, a partir de 01.01.2018, pela Circular nº 3.849, de 18.09.2017)
Art. 20. Para fins da apuração da parcela RWACPAD, considera-se contraparte central qualificada (QCCP) a entidade que se interponha como contraparte central, em operações a serem liquidadas em câmaras ou prestadores de serviço de compensação e de liquidação, que atenda às seguintes características: (Nota: Redação dada, a partir de 01.01.2018, pela Circular nº 3.849, de 18.09.2017)
I - seus sistemas sejam autorizados pelo Banco Central do Brasil, nos termos da Lei nº 10.214, de 27 de março de 2001, e regulamentação em vigor; (Nota: Redação dada, a partir de 01.01.2018, pela Circular nº 3.849, de 18.09.2017)
II - esteja sujeita à regulamentação consistente com os princípios estabelecidos pelo Comitê sobre Pagamentos e Infraestruturas do Mercado (CPMI) e pela Organização Internacional de Comissões de Valores Mobiliários (IOSCO); ou (Nota: Redação dada pela Circular nº 3.774, de 01.12.2015)
III - seja reconhecida como qualificada pelo Banco Central do Brasil, nos termos da Circular nº 3.772, de 1º de dezembro de 2015. (Nota: Incluído pela Circular nº 3.774, de 01.12.2015)
§ 1º Cabe à instituição documentar o atendimento do disposto no inciso II do caput. (Nota: Renumerado pela Circular nº 3.774, de 01.12.2015)
§ 2º O tratamento previsto para as entidades mencionadas no inciso II do caput não se aplica:
I - às contrapartes centrais cujo reconhecimento como qualificadas já houver sido negado pelo Banco Central do Brasil, nos termos do art. 3º da Circular nº 3.772, de 2015; e
II - às demais contrapartes centrais sediadas na jurisdição em que se encontram constituídas ou autorizadas a exercer suas atividades as entidades de que trata o inciso I deste parágrafo.
(Nota: Parágrafo 2º incluído pela Circular nº 3.774, de 01.12.2015)
Seção II
Da Participação em Fundos de Garantia Mutualizados de QCCP
(Nota: Seção II incluída, a partir de 01.01.2018, pela Circular nº 3.849, de 18.09.2017)
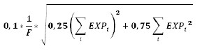
Art. 20-A. Para a participação nos fundos de QCCP mencionados no art. 3º, inciso VII, o valor da parcela RWACPAD referente a essa exposição (ParcDF) deve ser calculado de acordo com a seguinte fórmula:
em que:
I – KQCCP = capital regulatório hipotético da QCCP, conforme disposto no parágrafo único;
II - DFpróprio= valor da participação da instituição no fundo;
III - DFQCCP= valor da participação da QCCP no fundo; e
IV - DFCM = valor total do fundo, deduzido o valor da participação mencionada no inciso III.
Parágrafo único. O KQCCP, informado pela contraparte central, é calculado de acordo com a seguinte fórmula:
KQCCP = ∑i EADi X 20% X 8%, em que EADi, refere-se a exposição a que a contraparte central está sujeita em decorrência das operações a serem liquidadas junto ao membro de compensação “i”.
(Nota: Artigo 20-A incluído, a partir de 01.01.2018, pela Circular nº 3.849, de 18.09.2017)
Seção III
Das Operações com QCCP
(Nota: Seção III incluída, a partir de 01.01.2018, pela Circular nº 3.849, de 18.09.2017)
Subseção I
Das Operações de Titularidade Própria
Art. 20-B. Deve ser aplicado FPR de 2% (dois por cento) às exposições decorrentes de operações de titularidade própria, de que trata o art. 3º, incisos I e VIII, realizadas diretamente com uma QCCP, a serem liquidadas nos sistemas mencionados no art. 20.
(Nota: Artigo 20-B incluído, a partir de 01.01.2018, pela Circular nº 3.849, de 18.09.2017)
Art. 20-C. Devem ser aplicados os seguintes FPRs às exposições decorrentes de operações de titularidade própria, de que trata o art. 3º, incisos I e VIII, realizadas com uma QCCP por meio de instituição financeira não integrante do conglomerado prudencial:
I - 2% (dois por cento), se atendidos cumulativamente os seguintes requisitos:
a) a operação está registrada na QCCP:
1. em nome do titular da operação; ou
2. em nome do membro de compensação, de forma segregada das operações próprias, no caso de múltiplos clientes em uma única operação;
b) os termos do contrato firmado entre as partes possibilitam a adoção das medidas e dos procedimentos necessários para a tempestiva liquidação ou transferência dos ativos, incluindo eventuais garantias prestadas, na ocorrência de liquidação, falência ou inadimplemento de qualquer entidade integrante da cadeia de responsabilidades entre o titular da operação e a QCCP;
c) o titular da operação está protegido de quaisquer perdas decorrentes de liquidação, falência ou inadimplemento:
1. de qualquer entidade integrante da cadeia de responsabilidades entre ele e a QCCP; e
2. dos demais clientes, no caso de múltiplos clientes em uma única operação; e
d) o contrato firmado entre as partes tem força jurídica em todos os foros relevantes, inclusive em outras jurisdições nas quais deva ou possa produzir efeitos;
II - 4% (quatro por cento), se atendidos os requisitos de que tratam as alíneas “a”, “b” e “d” do inciso I; ou
III - FPR de que trata o art. 23, atendidas as disposições dos seus incisos I e II, nos demais casos.
(Nota: Artigo 20-C incluído, a partir de 01.01.2018, pela Circular nº 3.849, de 18.09.2017)
Subseção II
Das Operações Realizadas em Nome de Clientes
Art. 20-D. Devem ser aplicados os seguintes FPRs às operações de que trata o art. 3º, inciso IX:
I - 2% (dois por cento), caso a instituição atue como membro de compensação; ou
II - os estabelecidos no art. 20-C, atendidos os respectivos requisitos, quando efetuadas por meio de instituição não integrante do conglomerado prudencial.
Parágrafo único. Para fins do disposto no inciso II do caput, considera-se como titular da operação o cliente contratante junto à instituição.
