CONTEÚDO
CIRCULAR BACEN Nº 3.648, DE 04.03.2013
Estabelece os requisitos mínimos para o cálculo da parcela relativa às exposições ao risco de crédito sujeitas ao cálculo do requerimento de capital mediante sistemas internos de classificação do risco de crédito (abordagens IRB) (RWACIRB), de que trata a Resolução nº 4.193, de 1º de março de 2013.
A Diretoria Colegiada do Banco Central do Brasil, em sessão extraordinária realizada em 1º de março de 2013, com base no disposto nos arts. 9º, 10, inciso IX, e 11, inciso VII, da Lei nº 4.595, de 31 de dezembro de 1964, e nos arts. 3º, § 2º, e 15 da Resolução nº 4.193, de 1º de março de 2013,
RESOLVE:
TÍTULO I
DAS DISPOSIÇÕES PRELIMINARES
CAPÍTULO ÚNICO
DO ESCOPO DE APLICAÇÃO
Art. 1º É facultada a utilização de sistemas internos de classificação do risco de crédito (abordagens IRB) para cálculo do valor mensal da parcela relativa às exposições ao risco de crédito sujeitas ao cálculo do requerimento de capital (RWACIRB), de que trata a Resolução nº 4.193, de 1º de março de 2013, pelas seguintes instituições:
I - bancos múltiplos, caixas econômicas, bancos comerciais, exceto bancos cooperativos não integrantes de conglomerado financeiro, e o Banco Nacional de Desenvolvimento Econômico e Social (BNDES); e
II - entidades integrantes de conglomerado prudencial, nos termos do Plano Contábil das Instituições do Sistema Financeiro Nacional (Cosif), composto por, pelo menos, uma das instituições mencionadas no inciso I.
Art. 2º A utilização de abordagens IRB depende de prévia autorização do Departamento de Supervisão de Bancos e de Conglomerados Bancários (Desup) do Banco Central do Brasil.
§ 1º A autorização de que trata o caput pode ser cancelada, a critério do Desup, caso os requisitos mínimos estabelecidos nesta Circular deixem de ser atendidos ou os valores calculados não reflitam adequadamente o risco de crédito das exposições.
§ 2º Uma vez outorgada a autorização de que trata o caput:
I - a respectiva abordagem IRB deverá ser obrigatoriamente utilizada para o cálculo do valor mensal da parcela RWACIRB; e
II - a desistência da utilização da abordagem IRB dependerá de prévia autorização do Desup.
Art. 3º A instituição que adotar abordagem IRB deve comprovar:
I - que o sistema interno utilizado atende aos requisitos mínimos estabelecidos nesta Circular, devendo o Desup ser tempestivamente informado caso algum destes deixe de ser atendido; e
II - que modelos e sistemas de tecnologia da informação adquiridos de terceiros e utilizados nos sistemas internos de classificação são adequados ao seu perfil de risco e atendem aos requisitos mínimos estabelecidos nesta Circular.
Art. 4º As abordagens IRB são aplicáveis às exposições definidas na Circular nº 3.644, de 4 de março de 2013, não classificadas na carteira de negociação, segundo os critérios estabelecidos na Circular nº 3.354, de 27 de junho de 2007, e às exposições classificadas na carteira de negociação sujeitas ao risco de crédito de contraparte.
§ 1º A utilização de abordagem IRB não se aplica às exposições:
I - (Nota: Revogado pela Circular nº 3.673, de 31.10.2013)
II - (Nota: Revogado pela Circular nº 3.673, de 31.10.2013)
III - decorrentes de operações interdependências e demais operações realizadas com instituições que integrem o conglomerado prudencial; (Nota: Redação dada, a partir de 01.01.2017, pela Circular nº 3.810, de 25.08.2016)
IV - relativas aos elementos patrimoniais deduzidos na apuração do Patrimônio de Referência (PR), conforme definido nos arts. 5º a 7º da Resolução nº 4.192, de 1º de março de 2013, brutos dos passivos fiscais diferidos a eles associados subtraídos no cálculo do PR; (Nota: Redação dada, a partir de 01.01.2017, pela Circular nº 3.810, de 25.08.2016)
V - relativas ao risco do ativo objeto decorrente de aplicações em ações e mercadorias (commodities), se cobertas pela parcela relativa às exposições ao risco de mercado sujeitas ao cálculo do requerimento de capital mediante abordagem padronizada (RWAMPAD) ou pela parcela relativa às exposições ao risco de mercado sujeitas ao cálculo do requerimento de capital mediante modelo interno autorizado pelo Banco Central do Brasil (RWAMINT) do montante RWA, de que trata a Resolução nº 4.193, de 1º de março de 2013; (Nota: Redação dada, a partir de 01.01.2017, pela Circular nº 3.810, de 25.08.2016)
VI - relativas às operações com instrumentos financeiros derivativos em que a instituição atue exclusivamente como intermediadora, não assumindo quaisquer direitos ou obrigações com as partes;
VII - não caracterizadas como operações de crédito, participações societárias ou investimentos, contratos derivativos ou como operações sujeitas ao risco de crédito de contraparte;
VIII - relativas a cotas de fundos, inclusive Fundos de Investimento em Direitos Creditórios (FIDC), as coobrigações e demais modalidades de retenção de riscos e benefícios decorrentes de operações de venda ou de transferência de ativos financeiros que permaneçam registrados no ativo da instituição, nos termos da regulamentação em vigor;
IX - relativas a saldos residuais históricos, mediante solicitação da instituição e autorização pelo Desup;
X - relativas a ajuste associado à variação do valor dos derivativos em decorrência de variação da qualidade creditícia da contraparte (CVA);
XI - relativas a garantia depositada em sistemas de liquidação de câmaras ou prestadores de serviços de compensação e de liquidação e não apartada do patrimônio da entidade depositária;
XII - relativas a participação em fundos de garantia de liquidação de sistemas de liquidação de câmaras ou prestadores de serviços de compensação e de liquidação;
XIII - relativas a exposições decorrentes de operações a serem liquidadas em sistemas de liquidação de câmaras ou prestadores de serviços de compensação e de liquidação, nas quais uma entidade interponha-se como contraparte central; e (Nota: Redação dada, a partir de 01.01.2017, pela Circular nº 3.810, de 25.08.2016)
XIV - relativas a operações ativas vinculadas, realizadas segundo o disposto na Resolução nº 2.921, de 17 de janeiro de 2002. (Nota: Incluído, a partir de 01.01.2017, pela Circular nº 3.810, de 25.08.2016)
§ 2º Cabe à instituição documentar o atendimento do disposto na alínea “b” do inciso XIII do § 1º.
§ 3º As exposições não sujeitas às abordagens IRB devem receber o tratamento estabelecido na Circular nº 3.644, de 2013.
TÍTULO II
DAS ABORDAGENS IRB
CAPÍTULO I
DOS PARÂMETROS DE RISCO E DOS TIPOS DE ABORDAGENS
Seção I
Dos Parâmetros de Risco
Art. 5º As abordagens IRB utilizam os seguintes parâmetros de risco:
I - Probabilidade de Descumprimento (PD), percentual que corresponde à expectativa de longo prazo das taxas de descumprimento, conforme definido no art. 15, para o horizonte temporal de 1 (um) ano dos tomadores de um determinado nível de risco de crédito ou grupo homogêneo de risco, conforme definido no § 1º do art. 44;
II - Exposição no Momento do Descumprimento (EAD), que corresponde ao valor da exposição da instituição, seja ela efetiva ou contingente, perante o tomador ou contraparte no momento da concretização do evento de descumprimento, bruto de provisões e eventuais baixas parciais a prejuízo;
III - Perda Dado o Descumprimento (LGD), que corresponde ao percentual, em relação ao parâmetro EAD observado, da perda econômica decorrente do descumprimento, considerados todos os fatores relevantes, inclusive descontos concedidos para recuperação do crédito e todos os custos diretos e indiretos associados à cobrança da obrigação; e
IV - Prazo Efetivo de Vencimento (M), que corresponde ao prazo remanescente da operação ponderado pelos fluxos de caixa relativos a cada período futuro conforme apresentado no art. 86.
Seção II
Dos Tipos de Abordagens
Art. 6º As abordagens IRB compreendem:
I - abordagem IRB avançada;
II - abordagem IRB básica;
III - abordagem simplificada;
IV - abordagem VaR;
V - abordagem PD/LGD;
VI - abordagem baseada em classificação interna (RBA); e
VII - abordagem da fórmula do supervisor (SF).
§ 1º A utilização da abordagem IRB avançada implica a estimação própria dos valores dos parâmetros PD, LGD e EAD, e o cálculo interno do valor do parâmetro M, quando aplicável.
§ 2º A utilização da abordagem IRB básica implica a estimação interna do valor do parâmetro PD, o cálculo interno do valor do parâmetro M e o emprego dos valores divulgados pelo Banco Central do Brasil para os demais parâmetros de risco, salvo quando disposto alternativamente.
§ 3º A abordagem IRB de que trata o inciso I do caput aplica-se às exposições classificadas nas categorias "entidades soberanas", "instituições financeiras", "varejo" e "atacado", definidas no art. 7º.
§ 4º A abordagem IRB de que trata o inciso II do caput aplica-se às exposições classificadas nas categorias "entidades soberanas", "instituições financeiras" e "atacado", definidas no art. 7º.
§ 5º As abordagens IRB de que tratam os incisos III, IV e V do caput aplicam-se às exposições classificadas na categoria "participações societárias", definida no art. 7º, e consistem, respectivamente, em:
I - aplicação de fatores de ponderação de risco padronizados a determinados tipos de exposição, para a abordagem simplificada;
II - aplicação da metodologia Valor em Risco (VaR) aos retornos trimestrais do valor das ações ou fatores de risco representativos das exposições, para a abordagem VaR; e
III - utilização de valores padronizados para o parâmetro LGD e de valores para o parâmetro PD obtidos por meio de exposições à mesma contraparte pertencentes a outras categorias de exposição, ou mediante a técnica de mapeamento externo, para a abordagem PD/LGD.
§ 6º As abordagens IRB de que tratam os incisos VI e VII do caput aplicam-se às exposições de securitização.
CAPÍTULO II
DAS CATEGORIAS DE EXPOSIÇÃO
Seção I
Da especificação das categorias
Art. 7º As exposições sujeitas à utilização das abordagens IRB devem ser segmentadas nas seguintes categorias:
I - "entidades soberanas", abrangendo as exposições a governos centrais de países estrangeiros e respectivos bancos centrais;
II - "instituições financeiras", abrangendo as exposições a instituições financeiras e demais instituições autorizadas a funcionar pelo Banco Central do Brasil com as quais não sejam elaboradas demonstrações contábeis em bases consolidadas, as exposições a instituições financeiras sediadas no exterior com as quais não sejam elaboradas demonstrações contábeis em bases consolidadas e as exposições a organismos multilaterais e a Entidades Multilaterais de Desenvolvimento (EMD) não relacionados no inciso V do art. 19 da Circular nº 3.644, de 2013;
III - "varejo", abrangendo:
a) as exposições a pessoas naturais e a pessoas jurídicas com receita bruta anual inferior a R$15.000.000,00 (quinze milhões de reais), geridas de forma não individualizada por meio de grupos homogêneos de risco, que assumam a forma de instrumentos financeiros tipicamente voltados para o varejo; e (Nota: Redação dada, a partir de 01.01.2017, pela Circular nº 3.810, de 25.08.2016)
b) as exposições relativas a empréstimos e financiamentos a pessoas naturais com garantia de imóvel residencial;
IV - “participações societárias”, abrangendo participações diretas e indiretas em empresas, com ou sem direito a voto, inclusive por meio de instrumentos derivativos, com exceção de instrumentos de captação cujo valor é deduzido para fins da apuração do Patrimônio de Referência, nos termos da Resolução nº 4.192, de 1º de março de 2013; e (Nota: Redação dada pela Circular nº 3.673, de 31.10.2013)
V - "atacado", abrangendo as exposições a pessoas naturais e jurídicas que não se enquadrem nas categorias descritas nos incisos I a IV.