(Nota: Artigo 20-D incluído, a partir de 01.01.2018, pela Circular nº 3.849, de 18.09.2017)
Art. 20-E. Deve ser aplicado às operações de que trata o art. 3º, inciso X, o disposto nos arts. 19, 21, 23, 24-A e 25. (Nota: Redação dada, a partir de 01.01.2019, pela Circular nº 3.921, de 05.12.2018)
Seção IV
Dos Ativos Disponibilizados como Garantia a QCCP, Não Apartados ou Não Identificados
(Nota: Seção IV incluída, a partir de 01.01.2018, pela Circular nº 3.849, de 18.09.2017)
Art. 20-F. Deve ser aplicado FPR de 2% (dois por cento) à exposição associada aos ativos disponibilizados como garantia a QCCP, de que trata o art. 3º, § 7º, inciso I, caso a instituição atue como membro de compensação.
(Nota: Artigo 20-F incluído, a partir de 01.01.2018, pela Circular nº 3.849, de 18.09.2017)
Art. 20-G. Devem ser aplicados os seguintes FPRs à exposição associada aos ativos disponibilizados como garantia a QCCP, de que trata o art. 3º, § 7º, inciso I, por meio de instituição não integrante do conglomerado prudencial:
I - 2% (dois por cento), se atendidos os seguintes requisitos:
a) o ativo disponibilizado como garantia está identificado:
1. na QCCP como disponibilizado pelo titular da operação; ou
2. de forma segregada das operações próprias das entidades integrantes da cadeia de responsabilidades entre os múltiplos clientes e a QCCP, no caso de múltiplos clientes em uma única operação;
b) os termos do contrato firmado entre as partes possibilitam a adoção das medidas e procedimentos necessários para a tempestiva liquidação ou transferência dos ativos transacionados, incluindo eventuais garantias prestadas, na ocorrência de liquidação, falência ou inadimplemento de qualquer entidade integrante da cadeia de responsabilidades entre o titular da operação e a QCCP;
c) o titular da operação está protegido de quaisquer perdas em decorrência da liquidação, falência ou inadimplemento:
1. de qualquer entidade integrante da cadeia de responsabilidades entre o titular da operação e a QCCP; e
2. dos demais clientes, no caso de múltiplos clientes em uma única operação; e
d) o contrato firmado entre as partes tem força jurídica em todos os foros relevantes, inclusive em outras jurisdições nas quais deva ou possa produzir efeitos;
II - 4% (quatro por cento), se atendidos os requisitos “a”, “b” e “d” mencionados no inciso I; ou
III - 50% (cinquenta por cento), nos demais casos.
(Nota: Artigo 20-G incluído, a partir de 01.01.2018, pela Circular nº 3.849, de 18.09.2017)
Art. 20-H. Deve ser aplicado o FPR correspondente à contraparte, de acordo com o disposto nos arts. 19, 23, 24-A e 25, à exposição associada aos ativos disponibilizados como garantia em entidade depositária, de que trata o art. 3º, § 7º, inciso I. (Nota: Redação dada, a partir de 01.01.2019, pela Circular nº 3.921, de 05.12.2018)
CAPÍTULO III
DA PONDERAÇÃO DE 20%
Art. 21. Deve ser aplicado FPR de 20% (vinte por cento) às seguintes exposições:
I - depósitos bancários à vista, em moeda nacional;
II - depósitos bancários à vista, em moeda estrangeira emitida em jurisdição cujo ente soberano tenha classificação externa de risco, conferida por agência de classificação de risco de crédito registrada ou reconhecida no Brasil pela Comissão de Valores Mobiliários, equivalente a grau de investimento; (Nota: Redação dada, a partir de 01.04.2020, pela Circular nº 3.976, de 22.01.2020)
III - direitos resultantes da novação das dívidas do Fundo de Compensação de Variações Salariais (FCVS), de que trata a Lei nº 10.150, de 21 de dezembro de 2000;
IV - operações com prazo de vencimento original de até três meses, em moeda nacional, realizadas com instituições financeiras e demais instituições autorizadas a funcionar pelo Banco Central do Brasil, com as quais não sejam elaboradas demonstrações contábeis em bases consolidadas, desde que não estejam submetidas a regime especial; (Nota: Redação dada, a partir de 01.01.2018, pela Circular nº 3.849, de 18.09.2017)
V - títulos e valores mobiliários emitidos pelas instituições mencionadas no inciso IV, com prazo de vencimento original de até três meses; (Nota: Redação dada, a partir de 01.01.2018, pela Circular nº 3.849, de 18.09.2017)
VI - operações de crédito com prazo de vencimento original de até três meses, em moeda nacional, realizadas com câmaras ou prestadores de serviços de compensação e de liquidação, de que trata a Lei nº 10.214, de 2001, considerados sistemicamente importantes nos termos da regulamentação em vigor; (Nota: Redação dada, a partir de 01.01.2018, pela Circular nº 3.849, de 18.09.2017)
VII - operações de crédito com prazo de vencimento original de até três meses, realizadas com câmaras ou prestadores de serviços de compensação e de liquidação sediadas no exterior e sujeitas a regulação compatível com os princípios estabelecidos pelo CPMI e pela IOSCO e contratadas em: (Nota: Redação dada, a partir de 01.01.2018, pela Circular nº 3.849, de 18.09.2017)
a) moeda nacional; ou (Nota: Redação dada pela Circular nº 3.774, de 01.12.2015)
b) moeda local, nas jurisdições com a característica mencionada no inciso II; (Nota: Redação dada, a partir de 01.01.2018, pela Circular nº 3.849, de 18.09.2017)
VIII - direitos representativos de operações realizadas por cooperativas singulares, cooperativas centrais, confederações e bancos cooperativos que tenham como contraparte instituição integrante do mesmo sistema cooperativo; (Nota: Redação dada pela Circular nº 3.730, de 18/11/2014)
IX - (Nota: Revogado pela Circular nº 3.714, de 20.08.2014)
X - operações com prazo de vencimento original de até três meses realizadas com instituições financeiras sediadas nas jurisdições com a característica mencionada no inciso II, com as quais não sejam elaboradas demonstrações contábeis em bases consolidadas, desde que não estejam submetidas a regime especial ou similar no exterior, e contratadas em: (Nota: Redação dada, a partir de 01.01.2018, pela Circular nº 3.849, de 18.09.2017)
a) moeda nacional; ou (Nota: Redação dada pela Circular nº 3.714, de 20.08.2014)
b) moeda local, nas jurisdições com a característica mencionada no inciso II; (Nota: Redação dada, a partir de 01.01.2019, pela Circular nº 3.921, de 05.12.2018)
XI - títulos e valores mobiliários emitidos pelas instituições mencionadas no inciso X, com prazo de vencimento original de até três meses, denominados em moeda nacional ou em moeda local; (Nota: Redação dada, a partir de 01.04.2020, pela Circular nº 3.976, de 22.01.2020)
XII - operações com governos centrais de jurisdições estrangeiras e respectivos bancos centrais, bem como títulos e valores mobiliários por eles emitidos, cuja classificação externa de risco, conferida por agência de classificação de risco de crédito registrada ou reconhecida no Brasil pela Comissão de Valores Mobiliários, seja igual ou superior a A- e inferior a AA- ou classificação equivalente; (Nota: Redação dada, a partir de 01.04.2020, pela Circular nº 3.976, de 22.01.2020)
XIII - valores mantidos em espécie nas moedas estrangeiras emitidas nas jurisdições de que trata o inciso XII, bem como exposições a ativo objeto representado pelas referidas moedas; e (Nota: Incluído, a partir de 01.04.2020, pela Circular nº 3.976, de 22.01.2020)
XIV - operações com o Novo Banco de Desenvolvimento (NBD), limites de crédito não canceláveis incondicional e unilateralmente pela instituição, concedidos à referida EMD, bem como as garantias a ela prestadas e títulos e valores mobiliários por ela emitidos. (Nota: Incluído, a partir de 01.04.2020, pela Circular nº 3.976, de 22.01.2020)
Parágrafo único. As disposições do inciso VIII não se aplicam às participações societárias entre as instituições nele referidas.
CAPÍTULO IV
DA PONDERAÇÃO DE 35%
Art. 22. Deve ser aplicado FPR de 35% (trinta e cinco por cento) às seguintes exposições: (Nota: Redação dada pela Circular nº 3.948, de 25.06.2019)
I - financiamentos para aquisição de imóvel residencial, novo ou usado, cujo valor do saldo devedor seja de até 80% (oitenta por cento) do valor de avaliação da garantia na data da concessão do crédito, quando a operação for garantida por:
a) alienação fiduciária do imóvel financiado, se localizado no Brasil; ou
b) hipoteca em primeiro grau, se o imóvel estiver localizado em jurisdição com a característica mencionada no art. 21, inciso II, desde que o prazo médio efetivo de retomada da garantia, de acordo com a prática observada na jurisdição, seja inferior a 24 meses;
(Nota: Inciso I com redação dada pela Circular nº 3.948, de 25.06.2019)
II - empréstimos concedidos a pessoal natural garantidos por imóvel residencial, novo ou usado, cujo valor do saldo devedor seja de até 50% (cinquenta por cento) do valor de avaliação da garantia na data da concessão do crédito, quando a operação for garantida por:
a) alienação fiduciária do imóvel, se localizado no Brasil; ou
b) hipoteca em primeiro grau, se o imóvel estiver localizado em jurisdição com a característica mencionada no art. 21, inciso II, desde que o prazo médio efetivo de retomada da garantia, de acordo com a prática observada na jurisdição, seja inferior a 24 meses.
(Nota: Inciso II com redação dada pela Circular nº 3.948, de 25.06.2019)
§ 1º (Nota: Revogado pela Circular nº 3.834, de 26.05.2017)
§ 2º (Nota: Revogado pela Circular nº 3.834, de 26.05.2017)
§ 3º As informações necessárias para a verificação dos prazos efetivos de retomada das garantias deverão ser mantidas à disposição do Banco Central do Brasil. (Nota: Incluído pela Circular nº 3.770, de 29.10.2015)
§ 4º (Nota: Revogado pela Circular nº 3.834, de 26.05.2017)
§ 5º Para as operações contratadas até 31 de maio de 2017, a instituição pode manter o FPR aplicado anteriormente à mencionada data enquanto perdurar a respectiva exposição. (Nota: Incluído pela Circular nº 3.834, de 26.05.2017)
§ 6º No caso de múltiplas exposições garantidas pelo mesmo imóvel, o valor do saldo devedor deve considerar a soma dos respectivos valores devidos. (Nota: Incluído pela Circular nº 3.948, de 25.06.2019)
CAPÍTULO V
DAS PONDERAÇÕES DE 50%, 60% E 70%
(Nota: Denominação do Capítulo V alterada pela Circular nº 3.949, de 25.06.2019)
Art. 23. Deve ser aplicado FPR de 50% (cinquenta por cento) às seguintes exposições:
I - operações com instituições financeiras e demais instituições autorizadas a funcionar pelo Banco Central do Brasil, com as quais não sejam elaboradas demonstrações contábeis em bases consolidadas, desde que não estejam submetidas a regime especial, bem como títulos e valores mobiliários por elas emitidos; (Nota: Redação dada, a partir de 01.12.2013, pela Circular nº 3.679, de 31.10.2013)
II - operações com instituições financeiras sediadas nas jurisdições com a característica mencionada no art. 21, inciso II, com as quais não sejam elaboradas demonstrações contábeis em bases consolidadas, desde que não estejam submetidas a regime especial ou similar no exterior, bem como títulos e valores mobiliários por elas emitidos; (Nota: Redação dada, a partir de 01.01.2018, pela Circular nº 3.849, de 18.09.2017)
III - operações de crédito realizadas com câmaras ou prestadores de serviços de compensação e de liquidação, de que trata a Lei nº 10.214, de 2001, considerados sistemicamente importantes nos termos da regulamentação em vigor; (Nota: Redação dada, a partir de 01.12.2013, pela Circular nº 3.679, de 31.10.2013)
IV - operações de crédito realizadas com entidades que operam infraestruturas do mercado financeiro sediadas no exterior e sujeitas à regulamentação consistente com os princípios estabelecidos pelo CPMI e pela IOSCO; (Nota: Redação dada pela Circular nº 3.774, de 01.12.2015)
V - (Nota: Revogado pela Circular nº 3.948, de 25.06.2019)