§ 1º A categoria de que trata o inciso IV do caput inclui as exposições com as seguintes características:
I - participações mediante instrumentos que atendam aos seguintes requisitos:
a) não sejam resgatáveis, de forma que o retorno do investimento só possa ser auferido pela venda do instrumento representativo da participação ou de seus direitos, ou em decorrência da liquidação do emissor do instrumento;
b) não representem uma obrigação por parte do emissor do instrumento representativo da participação; e
c) confiram um direito residual sobre os ativos ou rendimentos do emissor do instrumento representativo da participação, na hipótese de sua liquidação;
II - exposições relativas a instrumentos que apresentem a mesma estrutura daqueles elegíveis à composição do Nível I do PR, nos termos da Resolução nº 4.192, de 1º de março de 2013;
III - exposições relativas a instrumentos que representem uma obrigação do seu emissor e atendam a qualquer das seguintes condições:
a) a liquidação da obrigação possa ser postergada indefinidamente pelo emissor;
b) a liquidação da obrigação deva, ou possa, a critério do emissor, ocorrer por meio da emissão de um número fixo de suas ações ou quotas de participação;
c) a liquidação da obrigação deva, ou possa, a critério do emissor, ocorrer por meio da emissão de um número variável de suas ações, devendo qualquer alteração no valor da obrigação ser equivalente a alteração no valor de um número fixo de ações do emissor requerido para a liquidação;
d) o detentor do instrumento tenha a opção de requerer que a obrigação seja liquidada com ações, a menos que:
1. no caso de um instrumento negociável, a instituição seja capaz de demonstrar que o instrumento negociado representa uma dívida do emissor e não uma participação societária; ou
2. no caso de um instrumento não negociável, a instituição seja capaz de demonstrar que tal instrumento tem o caráter de dívida;
IV - exposições relativas a instrumentos de dívida e outros títulos, participações, derivativos ou outros veículos estruturados com a intenção de transmitir a substância econômica de participação no capital de uma empresa, bem como obrigações cujo retorno esteja ligado aos rendimentos de ações ou quotas de participação.
(Nota: Parágrafo 1º incluído pela Circular nº 3.673, de 31.10.2013)
§ 2º A categoria “participações societárias” não inclui as exposições relativas a investimentos em instrumentos de capital estruturados de forma a transmitir a substância econômica de uma dívida ou de um título de securitização. (Nota: Incluído pela Circular nº 3.673, de 31.10.2013)
§ 3º O Desup poderá determinar a classificação de exposições na categoria “participações societárias” caso entenda que estas atendam às características de que trata o §1º. (Nota: Incluído pela Circular nº 3.673, de 31.10.2013)
Art. 8º A categoria "varejo" divide-se nas seguintes subcategorias:
I - "residencial", compreendendo os empréstimos e financiamentos a pessoas naturais com garantia de imóvel residencial, independentemente do valor da exposição, limitados a uma unidade residencial por contraparte, devendo sempre ser considerada a primeira unidade adquirida;
II - "crédito rotativo de varejo qualificado", compreendendo exposições não garantidas e de caráter rotativo que tenham como contrapartes pessoas naturais, cujo valor agregado por contraparte seja inferior a R$40.000,00 (quarenta mil reais) e que apresentem baixas volatilidades nas taxas de perdas em comparação com a média histórica da volatilidade das perdas da subcategoria "demais exposições de varejo" identificada no inciso III, especialmente nas faixas de baixo valor para o parâmetro PD; e
III - "demais exposições de varejo", compreendendo as exposições não enquadradas nas subcategorias descritas nos incisos I e II.
§ 1º As exposições classificadas na categoria “varejo”, exceto a subcategoria "residencial", devem observar os limites para o valor das operações com uma mesma contraparte estabelecidos no art. 24, § 1º, incisos III e IV, da Circular nº 3.644, de 2013. (Nota: Renumerado de parágrafo único para § 1º pela Circular nº 3.673, de 31.10.2013)
§ 2º Os dados utilizados para apuração da volatilidade das taxas de perdas mencionadas no inciso II do caput devem ser documentados e disponibilizados para revisão pelo Desup. (Nota: Incluído pela Circular nº 3.673, de 31.10.2013)
Art. 9º A categoria "atacado" divide-se nas seguintes subcategorias:
I - “exposições a pessoas naturais não enquadradas na categoria “varejo” e a pequenas e médias empresas (SME)”, compreendendo as exposições a pessoas jurídicas de direito privado integrantes de grupo econômico com receita bruta anual consolidada inferior a R$60.000.000,00 (sessenta milhões de reais); (Nota: Redação dada, a partir de 01.01.2017, pela Circular nº 3.810, de 25.08.2016)
II - "financiamentos especializados", compreendendo "financiamento de projeto", "financiamento de objeto específico", "financiamento de commodities", "empreendimento imobiliário gerador de receita" e a subcategoria especial "financiamento imobiliário comercial de alta volatilidade" (HVCRE); e
III - demais exposições de atacado não classificadas nas subcategorias descritas nos incisos I e II.
§ 1º A subcategoria "financiamentos especializados" do tipo "financiamento de projeto" inclui operações de financiamento com as seguintes características:
I - a principal fonte de pagamento da operação consiste nas rendas auferidas pelo próprio projeto financiado e não pela entidade que o patrocina; e
II - no caso de ser empenhado colateral não financeiro, conforme mencionado no art. 87, o principal colateral da operação consiste nas instalações físicas do próprio projeto financiado.
§ 2º A subcategoria "financiamentos especializados" do tipo "financiamento de objeto específico" inclui operações de crédito para aquisição de bem com as seguintes características:
I - a principal fonte de recursos para pagamento do financiamento consiste nas rendas auferidas pelo próprio bem adquirido e não pela entidade que o patrocina;
II - o principal colateral da operação consiste no próprio bem adquirido; e
III - o tomador não dispõe de recursos para quitar o financiamento sem as rendas auferidas pelo bem financiado.
§ 3º A subcategoria "financiamentos especializados" do tipo "financiamento de commodities" inclui operações de crédito de curto prazo para aquisição de commodities ou de recebíveis vinculados a commodities, com as seguintes características:
I - a principal fonte de recursos para pagamento do financiamento consiste na receita da venda das commodities financiadas ou nos recebíveis a elas associados, bem como nos resultados financeiros dos próprios recebíveis, e não nas rendas auferidas pela entidade adquirente das commodities; e
II - o tomador não dispõe de recursos para quitar o financiamento sem a receita da venda das commodities ou sem os resultados financeiros dos recebíveis a elas associados.
§ 4º A subcategoria "financiamentos especializados" do tipo "empreendimento imobiliário gerador de receita" inclui operações de financiamento para aquisição e construção de imóvel com as seguintes características:
I - as rendas auferidas pelo próprio imóvel constituem a principal fonte de pagamento do financiamento;
II - o principal colateral da operação consiste no próprio empreendimento imobiliário financiado; e
III - há forte correlação positiva entre a possibilidade de pagamento do financiamento e o grau esperado de recuperação em caso de descumprimento, em que ambos dependem primordialmente das rendas geradas pelas unidades financiadas.
§ 5º A subcategoria "financiamentos especializados" do tipo "HVCRE" inclui operações de financiamento para aquisição ou construção de imóvel comercial com as seguintes características:
I - as taxas históricas de perdas de operações da subcategoria apresentam volatilidades mais elevadas do que as observadas na subcategoria "financiamentos especializados" do tipo "empreendimento imobiliário gerador de receita", identificada no § 4º;
II - a principal fonte de recursos para pagamento no momento da concessão do financiamento consiste nas rendas, com elevado grau de incerteza, auferidas pelo próprio imóvel adquirido e não pela entidade que o patrocina;
III - o principal colateral da operação consiste no próprio empreendimento imobiliário financiado; e
IV - o tomador não dispõe de recursos para quitar o financiamento sem as rendas auferidas pelo empreendimento imobiliário.
§ 6º A classificação de operações na subcategoria "financiamentos especializados" do tipo "HVCRE" pode ser determinada pelo Desup.
§ 7º Para fins da constatação prevista no § 5º, inciso I, é admitido o uso de taxas esperadas de perdas, no caso de inexistência ou insuficiência de base de dados.
§ 8º A classificação de risco individualizada de uma exposição de varejo durante parte do processo de gerenciamento de risco não exclui sua classificação como "varejo", bem como o tratamento aplicável a esse tipo de exposições.
Art. 10. As exposições relacionadas à aquisição de recebíveis oriundos de exposições classificáveis nas categorias "varejo" e "atacado" devem ser destacadas para tratamento distinto das demais exposições dessas categorias, segundo o disposto nos arts. 58 e 59.
Parágrafo único. O destaque mencionado no caput é facultativo, desde que atendidos os seguintes requisitos:
I - comprovação de inexistência de risco de redução, conforme definido no § 1º do art. 61, ou de sua total mitigação; e
II - existência de informações suficientes para análise individualizada das operações de recebíveis com o grau de detalhamento adequado às características das categorias “atacado” ou “varejo”.
Seção II
Do Emprego de Abordagem IRB para Categorias de Exposição
Art. 11. O emprego de abordagem IRB para determinada categoria de exposição em uma unidade de negócios implica a utilização da mesma abordagem para todas as exposições relevantes da referida categoria e respectivas subcategorias naquela unidade.
§ 1º Define-se unidade de negócios como a estrutura utilizada para gestão de portfólios com características semelhantes.
§ 2º A unidade de negócios definida no § 1º não está necessariamente vinculada à estrutura legal do conglomerado financeiro ou ao registro no Cadastro Nacional da Pessoa Jurídica (CNPJ).
§ 3º Para exposições em unidades de negócios não relevantes em relação ao porte da instituição e para categorias de exposições cujo valor seja considerado irrelevante em relação ao risco incorrido, poderá ocorrer, excepcionalmente, a critério do Desup:
I - a utilização de abordagem diversa da previamente autorizada; e
II - a dispensa da utilização da abordagem IRB para cálculo do valor mensal da parcela RWACIRB.
§ 4º A utilização de abordagem IRB para alguma das categorias de exposição implica sua adoção também para a categoria "participações societárias", observado o critério de materialidade.
§ 5º A utilização de abordagem IRB para a categoria "atacado" implica sua utilização para a subcategoria "financiamentos especializados".
Seção III
Dos Requisitos Qualitativos
Art. 12. A abordagem IRB adotada para determinada categoria deve atender aos seguintes requisitos:
I - mensurar de forma consistente o risco de crédito, considerando características do tomador e da operação;
II - classificar o risco de crédito segundo uma metodologia consistente;
III - estar integrada, em conjunto com as estimativas dos parâmetros de risco, à estrutura de gerenciamento do risco de crédito, de que trata Resolução nº 3.721, de 30 de abril de 2009, e ser utilizada em conjunto com os limites definidos pela instituição para medir, monitorar e controlar a exposição ao risco de crédito;
IV - amparar as decisões e procedimentos decorrentes das políticas e estratégias de gestão adotadas;
V - empregar infraestrutura tecnológica e controles compatíveis com a natureza das operações, a complexidade dos produtos e a dimensão da exposição ao risco de crédito da instituição;
VI - submeter as estimativas internas dos parâmetros de risco a processo de validação; e
VII - avaliar novos produtos e negócios em descontinuação de maneira conservadora.