VI - financiamentos para aquisição de imóvel residencial, novo ou usado, garantidos por hipoteca, em primeiro grau, de imóvel residencial, novo ou usado, cujo valor do saldo devedor for de até 80% (oitenta por cento) do valor de avaliação da garantia, na data da concessão do crédito; (Nota: Redação dada pela Circular nº 3.834, de 26.05.2017)
VII - financiamentos para a construção de imóveis, garantidos por alienação fiduciária ou por hipoteca, em primeiro grau, desde que adotado o instituto do patrimônio de afetação, de que trata a Lei nº 10.931, de 2 de agosto de 2004; (Nota: Redação dada, a partir de 01.04.2020, pela Circular nº 3.976, de 22.01.2020)
VIII - exposições de crédito ao FGC e ao FGCoop; (Nota: Redação dada, a partir de 01.01.2019, pela Circular nº 3.921, de 05.12.2018)
IX - (Nota: Revogado pela Circular nº 3.948, de 25.06.2019)
X - operações com governos centrais de jurisdições estrangeiras e respectivos bancos centrais, bem como títulos e valores mobiliários por eles emitidos, cuja classificação externa de risco, conferida por agência de classificação de risco de crédito registrada ou reconhecida no Brasil pela Comissão de Valores Mobiliários, seja igual ou superior a BBB- e inferior a A- ou classificação equivalente; (Nota: Redação dada pela Circular nº 4.024, de 03.06.2020)
XI - valores mantidos em espécie nas moedas estrangeiras emitidas nas jurisdições de que trata o inciso X, bem como exposições a ativo objeto representado pelas referidas moedas; e (Nota: Redação dada pela Circular nº 4.024, de 03.06.2020)
XII - operações de crédito a serem amortizadas com base nos recursos da Conta de Desenvolvimento Energético (CDE), conforme previsto no art. 13, incisos XIII-A e XVII, da Lei nº 10.438, de 26 de abril de 2002, desde que atendidas, cumulativamente, as seguintes condições: (Nota: Redação dada pela Resolução BCB nº 187, de 23.02.2022).
a) as operações de crédito devem estar em conformidade com as disposições previstas na regulação da Agência Nacional de Energia Elétrica e no Decreto nº 10.350, de 18 de maio de 2020, ou no Decreto nº 10.939, de 13 de janeiro de 2022, conforme aplicável; (Nota: Redação dada pela Resolução BCB nº 187, de 23.02.2022).
b) os direitos creditórios devidos pela CDE à Conta-covid ou à Conta Escassez Hídrica devem ser cedidos fiduciariamente ou empenhados em favor da instituição credora; e (Nota: Redação dada pela Resolução BCB nº 187, de 23.02.2022).
c) as quotas da CDE, específicas para a amortização das operações de crédito, devem ser majoradas para a constituição de reserva de liquidez equivalente a no mínimo 10% (dez por cento) da soma do principal, encargos financeiros e demais custos administrativos relacionados à operação. (Nota: Redação dada pela Resolução BCB nº 187, de 23.02.2022).
Art. 23-A. Deve ser aplicado FPR de 60% (sessenta por cento) às exposições garantidas por imóvel rural ou urbano não residencial quando: (Nota: Redação dada, a partir de 01.04.2020, pela Circular nº 3.976, de 22.01.2020)
I - o valor do saldo devedor for de até 60% (sessenta por cento) do valor de avaliação da garantia na data da concessão do crédito;
II - a garantia for constituída por meio de alienação fiduciária ou hipoteca em primeiro grau; e
III - a geração de fluxo de caixa pelo imóvel não for materialmente determinante para o cumprimento da obrigação financeira.
Parágrafo único. No caso de múltiplas exposições garantidas pelo mesmo imóvel, o inciso I do caput deve considerar a soma dos saldos devedores.
(Nota: Artigo 23-A incluído pela Circular nº 3.949, de 25.06.2019)
Art. 23-B. Deve ser aplicado FPR de 70% (setenta por cento) às exposições mencionadas no art. 23-A que não atendam ao disposto em seu inciso III. (Nota: Incluído pela Circular nº 3.949, de 25.06.2019)
CAPÍTULO VI
DAS PONDERAÇÕES DE 75% E 85%
(Nota:Denominação do Capítulo VI alterada, a partir de 01.12.2013, pela Circular nº 3.679, de 31.10.2013)
Art. 24. Deve ser aplicado FPR de 75% (setenta e cinco por cento) às exposições de varejo. (Nota: Redação dada, a partir de 01.12.2013, pela Circular nº 3.679, de 31.10.2013)
§ 1º Consideram-se de varejo, para fins do disposto nesta Circular, as operações que tenham as seguintes características, cumulativamente:
I - tenham como contraparte pessoa jurídica de direito privado com receita bruta anual inferior a R$15.000.000,00 (quinze milhões de reais) ou pessoa natural; (Nota: Redação dada, a partir de 01.01.2018, pela Circular nº 3.849, de 18.09.2017)
II - assumam a forma de instrumento financeiro destinado às contrapartes citadas no inciso I; (Nota: Redação dada, a partir de 01.01.2019, pela Circular nº 3.921, de 05.12.2018)
III - apresentem somatório das exposições correntes com uma mesma contraparte inferior a 0,2% (dois décimos por cento) do montante das exposições de varejo; e
IV - apresentem somatório das exposições correntes com uma mesma contraparte inferior a R$3.000.000,00 (três milhões de reais). (Nota: Redação dada, a partir de 01.04.2020, pela Circular nº 3.976, de 22.01.2020)
a) (Revogada, a partir de 01.04.2020, pela Circular nº 3.976, de 22.01.2020)
b) (Revogada, a partir de 01.04.2020, pela Circular nº 3.976, de 22.01.2020)
§ 2º Devem ser consideradas como única contraparte, para fins do disposto no § 1º, a pessoa natural ou jurídica ou as contrapartes conectadas na forma definida na Resolução nº 4.557, de 23 de fevereiro de 2017, desde que os somatórios de que trata o § 1º, inciso IV, sejam atendidos individual e conjuntamente. (Nota: Redação dada, a partir de 01.01.2018, pela Circular nº 3.849, de 18.09.2017)
I - (Nota: Revogado, a partir de 01.01.2018, pela Circular nº 3.849, de 18.09.2017)
II - (Nota: Revogado, a partir de 01.01.2018, pela Circular nº 3.849, de 18.09.2017)
§ 3º Não deve ser aplicado o disposto no caput às exposições:
I - em operações compromissadas, de empréstimo de ativos ou outras relacionadas com títulos e valores mobiliários ou com instrumentos financeiros derivativos; e
II - para as quais haja FPR específico estabelecido.
(Nota: Parágrafo 3º com redação dada, a partir de 01.01.2019, pela Circular nº 3.921, de 05.12.2018)
§ 4º Para fins de verificação dos limites de que trata o § 1º, incisos III e IV:
I - deve ser considerado o valor de todas as operações com a mesma contraparte sem a aplicação de FCC e sem a dedução das respectivas provisões; e
II - devem ser desconsiderados os valores de financiamentos para aquisição de imóvel residencial, novo ou usado, garantidos por alienação fiduciária ou hipoteca do imóvel financiado que recebam FPR de 35% (trinta e cinco por cento) ou de 50% (cinquenta por cento). (Nota: Redação dada, a partir de 01.01.2018, pela Circular nº 3.849, de 18.09.2017)
§ 5º As contrapartes conectadas, mencionadas no § 2º, contendo uma ou mais pessoas jurídicas devem observar o limite disposto no § 1º, inciso IV, alínea “b”. (Nota: Incluído, a partir de 01.01.2018, pela Circular nº 3.849, de 18.09.2017)
Art. 24-A. Deve ser aplicado FPR de 85% (oitenta e cinco por cento) às exposições decorrentes de operações com contraparte pessoa jurídica de direito privado que apresente, cumulativamente: (Nota: Redação dada pela Circular nº 3.949, de 25.06.2019)
I - demonstrações contábeis, relativas ao exercício social mais recente disponível, auditadas por auditor independente registrado na Comissão de Valores Mobiliários ou em autoridade equivalente no exterior; (Nota: Redação dada, a partir de 01.03.2019, pela Circular nº 3.921, de 05.12.2018)
II - ativo total superior a R$240.000.000,00 (duzentos e quarenta milhões de reais) ou receita bruta anual superior a R$300.000.000,00 (trezentos milhões de reais) no exercício social mais recente disponível; (Nota: Redação dada, a partir de 01.03.2019, pela Circular nº 3.921, de 05.12.2018)
III - nenhuma exposição caracterizada como ativo problemático na instituição, nos termos do art. 24 da Resolução nº 4.557, de 2017; e (Nota: Incluído, a partir de 01.03.2019, pela Circular nº 3.921, de 05.12.2018)
IV - índice de descumprimento (ID) no SCR inferior ou igual a 0,05% (cinco centésimos por cento), aferido de acordo com a seguinte fórmula:
, em que:
a) CV>14 = créditos vencidos na carteira ativa há mais de 14 dias;
b) CB48 = créditos baixados como prejuízo até 48 meses; e
c) CA = carteira ativa.
(Nota: Inciso IV incluído, a partir de 01.03.2019, pela Circular nº 3.921, de 05.12.2018)
§ 1º Os somatórios mencionados na fórmula do inciso IV do caput contemplam as informações disponíveis no Sistema de Informações de Crédito do Banco Central (SCR) relativas aos 6 (seis) meses imediatamente anteriores ao mês de apuração do RWACPAD. (Nota: Incluído, a partir de 01.03.2019, pela Circular nº 3.921, de 05.12.2018)
§ 2º Para fins do disposto no caput, devem ser consideradas como única contraparte as pessoas jurídicas que compartilhem o risco de crédito perante a instituição por meio de relação de controle, nos termos do art. 22, § 2º, da Resolução nº 4.557, de 2017. (Nota: Incluído, a partir de 01.03.2019, pela Circular nº 3.921, de 05.12.2018)
Art. 24-B. Deve ser aplicado FPR de 85% (oitenta e cinco por cento) à exposição relativa a financiamento rural formalizado com base na legislação e regulamentação aplicável ao crédito rural com contraparte pessoa jurídica de direito privado que não se enquadre nos critérios estabelecidos no art. 24 e no inciso II do art. 24-A. (Nota: Incluído pela Circular nº 3.949, de 25.06.2019)
Art. 24-C. Deve ser aplicado FPR de 85% (oitenta e cinco por cento) à operação de crédito que, cumulativamente:
I - não se enquadre no art. 24;
II - tenha como contraparte pessoa jurídica de direito privado não financeira não enquadrada no inciso II do art. 24-A; e
III - seja contratada ou reestruturada, nos termos da Resolução nº 4.557, de 2017, no período de 16 de março de 2020 a 31 de dezembro de 2020.
Parágrafo único. O disposto no caput não se aplica às exposições para as quais haja FPR específico inferior a 85% (oitenta e cinco por cento).
(Nota: Artigo 24-C incluído pela Circular nº 3.998, de 09.04.2020)
CAPÍTULO VII
DA PONDERAÇÃO DE 100%
Art. 25. Deve ser aplicado FPR de 100% (cem por cento): (Nota: Redação dada, a partir de 01.04.2020, pela Circular nº 3.976, de 22.01.2020.)
I - aos investimentos em instrumentos elegíveis a Capital Complementar e de Nível II não deduzidos no cálculo do PR; (Nota: Redação dada pela Resolução BCB nº 12, de 25.08.2020.)