Art. 13. A instituição que adotar abordagem IRB deve manter quantidade suficiente de profissionais tecnicamente qualificados em suas áreas de negócio, operacionais, de concessão, avaliação e gerenciamento de risco, de auditoria interna, de tecnologia da informação, bem como naquelas envolvidas no desenvolvimento, validação, avaliação e utilização dos sistemas internos de classificação do risco de crédito.
Art. 14. A utilização de abordagem IRB implica a manutenção de documentação descritiva adequada e atualizada sobre todos os aspectos relevantes dos sistemas utilizados, abrangendo, no mínimo:
I - políticas e estratégias adotadas;
II - fundamentação teórica;
III - metodologias de avaliação, mensuração e monitoramento, incluindo aquelas utilizadas em modelos estatísticos, compreendendo fundamentação teórica, premissas, fonte de dados, testes estatísticos para validação do sistema e as circunstâncias nas quais as metodologias não funcionam satisfatoriamente;
IV - tratamento dispensado aos novos produtos, incluindo características, metodologias de avaliação, mensuração, monitoramento e relatórios de desempenho;
V - segmentação da carteira de crédito, critérios de classificação, responsabilidade dos profissionais envolvidos, frequência de revisão da classificação e monitoramento do processo de classificação;
VI - definições internas de atraso, inadimplência, perda, descumprimento, situações de exceção às classificações utilizadas internamente, bem como todas as outras definições utilizadas para qualificar clientes e operações, demonstrando a sua consistência com as definições regulamentares, quando aplicável;
VII - estrutura do sistema interno de classificação de risco;
VIII - controles internos;
IX - rotinas operacionais;
X - relatórios de avaliação, incluindo os da auditoria interna e dos processos de validação;
XI - relatórios de risco, incluindo os relatórios dos testes de estresse;
XII - relatórios gerenciais que forneçam subsídio ao processo decisório da diretoria da instituição e do conselho de administração; e
XIII - histórico das alterações efetuadas nos sistemas internos, inclusive no processo de validação.
CAPÍTULO III
DO DESCUMPRIMENTO
Seção I
Da Definição
Art. 15. O descumprimento é definido como a ocorrência de pelo menos um dos seguintes eventos:
I - para exposição classificada na categoria "varejo":
a) a instituição considera que o tomador ou contraparte não irá honrar integralmente a respectiva obrigação sem que a instituição recorra a ações tais como a execução de garantias prestadas ou colaterais empenhados; ou
b) a respectiva obrigação está em atraso há mais de 180 (cento e oitenta) dias, no caso de exposição classificada na subcategoria "residencial", ou há mais de 90 (noventa) dias, no caso de exposição classificada nas demais subcategorias;
II - para exposição relacionada a empréstimos e financiamentos a pessoas naturais com garantia de imóvel residencial classificada na categoria "atacado":
a) a instituição considera que o tomador ou contraparte não irá honrar integralmente ao menos uma obrigação perante a própria instituição sem que esta recorra a ações tais como a execução de garantias prestadas ou colaterais empenhados; ou
b) ao menos uma obrigação do tomador ou contraparte perante a instituição relacionada a empréstimos e financiamentos com garantia de imóvel residencial está em atraso há mais de 180 (cento e oitenta) dias;
III - para exposição classificada nas demais categorias:
a) a instituição considera que o tomador ou contraparte não irá honrar integralmente ao menos uma obrigação perante a própria instituição sem que esta recorra a ações tais como a execução de garantias prestadas ou colaterais empenhados; ou
b) ao menos uma obrigação do tomador ou contraparte perante a instituição está em atraso há mais de 90 (noventa) dias.
§ 1º Os indicativos de que um tomador ou contraparte específica não irá honrar integralmente uma obrigação incluem:
I - a instituição, por iniciativa própria e independentemente de exigência regulamentar, deixa de apropriar rendas relativas à exposição;
II - a instituição, por iniciativa própria e independentemente de exigência regulamentar, reconhece contabilmente a deterioração significativa da qualidade do crédito do tomador ou contraparte;
III - a instituição vende, transfere ou renegocia com perda econômica relevante os direitos de crédito relativos à obrigação, devido à deterioração significativa da qualidade do crédito do tomador ou contraparte;
IV - a instituição pede a falência ou toma providência similar em relação ao tomador ou contraparte, com base no não cumprimento de obrigações de crédito nas condições pactuadas;
V - o tomador ou contraparte solicita qualquer tipo de medida judicial que limite, atrase ou impeça o cumprimento de suas obrigações nas condições pactuadas; e
VI - o tomador ou contraparte sofreu qualquer tipo de medida judicial que limite, atrase ou impeça o cumprimento de suas obrigações nas condições pactuadas.
§ 2º As obrigações relativas a contas garantidas e a exposições similares são consideradas em atraso a partir do dia em que o saldo devedor excede o limite pactuado.
§ 3º A metodologia de contagem dos dias em que uma operação está em atraso deve ser consistente ao longo do tempo e claramente documentada.
§ 4º Os critérios definidos pela instituição, tanto para a marcação como para a desmarcação das exposições em descumprimento, devem ser consistentes com os requisitos desta Circular e alinhados com sua gestão do risco de crédito.
§ 5º Os critérios para desmarcação de descumprimento devem incluir, no mínimo:
I - fixação do valor mínimo de pagamento para que o descumprimento possa ser desmarcado;
II - fixação do prazo exigido para que o descumprimento da exposição seja desmarcado após o pagamento do valor mínimo mencionado no inciso I; e
III - estabelecimento de processos que garantam que o descumprimento não seja duplamente contado, caso os pagamentos deixem de ser efetuados ao longo do período determinado no inciso II.
§ 6º Para fins de apuração da parcela RWACIRB, o valor do parâmetro PD deve ser igual a 1 (um) para exposições que se encontrem dentro do prazo previsto no inciso II do § 5º.
§ 7º As exposições pertencentes à subcategoria “financiamentos especializados” previamente estabelecidas pela instituição podem receber tratamento destacado para fins de determinação do descumprimento, condicionado a aprovação específica do Desup.
Seção II
Da Política de Renegociação
Art. 16. A instituição que utilizar abordagem IRB deve ter uma política consistente ao longo do tempo e claramente documentada para a renegociação de operações e providências similares, nos termos da Resolução nº 2.682, de 21 de dezembro de 1999, identificando, no mínimo:
I - os responsáveis pela política e pelos relatórios de acompanhamento e as instâncias responsáveis pela aprovação da renegociação;
II - a operação original e o seu acompanhamento, inclusive em caso de renegociação;
III - os meios de disseminação das respectivas informações na instituição;
IV - o prazo efetivo de vencimento mínimo exigido de uma operação para que possa ser renegociada;
V - o limite para o nível de inadimplência para uma renegociação;
VI - o número máximo de renegociações por operação;
VII - a análise da capacidade de pagamento do devedor em uma renegociação; e
VIII - a análise da ocorrência de perdas do valor presente da operação, bem como de alteração nos valores dos parâmetros de risco.
Parágrafo único. Os processos de concessão de crédito devem ser consistentes com a política mencionada no caput.
TÍTULO III
DO RISCO DE CRÉDITO
CAPÍTULO I
DOS SISTEMAS DE CLASSIFICAÇÃO DO RISCO DE CRÉDITO
Art. 17. É facultada a utilização de mais de um sistema de classificação do risco de crédito para diferentes exposições pertencentes a uma mesma categoria.
§ 1º Os sistemas de classificação do risco de crédito compreendem métodos, processos, controles, armazenamento de dados e sistemas de tecnologia da informação, destinados a:
I - mensurar o risco de crédito, incluindo a atribuição de valor aos parâmetros de risco;
II - definir claramente os diversos níveis de risco em que se segmentam as operações financeiras; e
III - permitir a classificação das operações financeiras em níveis de risco.
§ 2º A definição mencionada no inciso II do § 1º para as categorias "atacado", "entidades soberanas" e "instituições financeiras" deve incluir a descrição qualitativa dos níveis de risco e do perfil típico dos tomadores ali classificados.
§ 3º A escolha do sistema de classificação deve ser documentada e baseada na melhor capacidade de discriminação do nível de risco com base nas características dos tomadores ou contrapartes e das operações.
Art. 18. Os critérios para definição dos níveis de risco devem:
I - ser plausíveis e justificáveis;
II - resultar em diferenciação significativa entre os vários níveis de risco de crédito nas categorias e subcategorias em que tal classificação se aplica; e
III - ser consistentes com as políticas de concessão de crédito e com as políticas de tratamento de créditos problemáticos.
§ 1º A classificação das operações deve utilizar informações tempestivas e relevantes segundo critérios passíveis de verificação.
§ 2º Os critérios e procedimentos de classificação segundo o risco de crédito devem ser periodicamente revisados para garantir que continuem aplicáveis à composição atual da carteira, às condições de mercado e ao cenário econômico.
§ 3º Deve ser mantida documentação clara e suficientemente detalhada sobre a definição dos níveis de risco de crédito, de forma a permitir a verificação e replicação das classificações.
§ 4º As exposições devem ser classificadas conservadoramente, caso não sejam disponibilizadas informações adequadas e suficientes.
§ 5º As contrapartes devem ser classificadas individualmente, salvo nos casos de entidades que pertençam a um mesmo grupo econômico e recebam classificação de risco uniforme, a critério da instituição e sujeitos à avaliação do Desup.
Art. 19. A classificação dos tomadores ou contrapartes deve refletir não apenas o prazo de 1 (um) ano utilizado para estimar o valor do parâmetro PD, mas também a possibilidade de deterioração da qualidade creditícia em horizontes superiores a 1 (um) ano.
Parágrafo único. A classificação de que trata o caput deve considerar o efeito da deterioração das condições econômicas em relação à situação corrente e à ocorrência de eventos inesperados, principalmente sobre os setores mais sensíveis a oscilações dessas condições.
Art. 20. Os sistemas de quantificação de risco de natureza parametrizada devem:
I - ser submetidos a acompanhamento contínuo e a avaliações críticas periódicas dos resultados e de seus processos, de forma a garantir a utilização de todas as informações relevantes; e
II - ser complementados, quando necessário, com ajustes de caráter qualitativo destinados a mitigar suas limitações, seguindo procedimentos previamente documentados.
§ 1º Os modelos utilizados, em particular as variáveis empregadas, devem possuir, comprovadamente, alta capacidade preditiva em relação ao desempenho dos tomadores ou contrapartes e às operações às quais a instituição está exposta.
§ 2º As estimativas produzidas pelos modelos de que trata o § 1º não devem apresentar viés significativo.
§ 3º A instituição deve estabelecer processo de verificação da exatidão, completude e adequação dos dados utilizados para a classificação das exposições ao perfil de risco atual.
§ 4º O desempenho e a estabilidade dos modelos devem ser monitorados, de maneira a possibilitar a comparação entre os valores estimados para os parâmetros de risco e seus respectivos valores realizados.
§ 5º O processo de classificação de risco, quando composto de diversas instâncias de avaliação, deve manter registros e justificativas de todo o histórico de classificações da mesma exposição.
Art. 21. Ajustes idiossincráticos que se sobreponham ao processo de quantifica-ção de risco estabelecido pela instituição (overrides) devem ser acompanhados individualmente para fim de análise de desempenho.
Parágrafo único. O ajuste idiossincrático de que trata o caput deve ocorrer no âmbito de um sistema de alçadas predefinido.
Art. 22. Os dados utilizados para construção do modelo devem ser comprovadamente representativos do universo dos tomadores ou contrapartes e dos produtos atuais.
Parágrafo único. Caso não seja possível demonstrar a representatividade dos dados, devem ser realizados ajustes conservadores.
Art. 23. As mudanças de critérios, de parâmetros ou de procedimentos utilizados para classificação de risco devem ser documentadas e disponibilizadas para revisão pelo Desup.
Art. 24. Deve ser mantido histórico da classificação de risco dos tomadores ou contrapartes e dos garantidores, abrangendo a classificação inicial de risco, a data de classificação, a metodologia, os principais dados utilizados e o responsável pela classificação, com detalhamento e dados suficientes para permitir a classificação retroativa em caso de alteração de modelo.
Art. 25. O processo de classificação de tomadores e de operações deve ter amparo em estrutura apropriada de incentivos, de maneira a isolá-lo de pressões de pessoas que possam dele se beneficiar e, em particular, evitar que pessoas envolvidas no referido processo obtenham ganhos advindos da concessão de crédito.
CAPÍTULO II
DOS TESTES DE ESTRESSE
Art. 26. A utilização de abordagens IRB deve incluir a realização de testes de estresse, que considerem, no mínimo:
I - a ocorrência de eventos isolados ou mudanças nas condições econômicas ou de mercado que afetem a capacidade de a instituição suportar os riscos das exposições mencionadas no caput do art. 4º; e
II - simulações de cenários específicos de deterioração relativamente branda do mercado de crédito que afetem aspectos pontuais da abordagem IRB adotada e permitam a quantificação do impacto de tal deterioração nas classificações de risco das exposições e na estimativa do valor da parcela RWACIRB.
§ 1º Para realização dos testes de estresse mencionados no inciso II do caput, os respectivos dados devem permitir estimação da migração de exposições entre níveis de risco.
§ 2º Os testes de estresse mencionados no inciso II do caput devem ser aplicados com periodicidade mínima semestral.
§ 3º A periodicidade mínima mencionada no § 2º pode ser alterada a critério do Desup.
Art. 27. Deve ser mantido PR suficiente e compatível com os resultados dos testes de estresse estabelecidos no art. 26.
CAPÍTULO III
DA GOVERNANÇA
Seção I
Das Atribuições da Diretoria e do Conselho de Administração
Art. 28. São atribuições da diretoria e do conselho de administração da instituição que utiliza abordagem IRB:
I - definir as diretrizes de atuação das atividades de controles internos, os níveis de autorização necessários para assunção de diferentes níveis de risco, assim como as informações e os relatórios periódicos a serem submetidos à sua consideração; e
II - verificar a adequação dos resultados produzidos no âmbito da abordagem IRB ao perfil de risco da instituição.
Art. 29. São atribuições do conselho de administração da instituição que utiliza abordagem IRB ou de comitê específico por ele designado:
I - aprovar todos os aspectos essenciais e determinantes dos processos de classificação e estimação do risco de crédito; e
II - conhecer os aspectos gerais da abordagem IRB adotada e compreender os relatórios de gestão associados aos sistemas utilizados.
Art. 30. São atribuições da diretoria da instituição que utiliza abordagem IRB:
I - possuir adequado conhecimento acerca da estrutura e do processo operacional do sistema interno de classificação, da abordagem IRB adotada e dos relatórios de gestão associados aos sistemas utilizados;
II - acompanhar o processo de utilização de abordagem IRB;
III - verificar a adequação dos resultados da utilização de abordagem IRB ao perfil de risco atual;
IV - aprovar a adoção de práticas relacionadas aos sistemas internos de classificação do risco de crédito que apresentem diferenças significativas em relação aos procedimentos originalmente estabelecidos;
V - definir a estrutura de limites de risco assumidos pela instituição; e
VI - verificar a adequação dos resultados dos sistemas internos de classificação do risco de crédito ao perfil de risco da instituição.
Parágrafo único. A diretoria da instituição deve informar ao conselho de administração ou ao comitê designado qualquer exceção ou modificação nas políticas de concessão de crédito estabelecidas que possam afetar de forma significativa a utilização ou os resultados da abordagem IRB adotada.
Art. 31. Os relatórios encaminhados à diretoria da instituição e ao conselho de administração devem incluir as informações relativas a:
I - perfil de risco de cada nível de classificação;
II - matriz de migração entre níveis de classificação;
III - estimativas dos parâmetros de risco relevantes para cada nível de classificação; e
IV - comparação entre os valores estimados para cada parâmetro de risco e os valores efetivamente realizados.
Parágrafo único. A frequência dos relatórios deve possibilitar a tempestiva adoção de medidas corretivas.
Seção II
Das Unidades de Controle do Risco de Crédito
Art. 32. A estruturação, implementação e gerenciamento da abordagem IRB adotada constituem responsabilidades de uma ou mais unidades de controle do risco de crédito.
§ 1º As unidades de controle do risco de crédito devem ter independência administrativa e segregação funcional em relação à área responsável pela concessão do crédito.
§ 2º As atividades de que trata o caput podem ser desempenhadas pela unidade de gerenciamento do risco de crédito de que trata o art. 8º da Resolução nº 3.721, de 2009.
§ 3º As avaliações regulares da unidade de controle do risco de crédito, quanto ao desempenho do processo de classificação do risco de crédito, devem ser suficientemente documentadas, especificando as áreas que demandem aperfeiçoamento.
Art. 33. São funções da unidade de controle do risco de crédito:
I - monitorar a classificação atribuída às exposições ao longo do tempo;
II - produzir e analisar relatórios acerca do sistema de classificação de risco, com destaque para as seguintes informações:
a) taxas históricas de descumprimento, ordenadas de acordo com a classificação de risco no momento do descumprimento;
b) taxas históricas de descumprimento, ordenadas de acordo com a classificação de risco no período de, no mínimo, 12 (doze) meses antes do evento de descumprimento;
c) análise das taxas de migração entre níveis de risco; e
d) análise do comportamento dos critérios-chave para a classificação de risco;
III - implementar procedimentos para verificação da consistência das classificações de risco entre diferentes unidades de negócio e áreas geográficas;
IV - rever e documentar qualquer mudança no processo de classificação de risco, incluindo os respectivos fundamentos;
V - rever os critérios de classificação com base em sua capacidade preditiva quanto ao risco;
VI - acompanhar ações adotadas para melhorar deficiências identificadas; e
VII - monitorar os overrides.
CAPÍTULO IV
DO VALOR MENSAL DA PARCELA RWACIRB
Art. 34. O valor mensal da parcela RWACIRB deve corresponder ao resultado da seguinte fórmula:
RWACIRB = max {RWAmodelosinternos : S X RWACPAD}, em que:
|
I - RWAmodelosinternos = |
( |
Σ Ki X WADi |
) |
X 1,06 + RWACPAD(Parcial) |
|
F |
II - Ki = fator de ponderação do risco de crédito associado ao tomador ou grupo homogêneo de risco "i";
III - EADi = valor do parâmetro Exposição no Momento do Descumprimento associado à exposição "i" relativa ao tomador ou grupo homogêneo de risco "i";
IV - F = fator definido no art. 4º da Resolução nº 4.193, de 2013;
V - RWACPAD(Parcial) = valor mensal da parcela RWACPAD apurado segundo o disposto na Circular nº 3.644, de 2013, relativo às exposições não sujeitas às abordagens IRB, conforme o disposto no § 3º do art. 4º, ou portfólios ainda não autorizados pelo Desup, conforme art. 162, § 1º, inciso II;
VI - RWACPAD = valor mensal da parcela RWACPAD apurado segundo o disposto na Circular nº 3.644, de 2013, relativo às mesmas exposições para as quais foi apurada a parcela RWAmodelosinternos; e
VII - S = fator de cálculo paralelo para abordagem IRB.
Parágrafo único. O valor do fator de cálculo paralelo para abordagem IRB é igual a:
I - 0,90 (noventa centésimos), ao longo do primeiro ano após a data de autorização para uso de abordagem IRB; e
II - 0,80 (oitenta centésimos), a partir do segundo ano após a data de autorização para uso de abordagem IRB.
(Nota: Artigo 34 com redação dada pela Circular nº 3.673, de 31.10.2013)
CAPÍTULO V
DAS CATEGORIAS "ATACADO", "ENTIDADES SOBERANAS" E "INSTITUIÇÕES FINANCEIRAS"
Seção I
Da Distribuição das Exposições por Níveis de Risco
Art. 35. Para as categorias "atacado", "entidades soberanas" e "instituições financeiras", a abordagem IRB empregada deve proporcionar a distribuição equilibrada das exposições em níveis de risco, sem que haja excessiva concentração em determinado nível, considerando duas dimensões:
I - o risco de descumprimento do tomador ou contraparte, determinante do valor do parâmetro PD; e
II - os fatores específicos da operação, determinantes do valor do parâmetro LGD.
§ 1º A concentração significativa de exposições em um nível de risco deve ser justificada por evidências empíricas que comprovem a razoável homogeneidade dos tomadores ou contrapartes ali classificadas.
§ 2º Instituições que utilizem o mapeamento das exposições classificadas na subcategoria "financiamentos especializados", nos termos do art. 40, não necessitam considerar as dimensões mencionadas nos incisos I e II do caput deste artigo.
§ 3º Tomadores e operações devem ter sua classificação revisada no mínimo anualmente.
§ 4º A classificação de tomadores e operações de risco mais elevado deve ser revista com maior frequência.
§ 5º Devem ser estabelecidos procedimentos que garantam a obtenção contínua de novas informações relevantes sobre seus tomadores e a atualização tempestiva das classificações.
Seção II
Da Dimensão Relativa ao Tomador ou Contraparte
Art. 36. A dimensão relativa ao risco de descumprimento do tomador ou contraparte, de que trata o art. 35, inciso I, deve proporcionar a distribuição das exposições em, no mínimo, oito níveis de risco, dos quais sete níveis devem corresponder às exposições para as quais não é verificado descumprimento e um nível deve corresponder às exposições para as quais é verificado descumprimento.
§ 1º Cada nível deverá estar associado a uma estimativa específica do parâmetro PD.
§ 2º As diferentes exposições relativas a um mesmo tomador ou contraparte devem ser classificadas em um mesmo nível de risco, independentemente de diferenças nas características das respectivas operações, exceto nas seguintes hipóteses:
I - tratamento do risco-país, conforme suas exposições sejam denominadas em moeda local ou moeda estrangeira; e
II - tratamento de exposições com garantia fidejussória que impliquem alteração da classificação de risco.
§ 3º O Desup poderá, a seu critério, determinar a alteração da quantidade de níveis de risco considerados na abordagem IRB utilizada.
Seção III
Da Dimensão Relativa a Fatores Específicos da Operação
Art. 37. A dimensão relativa a fatores específicos da operação, mencionada no art. 35, inciso II, deve considerar exclusivamente os fatores relativos à operação que podem influenciar a magnitude de eventuais perdas.
Parágrafo único. No caso de emprego da abordagem IRB básica, é facultada a utilização de fatores que reflitam conjuntamente características da operação e do tomador ou contraparte.
Art. 38. O número de níveis de risco referentes à dimensão relativa a fatores específicos da operação deve ser suficiente para evitar que exposições com grande diferença dos valores do parâmetro LGD sejam agrupadas em um mesmo nível.
Parágrafo único. Os critérios utilizados para segregação dos níveis devem ser amparados por evidência empírica.
Seção IV
Do Cálculo do Valor do Fator K
Art. 39. Para as exposições classificadas nas categorias “atacado”, “entidades soberanas” e “instituições financeiras”, o fator K de que trata o inciso II, do art. 34, deve corresponder ao resultado da seguinte fórmula:

, em que:
(Nota: Caput com redação dada, a partir de 01.01.2017, pela Circular nº 3.810, de 25.08.2016)
I - N = função de distribuição normal acumulada;
II - N–1 = inversa da função de distribuição normal acumulada;
III - PD = parâmetro Probabilidade de Descumprimento;
IV - LGD = parâmetro Perda Dado o Descumprimento;
V - M = parâmetro Prazo Efetivo de Vencimento;
VI - b = coeficiente de ajuste do parâmetro M, calculado de acordo com a seguinte fórmula: b = (0,11852 - 0,05478 x ln(PD) )2; e
VII - R = fator de correlação.