II - às exposições para as quais não haja FPR específico estabelecido; (Nota: Redação dada pela Resolução BCB nº 12, de 25.08.2020.)
III - aos créditos tributários decorrentes de diferenças temporárias que podem gerar crédito presumido: (Nota: Redação dada pela Resolução BCB nº 121, de 29.07.2021.)
a) no âmbito do Programa de Capital de Giro para Preservação de Empresas (CGPE), objeto da Medida Provisória nº 992, de 16 de julho de 2020; e (Nota: Incluído pela Resolução BCB nº 121, de 29.07.2021.)
b) no âmbito do Programa de Estímulo ao Crédito (PEC), objeto da Medida Provisória nº 1.057, de 6 de julho de 2021; e (Nota: Incluído pela Resolução BCB nº 121, de 29.07.2021.)
IV - aos créditos tributários decorrentes de diferenças temporárias que podem gerar crédito presumido conforme as disposições da Lei nº 12.838, de 9 de julho de 2013. (Nota: Incluído pela Resolução BCB nº 12, de 25.08.2020.)
Parágrafo único. Para os fins do disposto no inciso III do caput, o valor considerado deve ser igual ou inferior: (Nota: Redação dada pela Resolução BCB nº 121, de 29.07.2021.)
I - ao valor desembolsado em operações de crédito concedidas no âmbito do CGPE, de que trata a Medida Provisória nº 992, de 2020, para as instituições que não aderiram ao PEC; ou (Nota: Incluído pela Resolução BCB nº 121, de 29.07.2021.)
II - ao saldo contábil bruto das operações de crédito concedidas no âmbito do PEC, de que trata a Medida Provisória nº 1.057, de 2021, e do CGPE, para as instituições que aderiram ao PEC. (Nota: Incluído pela Resolução BCB nº 121, de 29.07.2021.)
CAPÍTULO VIII
DA PONDERAÇÃO DE 150%
Art. 26. (Nota: Revogado pela Circular nº 3.714, de 20.08.2014)
Art. 26-A. Deve ser aplicado FPR de 150% (cento e cinquenta por cento) às seguintes exposições: (Nota: Redação dada, a partir de 01.04.2020, pela Circular nº 3.976, de 22.01.2020)
I - operações com governos centrais de jurisdições estrangeiras e respectivos bancos centrais, bem como títulos e valores mobiliários por eles emitidos, cuja classificação externa de risco, conferida por agência de classificação de risco de crédito registrada ou reconhecida no Brasil pela Comissão de Valores Mobiliários, seja inferior a B- ou classificação equivalente; e (Nota: Incluído, a partir de 01.04.2020, pela Circular nº 3.976, de 22.01.2020)
II - valores mantidos em espécie nas moedas estrangeiras emitidas nas jurisdições de que trata o inciso I, bem como exposições a ativo objeto representado pelas referidas moedas. (Nota: Incluído, a partir de 01.04.2020, pela Circular nº 3.976, de 22.01.2020)
CAPÍTULO IX
DA PONDERAÇÃO DE 300%
Art. 27. Deve ser aplicado FPR de 300% (trezentos por cento) aos créditos tributários decorrentes de prejuízo fiscal de imposto de renda e de base negativa de contribuição social sobre o lucro líquido e os originados dessa contribuição relativos a períodos de apuração encerrados até 31 de dezembro de 1998, apurados nos termos do art. 8º da Medida Provisória nº 2.158-35, de 24 de agosto de 2001, não deduzidos do PR, nos termos da regulamentação em vigor. (Nota: Redação dada pela Circular nº 3.714, de 20.08.2014)
Art. 28. (Nota: Revogado pela Circular nº 3.714, de 20.08.2014)
CAPÍTULO X
DA PONDERAÇÃO DE 1.250%
Art. 29. Deve ser aplicado FPR de 1.250% (um mil duzentos e cinquenta por cento) às seguintes exposições:
I - (Nota: Revogado, a partir de 01.01.2018, pela Circular nº 3.849, de 18.09.2017)
II - (Nota: Revogado, a partir de 01.01.2018, pela Circular nº 3.849, de 18.09.2017)
III - relativas à participação em fundos mencionados no art. 3º, inciso VII, em entidades não caracterizadas como QCCPs nos termos do art. 20. (Nota: Redação dada, a partir de 01.01.2018, pela Circular nº 3.849, de 18.09.2017)
Parágrafo único. Para obtenção do valor da parcela RWACPAD relativo às exposições mencionadas no inciso III do caput, o produto do valor da exposição pelo FPR mencionado no caput deve ser multiplicado pelo valor correspondente a 0,08/F, em que F é o fator definido no art. 4º da Resolução nº 4.193, de 2013. (Nota: Redação dada, a partir de 01.01.2018, pela Circular nº 3.849, de 18.09.2017)
CAPÍTULO XI
DO FPR APLICÁVEL A VALORES NÃO DEDUZIDOS DO CÁLCULO DO PR
Art. 30. As exposições relativas aos valores não deduzidos no cálculo do PR mencionados no § 9º do art. 8º-A da Resolução nº 4.192, de 2013, devem receber o FPR de 250% (duzentos e cinquenta por cento). (Nota: Redação dada, a partir de 01.04.2020, pela Circular nº 3.976, de 22.01.2020)
CAPÍTULO XII
DO FPR APLICÁVEL ÀS OPERAÇÕES COMPROMISSADAS
Art. 31. Para fins da aplicação do FPR à exposição relativa ao risco de crédito da contraparte decorrente de operação compromissada e de empréstimo de títulos e valores mobiliários, deve-se considerar como instrumento mitigador de risco de crédito: (Nota: Redação dada pela Circular nº 3.770, de 29.10.2015)
I - o ativo objeto negociado nas operações de compra com compromisso de revenda ou recebido por empréstimo; e (Nota: Redação dada pela Circular nº 3.770, de 29.10.2015)
II - os recursos financeiros recebidos nas operações de venda com compromisso de recompra ou na cessão por empréstimo. (Nota: Redação dada pela Circular nº 3.770, de 29.10.2015)
CAPÍTULO XIII
DO FPR APLICÁVEL ÀS OPERAÇÕES DE AVAL, FIANÇA E COOBRIGAÇÃO
Art. 32. Deve ser aplicado à exposição decorrente da prestação de aval, fiança, ou qualquer outra modalidade de garantia pessoal o FPR aplicável à operação de crédito com a mesma contraparte.