§ 1º Para as exposições mencionadas no caput, o fator de correlação R deve corresponder ao resultado da seguinte fórmula:

em que:
I - i = 1 nos casos de exposições a:
a) instituições financeiras sujeitas ao Processo Interno de Avaliação da Adequação de Capital (Icaap), nos termos da Resolução nº 3.988, de 30 de junho de 2011; e
b) instituições não autorizadas pelo Banco Central do Brasil que desempenham atividades conduzidas por instituição financeira, tais como a administração de consórcios e de cartão de crédito, aquisição de operações de crédito, gestão de recursos de terceiros, operações de compra de faturamento comercial (factoring), arrendamento mercantil, securitização, provisão de reforço de crédito em operações de securitização, custódia de títulos e valores mobiliários e tesouraria; e
II - i = 0, nos demais casos.
§ 2º Para as exposições classificadas na subcategoria "SME", o fator de correlação R deve corresponder ao resultado da seguinte fórmula:

, em que:
(Nota: Fórmula com redação dada, a partir de 01.01.2017, pela Circular nº 3.810, de 25.08.2016)
I - S = receita bruta anual do grupo econômico do qual a pessoa jurídica faz parte, em milhões de reais, limitada ao valor mínimo de 15 (quinze inteiros) e valor máximo de 60 (sessenta inteiros), sendo o valor de S igual a 15 (quinze inteiros) para exposições a pessoas naturais e a pessoas jurídicas de direito privado integrantes de grupo econômico com receita bruta anual consolidada inferior a R$15.000.000,00 (quinze milhões de reais); e (Nota: Redação dada, a partir de 01.01.2017, pela Circular nº 3.810, de 25.08.2016)
II - e = constante neperiana.
§ 3º Para as exposições classificadas na subcategoria "HVCRE", o fator de correlação R deve corresponder ao resultado da seguinte fórmula:

, em que:
I - PD = parâmetro Probabilidade de Descumprimento; e
II - e = constante neperiana.
§ 4º A adoção da abordagem IRB avançada para a subcategoria "HVCRE" implica a adoção da mesma abordagem para a subcategoria de "empreendimentos imobiliários geradores de receita".
§ 5º O valor do fator K para as exposições em descumprimento sujeitas à abordagem IRB avançada e classificadas nas categorias "atacado", "entidades soberanas", "instituições financeiras" deve corresponder ao resultado da seguinte fórmula:
K = max (0, LGD - EL), em que:
I - LGD = parâmetro Perda Dado o Descumprimento; e
II - EL = percentual de perda esperada, conforme estabelecido no art. 110.
§ 6º O valor do fator K deve ser igual a 0 (zero) para as exposições em descumprimento sujeitas à abordagem IRB básica classificadas nas categorias "atacado", "entidades soberanas" e "instituições financeiras".
Art. 40. É facultada a classificação das exposições na subcategoria "financiamentos especializados" com base em avaliação interna quanto ao grau de atendimento de determinados critérios associados aos tipos "financiamento de projeto", "financiamento de objeto específico", "financiamento de commodities", "empreendimento imobiliário gerador de receita" e "HVCRE".
§ 1º Os critérios para a classificação de que trata o caput estão descritos nos anexos I a IV desta Circular.
§ 2º A metodologia de classificação das exposições do tipo "HVCRE", da subcategoria "financiamentos especializados", deve proporcionar sua alocação em cinco níveis de risco, dos quais quatro níveis devem corresponder às exposições em que não é verificado descumprimento e um nível deve corresponder às exposições em que é verificado descumprimento, de acordo com a seguinte ponderação (Pi):
I - nível Forte, 95% (noventa e cinco por cento);
II - nível Bom, 120% (cento e vinte por cento);
III - nível Satisfatório, 140% (cento e quarenta por cento);
IV - nível Fraco, 250% (duzentos e cinquenta por cento); e
V - nível Descumprimento, 0% (zero por cento).
§ 3º A metodologia de classificação das exposições dos demais tipos da subcategoria "financiamentos especializados" deve proporcionar a alocação das exposições em cinco níveis de risco, dos quais quatro níveis devem corresponder às exposições em que não é verificado descumprimento e um nível deve corresponder às exposições em que é verificado descumprimento, de acordo com as seguintes ponderações (Pi):
I - nível Forte, 70% (setenta por cento);
II - nível Bom, 90% (noventa por cento);
III - nível Satisfatório, 115% (cento e quinze por cento);
IV - nível Fraco, 250% (duzentos e cinquenta por cento); e
V - nível Descumprimento, 0% (zero por cento).
§ 4º O fator K para exposições do tipo "HVCRE" que recebem o tratamento previsto no caput deve ser calculado da seguinte forma:
Ki = F x Pi, em que:
I - F = fator definido no art. 4º da Resolução nº 4.193, de 2013.
II - Pi = o valor de P associado à exposição, entre os mencionados no § 2º.
§ 5º O fator K para demais tipos da subcategoria "financiamentos especializados" que recebem o tratamento previsto no caput deve ser calculado da seguinte forma:
Ki = F x Pi, em que:
I - F = fator mencionado no art. 34, inciso IV; e (Nota: Redação dada, a partir de 01.01.2017, pela Circular nº 3.810, de 25.08.2016)
II - Pi = o valor de P associado à exposição, entre os mencionados no § 3º.
Seção V
Das Exposições Classificadas na Subcategoria SME e Exposições a Pessoas Naturais
Art. 41. O Desup poderá dispensar, excepcionalmente, o tratamento individualizado exigido para exposições classificadas na subcategoria "SME" e exposições a pessoas naturais não classificadas na categoria "varejo", permitindo sua inclusão em um grupo homogêneo de risco conforme definido no § 1º do art. 44, desde que a gestão dessas exposições seja feita de forma não individualizada.
Parágrafo único. No caso de dispensa mencionado no caput, o descumprimento é definido como a ocorrência de pelo menos um dos seguintes eventos:
a) a instituição considera que o tomador ou contraparte não irá honrar integralmente a respectiva obrigação sem que a instituição recorra a ações tais como a execução de garantias prestadas ou colaterais empenhados; ou
b) a respectiva obrigação está em atraso há mais de 180 (cento e oitenta) dias, no caso de exposição a pessoas naturais com garantia de imóvel residencial, ou há mais de 90 (noventa) dias, no caso de demais exposições.
Seção VI
Do Armazenamento de Dados
Art. 42. Deve ser armazenado o histórico completo de estimativas do parâmetro PD e da frequência de descumprimento observada para cada nível de risco, bem como o histórico de migração das exposições entre os níveis de risco.
Art. 43. Para as categorias "atacado", "entidades soberanas" e "instituições financeiras", a utilização da abordagem IRB avançada implica o armazenamento das seguintes informações:
I - histórico completo das estimativas dos parâmetros LGD e EAD associadas a cada operação;
II - principais dados utilizados para a estimação dos parâmetros de risco;
III - identificação da pessoa responsável ou modelo utilizado no processo de estimação;
IV - valores realizados dos parâmetros LGD e EAD associados a cada operação; e
V - valores de perdas e recuperações para cada exposição em descumprimento.
Parágrafo único. O prazo mínimo de armazenamento dos dados mencionados nos incisos I, IV e V é de 5 (cinco) anos.
CAPÍTULO VI
DA CATEGORIA "VAREJO"
Seção I
Do Grupo Homogêneo de Risco
Art. 44. Para as exposições classificadas na categoria "varejo", os sistemas de classificação de exposições segundo o risco de crédito devem permitir a associação de cada exposição a um grupo homogêneo de risco, identificado com base nos seguintes critérios:
I - características de risco do tomador ou contraparte;
II - características de risco da exposição, incluindo o tipo de produto e a existência de garantias, entre outros; e
III - atraso nas operações associadas às exposições.
§ 1º Define-se "grupo homogêneo de risco" como o conjunto de exposições de varejo com características comuns para fins de avaliação e quantificação do risco de crédito, identificado com base nos critérios estabelecidos no caput.
§ 2º A distribuição das exposições classificadas na categoria "varejo" deve propiciar uma diferenciação significativa de riscos e evitar concentrações em determinados grupos homogêneos de risco.
§ 3º Concentrações significativas em um grupo homogêneo de risco devem ser justificadas por evidências empíricas que comprovem a razoável homogeneidade dos tomadores ou contrapartes e das operações ali classificadas.
§ 4º Deve ser assegurado que o número de exposições classificadas em determinado grupo homogêneo de risco é suficiente para permitir a adequada mensuração e validação de seus parâmetros de risco.
Art. 45. Para cada grupo homogêneo de risco devem ser estimados os valores dos parâmetros PD e LGD, admitindo-se a ocorrência circunstancial de estimativas idênticas para diferentes grupos homogêneos de risco.
Parágrafo único. Dados externos e modelos estatísticos podem ser utilizados como fonte complementar de informação, desde que seja demonstrada forte correlação com o perfil de risco e de segmentação das exposições da instituição.
Art. 46. Os valores e as características das perdas e a frequência de descumprimentos associados a grupos homogêneos de risco devem ser revisados, no mínimo, anualmente.
§ 1º As exposições devem permanecer alocadas a grupos homogêneos de risco corretos, devendo, para tal, ser revisadas suas classificações, no mínimo, anualmente.
§ 2º O processo de revisão de que trata o caput pode ser efetuado mediante a utilização de amostragem estatisticamente representativa.
Seção II
Do Cálculo do Valor Do Fator K
Art. 47. Para as exposições classificadas na categoria "varejo", o valor do fator K deve corresponder ao resultado da seguinte fórmula:

, em que:
I - N = função de distribuição normal acumulada;
II - N-1 = inversa da função de distribuição normal acumulada;
III - PD = parâmetro Probabilidade de Descumprimento;
IV - LGD = parâmetro Perda Dado o Descumprimento; e
V - R = fator de correlação.
§ 1º Para as exposições classificadas na subcategoria "residencial", o valor do fa-tor de correlação R é de 0,15 (quinze centésimos) e o valor do parâmetro LGD não pode ser infe-rior a 10% (dez por cento). (Nota: Redação dada pela Circular nº 3.673, de 31.10.2013)
§ 2º Para as exposições classificadas na subcategoria "crédito rotativo de varejo qualificado", o valor do fator de correlação R é de 0,04 (quatro centésimos).
§ 3º Para as demais exposições de varejo, o valor do fator de correlação R deve corresponder ao resultado da seguinte fórmula:
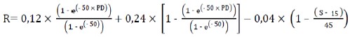
R = 0,03 x (1 – e (-35 x PD)) / (1 – e-35) + 0,16 x [1 – (1 – e (-35 x PD)) / (1 – e-35)], em que e = constante neperiana.
§ 4º O valor do fator K para as exposições em descumprimento sujeitas à abordagem IRB avançada e classificadas na categoria "varejo"deve corresponder ao resultado da seguinte fórmula:
K = max (0, LGD - EL), em que:
I - LGD = parâmetro Perda Dado o Descumprimento; e
II - EL = percentual de perda esperada, conforme estabelecido no art. 110.
Seção III
Do Armazenamento de Dados
Art. 48. A utilização de abordagem IRB para exposições classificadas na categoria "varejo" implica o armazenamento das seguintes informações:
I - dados utilizados no processo de alocação em grupos homogêneos de risco, incluindo dados sobre as características de risco do tomador e da operação, bem como dados sobre o atraso;
II - estimativas dos valores dos parâmetros PD e LGD associadas aos grupos homogêneos de risco;
III - valores realizados para os parâmetros LGD e EAD e frequência de descumprimento observada; e
IV - identificação dos grupos homogêneos de risco nos quais as exposições em descumprimento estavam alocadas no ano anterior ao descumprimento.
Parágrafo único. O prazo mínimo de armazenamento dos dados mencionados nos incisos II e III é de 5 (cinco) anos.
CAPÍTULO VII
DA CATEGORIA "PARTICIPAÇÕES SOCIETÁRIAS"
Seção I
Das Disposições Gerais
Art. 49. Para as exposições classificadas na categoria "participações societárias", a opção de utilização da abordagem simplificada, da abordagem VaR ou da abordagem PD/LGD deve ser consistente com o montante e a complexidade dessas exposições e com o porte e a complexidade da instituição.
§ 1º É admitida a utilização de diferentes abordagens para diferentes portfólios, desde que consistentes com o seu uso interno, sujeita a avaliação do Desup.
§ 2º O Desup poderá, a seu critério, determinar o uso de abordagem diversa da utilizada pela instituição entre as estabelecidas no caput.
§ 3º O valor do parâmetro EAD deve corresponder ao valor contábil das posições compradas em ações não classificadas na carteira de negociação.
Seção II
Da Abordagem Simplificada
Art. 50. Na abordagem simplificada, o valor mensal da parcela RWACIRB deve corresponder ao resultado da fórmula estabelecida no art. 34, em que o fator Ki é obtido por meio da seguinte fórmula:
Ki = K* x F, em que:
I - K* = 300% (trezentos por cento), para ações negociadas em bolsa, ou 400% (quatrocentos por cento), para as demais ações; e
II - F = fator definido no art. 4º da Resolução nº 4.193, de 2013.
Art. 51. Posições compradas em ações podem ser compensadas por posições vendidas à vista nas mesmas ações e por instrumentos financeiros derivativos não classificados na carteira de negociação, destinados ao hedge dessas ações, desde que estes apresentem prazo efetivo de vencimento de, no mínimo, 1 (um) ano.
Seção III
Da Abordagem VaR
Art. 52. A utilização da abordagem VaR está condicionada ao atendimento dos seguintes requisitos mínimos:
I - robustez das estimativas de perdas diante de movimentos de mercado adversos e relevantes em relação ao perfil de risco de longo prazo do portfólio da instituição;
II - adequação do modelo VaR utilizado ao perfil de risco e à complexidade da carteira, devendo explicar variações históricas de preços, mensurar o risco de não linearidade, considerar condições adversas de mercado e potenciais riscos de concentração;
III - comprovação teórica e empírica das técnicas e processos de mapeamento das exposições em fatores de risco, ou em aproximações (proxies);
IV - utilização de todos os dados, informações e metodologias relevantes disponíveis para estimar as volatilidades dos retornos das exposições;
V - realização de um abrangente programa de testes de estresse que submetam suas estimações a cenários históricos e prospectivos; e
VI - estabelecimento de políticas, procedimentos e controles que atendam, no mínimo, aos seguintes requisitos:
a) integração da abordagem ao gerenciamento de risco e do portfólio das exposições incluídas na categoria "participações societárias";
b) revisão independente e periódica do modelo VaR utilizado;
c) monitoramento de limites e do risco de crédito das operações classificadas na categoria "participações societárias";
d) independência da unidade que desenvolve e utiliza o modelo VaR em relação às unidades que gerenciam os investimentos; e
e) alocação de pessoal qualificado nos processos de modelagem.
Parágrafo único. Caso os requisitos mínimos estabelecidos no caput deixem de ser atendidos, deve ser utilizada a abordagem simplificada de que trata o art. 50 para cálculo do valor mensal da parcela RWACIRB, elaborado plano de adequação e obtida a aprovação deste pelo Desup.
Art. 53. Na abordagem VaR, o valor mensal da parcela RWACIRB deve corresponder à perda potencial obtida mediante modelo VaR com base no 99º percentil e intervalo de confiança unicaudal da diferença entre os retornos trimestrais e a taxa livre de risco calculada sobre um período amostral de longo prazo.
§ 1º Poderão ser utilizados dados relativos a horizontes de tempo inferiores a um trimestre, desde que sejam utilizadas técnicas de ajuste conservadoras, consistentes, comprovadas empiricamente e devidamente documentadas.
§ 2º Na hipótese de limitação de dados ou de limitações técnicas que produzam resultados de qualidade duvidosa, devem ser adotados procedimentos que gerem valores conservadores da respectiva parcela RWACIRB.
§ 3º A utilização de modelos com análise histórica de cenários implica a capacidade de demonstrar que a metodologia e a quantificação dos resultados estão de acordo com os parâmetros estabelecidos no caput.
§ 4º A utilização de modelos de fator implica a comprovação empírica de que os fatores são suficientes para mensurar os riscos gerais e específicos.
§ 5º No caso de utilização de modelos VaR multivariados, será permitido o reconhecimento de correlações entre os diversos fatores de risco, a critério do Desup, desde que documentadas e comprovadas empiricamente.
Art. 54. O valor individual mensal da parcela RWACIRB calculado segundo a abordagem VaR deve ser superior ao calculado mediante a utilização dos seguintes valores para o fator K*:
I - 200% (duzentos por cento), para ações negociadas em bolsa; e
II - 300% (trezentos por cento), para as demais ações.
Parágrafo único. O valor do fator K definido no art. 34, inciso I, é igual ao fator K* multiplicado pelo fator F definido no art. 4º da Resolução nº 4.193, de 2013.
Art. 55. A validação da abordagem VaR deve assegurar a exatidão e consistência dos modelos VaR, dos processos de modelagem e da base de dados utilizada realizando, no mínimo:
I - comparação periódica dos retornos observados com as estimativas produzidas pelos modelos VaR e demonstração de que esses retornos encontram-se dentro das faixas esperadas, tanto para o portfólio quanto para posições individuais;
II - utilização de ferramentas quantitativas de validação;
III - demonstração da consistência dos critérios quantitativos de validação ao longo do tempo;
IV - manutenção de documentação de todos os aspectos relevantes do processo de validação, incluindo as alterações na base de dados e nos métodos de estimação; e
V - realização de testes de aderência de forma contínua, em relação aos seguintes elementos:
a) resultados trimestrais previstos internamente e os resultados efetivamente observados; e
b) estimativas de volatilidades dos retornos, amparadas por base de dados apropriada.
Parágrafo único. O Desup poderá solicitar que os testes de aderência definidos no inciso V utilizem horizonte temporal distinto do trimestral, bem como a conversão das previsões de resultados trimestrais ao novo horizonte de tempo definido.
Art. 56. A utilização da abordagem VaR implica a manutenção de documentação descritiva e atualizada, abrangendo:
I - características do modelo VaR utilizado, incluindo metodologia, base teórica, parâmetros, variáveis, fontes de dados e o processo estatístico para validação das variáveis explicativas selecionadas;
II - determinantes da escolha do modelo VaR utilizado;
III - histórico de mudanças na metodologia do modelo VaR utilizado; e
IV - circunstâncias em que o modelo VaR utilizado não funciona efetivamente.
§ 1º A documentação deve demonstrar a adequação da abordagem empregada aos padrões mínimos qualitativos e quantitativos requeridos.
§ 2º A documentação deve demonstrar que as aproximações de que trata o art. 52, inciso III, não conduzem a uma subestimação do risco das exposições.
Seção IV
Da Abordagem PD/LGD
Art. 57. A utilização da abordagem PD/LGD é condicionada ao atendimento dos requisitos mínimos definidos para estimação do parâmetro PD para as exposições da categoria "atacado", conforme o disposto nos arts. 63, 64 e 66 a 73.
§ 1º O cálculo do valor da parcela RWACIRB, mencionado no art. 34, mediante a abordagem PD/LGD deve utilizar:
I - a fórmula para o cálculo do fator K definida no caput do art. 39;
II - o valor do parâmetro LGD igual a 90% (noventa por cento); e
III - a ponderação de risco ajustada para o valor do parâmetro M igual a 5 (cinco) anos.
§ 2º O valor do parâmetro PD deve ser inferido da seguinte forma:
I - utilização dos valores do parâmetro PD de exposições à mesma contraparte pertencentes a outras categorias; ou
II - utilização do valor do parâmetro PD obtido por meio da técnica de "mapeamento externo", definida no art. 72, no caso de ausência de exposições à mesma contraparte pertencentes a outras categorias sujeitas a abordagem IRB.
§ 3º Caso o valor do fator K seja obtido segundo o disposto no § 2º, inciso II, deste artigo, seu valor deve ser multiplicado por 1,5 (um inteiro e cinco décimos).
§ 4º Para o caso de operações destinadas a prover hedge para exposição pertencente à categoria "participações societárias", o valor do parâmetro LGD é igual a 90% (noventa por cento) para a exposição ao provedor do hedge e o valor do parâmetro M é igual a 5 (cinco) anos.
§ 5º Os fatores de ponderação de risco (Ki) não devem ter valor superior a 1.
§ 6º O valor do fator K* deve corresponder ao resultado da seguinte fórmula:
K* = Ki / F, em que F é o fator definido no art. 4º da Resolução nº 4.193, de 2013.
§ 7º O valor do fator EL* deve corresponder ao resultado da seguinte fórmula:
EL* = PD x LGD / F, em que:
I - PD = valor do parâmetro Probabilidade de Descumprimento;
II - LGD = valor do parâmetro Perda Dado o Descumprimento;
III - F = fator definido no art. 4º da Resolução nº 4.193, de 2013.
§ 8º A soma dos fatores K* e EL* deve ser comparada aos seguintes valores mínimos:
I - 100% (cem por cento), para participações societárias negociadas em bolsa, a serem mantidas pelo prazo mínimo de 5 (cinco) anos e não destinadas a realizar ganhos de capital no curto prazo nem tampouco antecipar ganhos extraordinários de longo prazo;
II - 100% (cem por cento), para participações societárias não negociadas em bolsa, para as quais o retorno seja obtido mediante fluxos de caixa regulares não derivados de ganhos de capital e não haja expectativa de ganhos extraordinários futuros ou imediatos;
III - 200% (duzentos por cento), para as demais participações societárias negociadas em bolsa, incluindo vendas a descoberto; e
IV - 300% (trezentos por cento), para as demais exposições.
§ 9º Caso a soma mencionada no § 8º seja inferior aos valores mínimos estabelecidos nos seus incisos, o valor de K* deve ser igualado aos respectivos valores mínimos.
TÍTULO IV
DOS RECEBÍVEIS FINANCEIROS ADQUIRIDOS
CAPÍTULO I
DA SEGREGAÇÃO
Art. 58. Os recebíveis financeiros adquiridos devem ser segregados em recebíveis financeiros de varejo e recebíveis financeiros de atacado.
§ 1º Os critérios para segregação dos recebíveis financeiros de varejo são os mesmos para classificação de exposições na categoria "varejo".
§ 2º Os critérios para segregação dos recebíveis financeiros de atacado são os mesmos para classificação de exposições na categoria "atacado", incluindo tratamento e análise individualizados dos devedores dos recebíveis.
Art. 59. A apuração da parcela RWACIRB relativa ao risco de crédito associado a portfólios de recebíveis financeiros adquiridos deve seguir o mesmo tratamento previsto para a respectiva subcategoria das categorias "varejo" e "atacado" na qual esses portfólios seriam classificados, caso originados pela própria instituição adquirente.
§ 1º Caso não atendidos os requisitos mínimos para classificação dos ativos subjacentes em subcategoria específica das categorias "varejo" e "atacado", o tratamento dispensado aos recebíveis financeiros adquiridos deve ser o mesmo dispensado às seguintes subcategorias:
I - "demais exposições de varejo", segundo definido no art. 8º, inciso III, para recebíveis de varejo; e
II - "demais exposições de atacado", segundo definido no art. 9º, inciso III, para recebíveis de atacado.
§ 2º Caso o conjunto de recebíveis inclua recebíveis associados a mais de uma subcategoria de exposição, cada exposição deve receber o tratamento da subcategoria na qual deva ser classificada.