TÍTULO IV
DO AJUSTE ASSOCIADO À VARIAÇÃO DO VALOR DOS DERIVATIVOS EM DECORRÊNCIA DE VARIAÇÃO DA QUALIDADE CREDITÍCIA DA CONTRAPARTE (CVA)
(Nota: Denominação do Título IV alterada, a partir de 01.01.2018, pela Circular nº 3.849, de 18.09.2017)
CAPÍTULO I
DAS EXPOSIÇÕES A SEREM EXCLUÍDAS DA PARCELA RWACPAD
Art. 33. (Nota: Revogado, a partir de 01.01.2018, pela Circular nº 3.849, de 18.09.2017)
Art. 34. (Nota: Revogado, a partir de 01.01.2018, pela Circular nº 3.849, de 18.09.2017)
CAPÍTULO II
DO AJUSTE ASSOCIADO À VARIAÇÃO DO VALOR DOS DERIVATIVOS EM DECORRÊNCIA DE VARIAÇÃO DA QUALIDADE CREDITÍCIA DA CONTRAPARTE (CVA)
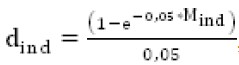
Art. 35. O valor da parcela RWACPAD referente às exposições decorrentes de operações com instrumentos financeiros derivativos deve ser acrescido do resultado correspondente ao ajuste associado à variação do valor dos derivativos em decorrência de variação da qualidade creditícia da contraparte (CVA), obtido pela seguinte fórmula:
![]()
em que:
I - = fator definido no art. 4º da Resolução nº 4.193, de 2013;
II - = fator de desconto do valor da exposição, apurado por contraparte “i” e obtido de acordo com a seguinte fórmula:
|
, em que é o prazo médio ponderado, em anos, apurado por contraparte "i", obtido de acordo com a seguinte fórmula: |

, em que
a) M0 = prazo efetivo de vencimento da operação com instrumento financeiro derivativo, em anos, correspondente ao prazo remanescente da operação, ou a critério da instituição, ao resultado da seguinte fórmula:
|
, em que CFt refere-se aos pagamentos contratuais previstos para o período “t”, incluindo pagamentos de principal e encargos; |
(Nota: Alínea “a” com redação dada, a partir de 01.12.2013, pela Circular nº 3.679, de 31.10.2013)
b) R0 = valor de referência da operação com instrumento financeiro derivativo;
III - EXPi corresponde à exposição calculada de acordo com o disposto na Circular nº 3.904, de 2018, apurado por contraparte “i”; (Nota: Redação dada, a partir de 01.06.2019, pela Circular nº 3.921, de 05.12.2018)
IV - dih= fator de desconto do derivativo de crédito “h” referente à contraparte “i”, obtido de acordo com a seguinte fórmula:
|
, em que Mjhé o prazo remanescente, em anos, do derivativo de crédito “h” referente à contraparte “i” utilizado como hedge do CVA; |
V - Bjh= valor de referência do derivativo de crédito “h” referenciado na contraparte “i” utilizado como hedge do CVA;
VI - = dind fator de desconto do índice de derivativos de crédito “ind”, obtido de acordo com a seguinte fórmula:
|
, em que Mind é o prazo remanescente, em anos, do índice de derivativos de crédito “ind” utilizado como hedge do CVA; e |
VII - Bind= valor de referência do índice de derivativos de crédito “ind” utilizado como hedge do CVA.
§ 1º Não devem ser consideradas na apuração do valor das exposições mencionadas no caput as seguintes operações:
I - a serem liquidadas em câmaras ou prestadores de serviços de compensação e de liquidação, nas quais uma entidade se interponha como contraparte central; (Nota: Redação dada, a partir de 01.01.2018, pela Circular nº 3.849, de 18.09.2017)
II - realizadas com as entidades mencionadas nos incisos IV e V do art. 19; e
III - swaps de crédito nos quais a instituição figure como a contraparte receptora do risco, observado o disposto no art. 14, inciso I. (Nota: Incluído pela Circular nº 3.696, de 3/1/2014, que produz efeitos a partir da data-base 31.12.2013)
§ 2º O acréscimo ao valor da parcela RWACPAD mencionado no caput pode ser apurado, alternativamente, mediante a seguinte fórmula:

CAPÍTULO III
DO USO DE MITIGADORES
Seção I
Requisitos Gerais
Art. 36. (Nota: Revogado, a partir de 01.01.2017, pela Circular nº 3.809, de 25.08.2016)
Seção II
Exposições ponderadas a 0% e a 10%
(Nota: Denominação da seção alterada, a partir de 01.12.2013, pela Circular nº 3.679, de 31.10.2013)
Art. 37. (Nota: Revogado, a partir de 01.01.2017, pela Circular nº 3.809, de 25.08.2016)
Art. 37-A. (Nota: Revogado, a partir de 01.01.2017, pela Circular nº 3.809, de 25.08.2016)
Seção III
Exposições ponderadas a 20%
Art. 38. (Nota: Revogado, a partir de 01.01.2017, pela Circular nº 3.809, de 25.08.2016)
Seção IV
Exposições ponderadas a 50%
Art. 39. (Nota: Revogado, a partir de 01.01.2017, pela Circular nº 3.809, de 25.08.2016)
TÍTULO V
DAS DISPOSIÇÕES FINAIS
CAPÍTULO I
DO ENCAMINHAMENTO DE INFORMAÇÕES
Art. 40. Deve ser encaminhado ao Departamento de Monitoramento do Sistema Financeiro (Desig) do Banco Central do Brasil, na forma a ser por ele estabelecida, relatório detalhando a apuração da parcela RWACPAD.
Parágrafo único. As informações utilizadas para a apuração da parcela RWACPAD devem ser mantidas à disposição do Banco Central do Brasil pelo prazo de cinco anos.