§ 3º Caso o conjunto de recebíveis financeiros inclua recebíveis associados a mais de uma subcategoria de exposições e não seja possível a instituição associar cada exposição à sua categoria, o tratamento dispensado deve ser aquele que resulte no maior valor da parcela RWACIRB.
§ 4º Para os recebíveis financeiros de varejo, é facultada a utilização de fontes externas de dados, desde que complementares às análises internas.
§ 5º Para os recebíveis financeiros de varejo, a base de dados utilizada para estimação dos valores dos parâmetros PD e LGD deve desconsiderar os efeitos de técnicas de mitigação do risco de crédito utilizadas em conjunto com os recebíveis.
§ 6º O disposto no caput não exime a apuração da parcela RWACIRB relativa ao risco de redução associado a exposições a recebíveis financeiros adquiridos, nos termos dos arts. 61 a 62.
Art. 60. A utilização da abordagem IRB avançada para recebíveis financeiros de atacado está condicionada à autorização da mesma abordagem para a categoria "atacado".
CAPÍTULO II
DO RISCO DE REDUÇÃO
Art. 61. No cálculo da parcela RWACIRB, em adição ao risco de crédito, deve ser considerado o risco de redução associado a um conjunto de recebíveis financeiros ou a recebíveis financeiros individuais, segundo os seguintes critérios:
I - o valor estimado para a EL associada ao risco de redução do conjunto de recebíveis deve ser estimado para o horizonte de 1 (um) ano e expresso como percentual do total de recebíveis, desconsiderados os efeitos de técnicas de mitigação do risco de crédito utilizadas em conjunto com os recebíveis;
II - o valor do parâmetro PD associado ao risco de redução deve ser igual ao valor para a EL associada ao risco de redução, considerando o valor do parâmetro LGD associado ao risco de redução igual a 100% (cem por cento); e
III - os recebíveis devem atender aos mesmos requisitos quantitativos da categoria ou subcategoria em que são classificadas as exposições subjacentes.
§ 1º O risco de redução é definido como a possibilidade da ocorrência de eventos que podem reduzir o valor dos recebíveis, incluindo a devolução ou o desconto por mercadorias defeituosas ou fora de especificação.
§ 2º Para estimação do valor da EL associada ao risco de redução, é facultada a utilização prioritária de fontes externas de dados.
§ 3º Devem ser utilizados os valores dos parâmetros de risco estabelecidos no inciso II do caput e as fórmulas utilizadas para cálculo do fator K aplicáveis à respectiva subcategoria de exposição para obtenção do fator K associado ao risco de redução.
§ 4º Os critérios estabelecidos no caput devem ser adotados tanto para recebíveis financeiros de varejo como de atacado.
§ 5º O valor do parâmetro M deve ser apurado conforme o disposto no art. 86.
§ 6º Na hipótese de comprovação de que o risco de redução seja efetivamente monitorado e controlado, o valor do parâmetro M deve ser igual a 1 (um) ano.
§ 7º A critério do Desup e diante da comprovação de irrelevância do risco de redução a que está exposta a instituição, pode ser dispensada a apuração desse risco.
§ 8º A apuração do risco de redução conforme o caput não implica a dispensa do cálculo do fator K associado ao risco de crédito e ao valor da parcela RWACIRB associado a um conjunto de recebíveis financeiros ou a recebíveis financeiros individuais.
Art. 62. As garantias fidejussórias e os derivativos de crédito associados aos recebíveis devem receber o tratamento estabelecido nos arts. 87 a 107. (Nota: Redação dada, a partir de 01.01.2017, pela Circular nº 3.810, de 25.08.2016)
Parágrafo único. As garantias fidejussórias de que trata o caput devem observar os seguintes procedimentos adicionais:
I - no caso de a garantia cobrir integralmente tanto o risco de crédito como o risco de redução, a ponderação de risco original utilizada deve ser substituída pela ponderação de risco do garantidor na apuração de ambos os riscos;
II - no caso de a garantia cobrir integralmente apenas o risco de crédito ou o risco de redução, a ponderação de risco do garantidor somente deve ser utilizada para apuração do valor da parcela RWACIRB associado às exposições cujos riscos foram mitigados, o qual será somado à parcela RWACIRB associada às exposições cujo risco não foi mitigado; e
III - no caso de a garantia cobrir parcialmente o risco de crédito ou o risco de redução, a parcela não coberta deve ser submetida ao tratamento previsto nos arts. 58 a 61.
TÍTULO V
DOS PARÂMETROS DE RISCO
CAPÍTULO I
DAS ESTIMATIVAS DOS PARÂMETROS DE RISCO PD, LGD e EAD
Art. 63. As estimativas dos valores dos parâmetros PD, LGD e EAD devem atender aos seguintes requisitos:
I - ser baseadas em dados históricos, evidências empíricas e aspectos subjetivos complementares, caso os últimos sejam relevantes;
II - considerar toda a informação quantitativa e qualitativa disponível, observado o critério de relevância;
III - incorporar mudanças relevantes nos critérios e processos de concessão de crédito ou nos processos de recuperação;
IV - refletir avanços técnicos, alterações nas bases de dados e outras informações relevantes;
V - utilizar base de dados representativa do universo dos seus tomadores e produtos atuais, bem como de seus padrões de concessão de crédito;
VI - contemplar condições econômicas, jurídicas e de mercado subjacentes ao modelo, compatíveis tanto com o cenário corrente quanto com cenários previstos;
VII - utilizar número de exposições na amostra e período amostral suficientes para assegurar adequada precisão e robustez às estimativas; e
VIII - adotar modelos que produzam resultados satisfatórios em testes "fora da amostra".
§ 1º Em caso de restrição de dados, as estimativas devem ser feitas de forma conservadora.
§ 2º As estimativas dos valores dos parâmetros PD, LGD e EAD devem ser revistas, no mínimo, anualmente.
Art. 64. As instituições financeiras devem utilizar dados internos como principal fonte de informação para estimativa dos parâmetros de risco.
Parágrafo único. É facultada a utilização de dados externos e modelos estatísticos de terceiros como fonte complementar de informação, desde que seja demonstrada boa aderência ao perfil de risco e de segmentação das exposições da instituição.
Art. 65. No processo de estimação de parâmetros de risco para a categoria "varejo", a partir das perdas observadas no longo prazo, podem ser utilizados, alternativamente:
I - o parâmetro PD para inferir o valor do parâmetro LGD; e
II - as taxas de perda dado o descumprimento observadas no longo prazo para inferir o valor do parâmetro PD.
Art. 66. Os parâmetros de risco associados aos níveis de risco devem manter-se, ao longo do tempo, dentro de faixas esperadas, sem apresentar viés significativo.
§ 1º Para fins da verificação do disposto no caput, devem ser realizadas, no mínimo anualmente, as seguintes comparações (testes de aderência):
I - taxas de descumprimento realizadas com valores do parâmetro PD associados a cada nível de risco; e
II - valores dos parâmetros LGD e EAD observados com suas estimativas para cada nível de risco, na hipótese de utilização da abordagem IRB avançada.
§ 2º Na hipótese de utilização da abordagem IRB básica, deve ser considerada a comparação dos parâmetros de risco divulgados pelo Banco Central do Brasil com os respectivos valores realizados para as exposições.
§ 3º As comparações previstas no § 1º devem estar ajustadas às características dos modelos e ao estágio do ciclo econômico e ser adequadamente documentadas, incluindo os métodos e valores dos parâmetros de risco utilizados.
§ 4º Caso os limites mencionados no caput não sejam respeitados, deverá ser estabelecido plano de ação para a correção das respectivas estimativas.
§ 5º Ao longo da execução do plano de ação mencionado, as estimativas dos parâmetros de risco devem ser ajustadas aos respectivos valores realizados.
CAPÍTULO II
DA ESTIMATIVA DO PARÂMETRO DE RISCO PD
Seção I
Dos Valores para o Parâmetro PD
Art. 67. Para as exposições classificadas nas categorias "atacado", "instituições financeiras" e "varejo", o valor mínimo para o parâmetro PD é de 0,03% (três centésimos por cento).
Art. 68. Para exposições em descumprimento, o valor para o parâmetro PD do tomador ou contraparte é de 100% (cem por cento).
Art. 69. O parâmetro PD poderá ser ajustado com base na existência de garantias fidejussórias, de acordo com os critérios previstos nos arts. 87 a 107. (Nota: Redação dada, a partir de 01.01.2017, pela Circular nº 3.810, de 25.08.2016)
Seção II
Das Técnicas de Estimação
Art. 70. Para as categorias "atacado", "entidades soberanas" e "instituições financeiras", a estimação do valor do parâmetro PD deve adotar uma técnica principal entre as seguintes:
I - estimação interna;
II - mapeamento externo; ou
III - método estatístico.
§ 1º As técnicas mencionadas nos incisos II e III do caput devem ser utilizadas como técnica principal de estimação apenas quando ausente dados adequados para estimação interna.
§ 2º A instituição que adotar abordagem IRB deve ser capaz de combinar os resultados das referidas técnicas, tendo em vista realizar comparações, ajustes e análises críticas, bem como realizar ajustes nos modelos em decorrência de limitações dessas técnicas ou das informações e dados disponíveis.
§ 3º Devem ser utilizadas técnicas e informações que reflitam as condições de longo prazo no decorrer do processo de estimação do valor do parâmetro PD.
§ 4º Cabe à instituição que adota abordagem IRB comprovar que a técnica utilizada é consistente e adequada às características do tomador ou contraparte, ao risco a ele associado e à base de dados.
Subseção I
Da Estimação Interna
Art. 71. A técnica de estimação interna deve se amparar na utilização de estimativas baseadas no histórico interno de descumprimento para estimação do valor do parâmetro PD.
§ 1º A utilização da técnica de estimação interna está condicionada à demonstração de que:
I - as bases de dados são consistentes com a definição de descumprimento adotada e com o perfil dos clientes classificados na carteira atual; e
II - as estimativas refletem adequadamente as políticas de concessão de financiamentos e as eventuais diferenças entre o sistema de classificação que gerou os dados e o atual sistema utilizado pela instituição.
§ 2º No caso de limitação dos dados disponíveis e de alterações das políticas de concessão de financiamentos ou dos modelos internos de classificação de risco, a estimação deve ser ajustada de forma conservadora.
Subseção II
Do Mapeamento Externo
Art. 72. Na técnica de mapeamento externo, a análise das informações oriundas de agência de classificação de risco deve considerar as informações tipicamente relacionadas ao tomador ou contraparte e desconsiderar as informações tipicamente relacionadas à natureza da operação realizada.
§ 1º A técnica de mapeamento externo consiste em associar classificações internas do risco de crédito à estrutura de classificação adotada por agência de classificação de risco, comparando as classificações internas às classificações externas dessa agência para o tomador ou contraparte.
§ 2º Devem ser analisadas e consideradas potenciais diferenças entre as definições e metodologias internas e aquelas adotadas pela agência externa de classificação de risco utilizada para os fins do disposto no caput.
§ 3º É vedada a utilização direta de:
I - ordenamento dos níveis de risco utilizados por agência externa de classificação de risco; e
II - probabilidades de inadimplência ou medidas similares produzidas por agência externa de classificação de risco como estimativas internas de PD.
§ 4º O processo de mapeamento deve ser devidamente documentado, incluindo as classificações internas do risco de crédito e suas associações às classificações externas.
Subseção III
Do Método Estatístico
Art. 73. A utilização da técnica de método estatístico é condicionada ao atendimento dos requisitos estabelecidos no art. 20.
Parágrafo único. A técnica de método estatístico consiste em utilizar a média das estimativas individuais de taxas de descumprimento, obtidas por meio de modelos estatísticos, para contrapartes pertencentes a cada nível de risco.