CAPÍTULO II
OUTRAS DISPOSIÇÕES
Art. 41. Os arts. 10, 11, 12, 13, 14, 15-A, 15-C, 20, 21 e 22 da Circular nº 3.360, de 12 de setembro de 2007, passam a vigorar com a seguinte redação:
“Art. 10. ..........................................................................................................
II - valores mantidos em espécie, nas moedas estrangeiras emitidas pelos países de que trata o art. 11, inciso VI, bem como exposições que tenham como ativo objeto as referidas moedas estrangeiras:
V - ..................................................................................................................
o) Banco Nacional de Desenvolvimento Econômico e Social (BNDES);” (NR)
“Art. 11. ..........................................................................................................
II - depósitos bancários à vista, em moeda estrangeira emitida pelos países de que trata o inciso VI:
..........................................................................................................................
VI - operações com governos centrais de países estrangeiros e respectivos bancos centrais, bem como títulos e valores mobiliários por eles emitidos, em relação aos quais não tenha sido verificado, nos últimos cinco anos, pelo menos um entre os seguintes eventos:
a) suspensão de qualquer pagamento relativo à obrigação externa;
b) alteração unilateral dos termos contratuais relativos ao pagamento de obrigação externa;
c) moratória ou qualquer outra modalidade de recusa de aceitação da validade de obrigação externa; ou
d) antecipação, por força do exercício de cláusula contratual, do vencimento de obrigação externa; e
VII - operações realizadas com instituições financeiras sediadas nos países de que trata o inciso VI, com as quais não sejam elaboradas demonstrações contábeis em bases consolidadas, desde que não estejam submetidas a regime especial ou similar no exterior, com vencimento em até três meses.” (NR)
“Art. 12. ..........................................................................................................
I - financiamentos para aquisição de imóvel residencial, novo ou usado, garantido por alienação fiduciária do imóvel financiado, cujo valor contratado seja de até 80% (oitenta por cento) do valor de avaliação da garantia, na data da concessão do crédito;” (NR)
“Art. 13. ..........................................................................................................
III - operações com instituições financeiras sediadas nos países de que trata o art. 11, inciso VI, com as quais não sejam elaboradas demonstrações contábeis em bases consolidadas, desde que não estejam submetidas a regime especial ou similar no exterior, com vencimento acima de três meses;
..........................................................................................................................
V - financiamentos para aquisição de imóvel residencial, novo ou usado, garantidos por hipoteca, em primeiro grau, de imóvel residencial, novo ou usado, cujo valor contratado seja superior a 50% (cinquenta por cento) e inferior a 80% (oitenta por cento) do valor de avaliação da garantia, na data da concessão do crédito;” (NR)
“Art. 14. Deve ser aplicado FPR de 75% (setenta e cinco por cento) às exposições relativas às seguintes operações:
I - que apresentem as seguintes características, cumulativamente:
a) tenham como contraparte, pessoa jurídica cujo somatório da carteira ativa no Sistema Financeiro Nacional seja superior a R$100.000.000,00 (cem milhões de reais); e
b) possuam montante da carteira ativa com a contraparte inferior a 10% (dez por cento) do respectivo Patrimônio de Referência (PR), conforme definido na Resolução nº 3.444, de 28 de fevereiro de 2007; e
II - de varejo.
§ 1º..................................................................................................................
IV - somatório das exposições correntes com uma mesma contraparte inferior a R$600.000,00 (seiscentos mil reais).
§ 2º...................................................................................................................
II - de pequeno porte, a contraparte com receita bruta anual inferior a R$3.600.000,00 (três milhões e seiscentos mil reais).” (NR)
“Art. 15-A. ......................................................................................................
II - crédito consignado com prazo contratual de até sessenta meses;” (NR)
“Art. 15-C. Deve ser aplicado FPR de 300% (trezentos por cento) às exposições relativas a operações de crédito pessoal sem destinação específica, excluídas as operações de crédito consignado, contratadas ou renegociadas com pessoas naturais a partir de 11 de novembro de 2011, com prazo contratual superior a sessenta meses.” (NR)
“Art. 20. .........................................................................................................
§ 3º....................................................................................................................
V - depósitos à vista, depósitos a prazo, letras financeiras de emissão própria, depósitos de poupança, em ouro ou em títulos públicos federais que atendam, cumulativamente, aos seguintes requisitos:” (NR)
“Art. 21. .........................................................................................................
VII - depósitos à vista, depósitos a prazo, letras financeiras de emissão própria, depósitos de poupança, em ouro ou em títulos públicos federais de que trata o art. 20, § 3º, inciso V; e
VIII - garantia constituída por recursos do Fundo de Participação dos Estados (FPE) ou do Fundo de Participação dos Municípios (FPM), previstos no art. 159 da Constituição Federal.” (NR)
“Art. 22. .........................................................................................................
II - garantia dos países e bancos centrais de que trata o art. 11, inciso VI;
..........................................................................................................................
IV - depósito de títulos emitidos pelas entidades de que trata o art. 11, incisos VI e VII, e art. 13, inciso I, que atendam, cumulativamente, aos seguintes requisitos:” (NR)
Art. 42. Esta Circular entra em vigor em 1º de outubro de 2013, exceto os arts. 41 e 43, inciso I, que entram em vigor na data da sua publicação.
Art. 43. Ficam revogados:
I - a partir da data de publicação desta Circular, o art. 13, inciso II, da Circular nº 3.360, de 12 de setembro de 2007;
II - a partir de 1º de outubro de 2013:
a) as Circulares ns. 3.360, de 12 de setembro de 2007, 3.425, de 17 de dezembro de 2008, 3.471, de 16 de outubro de 2009, e 3.563, de 11 de novembro de 2011; e
b) o art. 2º da Circular nº 3.549, de 18 de julho de 2011.
Parágrafo único. As citações à Circular nº 3.360, de 2007, passam a ter como referência esta Circular.
Luiz Awazu Pereira da Silva
Diretor de Regulação do Sistema Financeiro
(DOU de 07.03.2013 – págs. 17 a 21 - Seção 1)