CAPÍTULO III
DA ESTIMATIVA DO PARÂMETRO DE RISCO LGD
Seção I
Da Abordagem IRB Básica
Art. 74. Para as exposições não associadas a colaterais e classificadas nas categorias "atacado", "entidades soberanas" e "instituições financeiras", o parâmetro LGD utilizado na abordagem básica deve assumir os seguintes valores:
I - 85% (oitenta e cinco por cento), para exposições a pessoas naturais e empresas com faturamento inferior ou igual a R$15.000.000,00 (quinze milhões de reais) não enquadradas na categoria “varejo”;. (Nota: Redação dada, a partir de 01.01.2017, pela Circular nº 3.810, de 25.08.2016)
II - 70% (setenta por cento), para exposições a empresas com faturamento superior ou igual a R$60.000.000,00 (sessenta milhões de reais); (Nota: Redação dada, a partir de 01.01.2017, pela Circular nº 3.810, de 25.08.2016)
III - o resultado da seguinte fórmula, para exposições a empresas com faturamento superior a R$15.000.000,00 (quinze milhões de reais) e inferior a R$60.000.000,00 (sessenta milhões de reais):
LGD = 0,70 + 0,15 x [1 - (S - 15) / 45], em que S é igual ao valor da receita bruta anual da pessoa jurídica em milhões de reais, limitado ao mínimo de 15 (quinze inteiros) e ao máximo de 60 (sessenta inteiros); e
(Nota: Inciso III com redação dada, a partir de 01.01.2017, pela Circular nº 3.810, de 25.08.2016)
IV - 45% (quarenta e cinco por cento), para exposições classificadas na categoria "entidades soberanas".
Parágrafo único. Caso quaisquer das exposições mencionadas no caput sejam de classe expressamente subordinada a outra classe de exposições, o parâmetro LGD deve assumir o valor de 85%. (Nota: Incluído pela Circular nº 3.673, de 31.10.2013)
Seção II
Abordagem IRB Avançada
Art. 75. A estimação do valor do parâmetro LGD utilizado na abordagem avançada deve atender aos seguintes requisitos:
I - ser individualizada para cada tipo de exposição;
II - levar em conta as características particulares das exposições;
III - contemplar um ciclo econômico completo, incluindo períodos caracterizados por perdas elevadas em relação à média de longo prazo nas operações de crédito;
IV - ser igual ou superior à média ponderada de longo prazo dos percentuais de perda dado o descumprimento;
V - adotar estimativas conservadoras, caso seja observada correlação positiva relevante entre a frequência de descumprimento e o valor do parâmetro LGD ou quando não seja possível demonstrar a inexistência da referida correlação;
VI - refletir adequadamente os procedimentos de cobrança; e
VII - considerar eventuais diferenças entre os procedimentos de cobrança que geraram os dados e os atuais procedimentos utilizados pela instituição.
§ 1º O valor do parâmetro LGD de uma exposição pode ser estimado em conjunto com o de outras exposições.
§ 2º A ponderação prevista no inciso IV do caput deve ser efetuada por meio da taxa anual de descumprimento ou do número de descumprimentos, de maneira consistente e adequada às características dos períodos considerados.
§ 3º Para as exposições classificadas na categoria "varejo", o valor do parâmetro LGD deve ser estimado para cada grupo homogêneo de risco, podendo ser obtido a partir das taxas de perdas observadas no longo prazo e do parâmetro PD.
§ 4º A definição do ciclo econômico deve considerar indicadores de desempenho da carteira de crédito, entre eles:
I - crescimento da carteira; e
II - severidade e frequência dos eventos de descumprimento.
§ 5º Na apuração do parâmetro LGD relativo a exposições cujo risco de crédito é mitigado por recebíveis financeiros, é facultada a utilização dos fluxos financeiros desses recebíveis ingressados antes da verificação do descumprimento, sujeito a autorização do Desup.
Art. 76. Devem ser consideradas, de forma conservadora, potenciais dependências entre o risco de crédito do tomador ou contraparte e do provedor do colateral ou do próprio colateral, seja ele financeiro ou não financeiro, conforme o art. 87, bem como descasamentos de prazos e de moedas.
Art. 77. As estimativas do valor do parâmetro LGD devem basear-se em taxas de recuperação históricas e considerar:
I - potenciais descasamentos entre o valor de mercado dos colaterais empenhados e seu valor quando da liquidação;
II - potenciais restrições à liquidação tempestiva do colateral; e
III - potenciais impedimentos ou dificuldades na transferência do colateral.
Art. 78. No tratamento de colaterais empenhados, devem ser estabelecidos requisitos internos adicionais aos estabelecidos no art. 36, §§ 1º e 2º, da Circular nº 3.644, de 2013, para a gestão desses colaterais e dos riscos a eles associados, incluindo a verificação da certeza legal dos instrumentos.
Art. 79. A estimação do valor do parâmetro LGD relativa a uma exposição em descumprimento deve considerar a ocorrência de perdas adicionais inesperadas durante o período de recuperação.
Subseção I
Das Garantias Fidejussórias e Derivativos de Crédito
Art. 80. A utilização da abordagem IRB avançada implica a estimação do valor do parâmetro LGD, considerando a existência de garantias fidejussórias ou derivativos de crédito.
§ 1º Para fins do disposto no caput, é facultado o tratamento previsto nos arts. 101 a 106.
§ 2º No caso da adoção de instrumentos de mitigação do risco de crédito na forma de garantias fidejussórias ou derivativos de crédito, deve ser comprovado o atendimento dos seguintes requisitos para o ajuste do valor do parâmetro LGD definido no caput:
I - os critérios para elegibilidade de garantidores devem ser claramente definidos e documentados; e
II - o contrato de garantia deve ser:
a) não resilível por parte do provedor da garantia;
b) válido até a total quitação da obrigação subjacente, bem como das obrigações acessórias que dela se originem; e
c) executável em jurisdição em que o garantidor possua ativos liquidáveis.
§ 3º No caso da adoção de instrumentos de mitigação do risco de crédito na forma de derivativos de crédito, deve ser comprovado o atendimento dos seguintes requisitos adicionais aos estabelecidos no § 2º:
I - a exposição de referência utilizada para apuração do valor de liquidação do derivativo de crédito, na ocorrência de descumprimento, deve ser a mesma exposição sujeita ao instrumento de mitigação do risco de crédito, salvo quando atendidos os requisitos previstos no art. 24, § 1º, da Circular nº 3.809, de 25 de agosto de 2016; (Nota: Redação dada, a partir de 01.01.2017, pela Circular nº 3.810, de 25.08.2016)
II - a exposição utilizada para determinação do descumprimento do derivativo de crédito deve ser idêntica à exposição sujeita ao instrumento de mitigação do risco de crédito, salvo no caso previsto no art. 24, § 2º, da Circular nº 3.809, de 2016; (Nota: Redação dada, a partir de 01.01.2017, pela Circular nº 3.810, de 25.08.2016)
III - a realização de análise robusta da estrutura de pagamentos do derivativo de crédito, considerando sua influência no processo de recuperação; e
IV - o tratamento satisfatório de riscos residuais.
§ 4º É facultada a consideração de garantias fidejussórias condicionais para as exposições submetidas à abordagem IRB avançada, desde que comprovado o tratamento adequado da potencial redução do efeito de mitigação do risco de crédito relacionado às respectivas condições.
§ 5º As operações compromissadas, de financiamentos de títulos ou outras a elas assemelhadas nas quais a instituição, atuando como intermediadora, preste garantia fidejussória, devem ser consideradas como próprias.
CAPÍTULO IV
DA ESTIMATIVA DO PARÂMETRO EAD
Seção I
Das Disposições Gerais
Art. 81. As estimativas do valor do parâmetro EAD devem ser superiores ou iguais à exposição corrente bruta de provisões e de eventuais baixas parciais a prejuízo.
§ 1º Para fins do disposto no caput, define-se:
I - exposição corrente é a soma do valor da exposição efetiva e da parcela do parâmetro EAD associado à exposição contingente;
II - exposição efetiva é a exposição não associada a limite de crédito, incluindo os créditos a liberar em até 360 (trezentos e sessenta) dias; e
III - exposição contingente é a exposição associada a limite de crédito.
§ 2º Considera-se limite de crédito não cancelável incondicional e unilateralmente, toda operação formalizada, inclusive mediante contrato de adesão, que apresente as seguintes características:
I - a operação consiste em promessa de desembolso de recursos para uma contraparte até um montante especificado;
II - o valor a ser sacado pela contraparte é incerto;
III - o desembolso de recursos até o montante prometido não pode ser negado de forma unilateral e incondicional pela instituição.
§ 3º Consideram-se créditos a liberar os desembolsos futuros, previstos em operações de crédito contratadas, independentemente de serem ou não condicionados ao cumprimento pelo devedor de condições pré-especificadas.
§ 4º O valor da parcela do parâmetro EAD associado a exposições contingentes é obtido mediante a multiplicação do valor contratado e não utilizado pelo correspondente Fator de Conversão em Crédito (FCC).
§ 5º O valor do parâmetro EAD relativo às exposições em derivativos, operações a liquidar de compra e venda de moeda estrangeira, ouro, títulos e valores mobiliários e outras sujeitas ao risco de crédito de contraparte deve ser apurado segundo o disposto na Circular nº 3.644, de 2013, para apuração do valor da respectiva exposição.
§ 6º Na apuração do valor do parâmetro EAD relativo a exposição decorrente de aplicação em cotas de fundo de investimento, as operações ativas integrantes da carteira do fundo devem ser consideradas como exposições da instituição aplicadora, proporcionalmente à participação desta no patrimônio do fundo.
§ 7º Caso não seja possível identificar as operações ativas integrantes da carteira de fundo, para fins do tratamento estabelecido no § 6º, a exposição decorrente de aplicação em cotas do respectivo fundo deve receber o tratamento estabelecido no art. 17, §§ 3º a 6º, da Circular nº 3.644, de 2013. (Nota: Redação dada pela Circular nº 3.673, de 31.10.2013)
§ 8º Para a apuração do valor do parâmetro EAD relativo a exposição decorrente de aplicação em cotas de fundos de investimento especialmente constituídos (FIE) vinculados a planos de previdência complementar aberta do tipo Vida Gerador de Benefício Livre (VGBL) ou Plano Gerador de Benefício Livre (PGBL), devem ser deduzidos os valores das provisões matemáticas de benefícios a conceder dos respectivos planos.
§ 9º Os derivativos mencionados no § 5º incluem as operações de compra ou venda para liquidação futura de moeda estrangeira ou de ouro ou de títulos e valores mobiliários. (Nota: Redação dada pela Circular nº 3.673, de 31.10.2013)
Art. 82. Para as exposições efetivas, a estimativa do valor do parâmetro EAD não pode ser inferior ao respectivo saldo contábil no momento da apuração, bruto de provisões e de eventuais baixas parciais a prejuízo.
Seção II
Dos Fatores de Conversão em Crédito na Abordagem IRB Básica
Art. 83. A utilização da abordagem IRB básica implica o emprego dos seguintes valores para o FCC:
I - 0% (zero por cento), para limites de crédito canceláveis incondicional e unilateralmente;
II - os previstos no art. 9º da Circular nº 3.644, de 2013, para os demais limites de crédito; e
III - os previstos nos incisos I a III do art. 11 da Circular nº 3.644, de 2013, para aval, fiança, coobrigação e outras garantias fidejussórias do cumprimento de obrigações financei-ras de terceiros. (Nota: Redação dada, a partir de 01.01.2017, pela Circular nº 3.810, de 25.08.2016)
§ 1º Para utilizar o FCC de 0% (zero por cento), a instituição deve demonstrar capacidade de monitorar ativamente as condições financeiras do tomador e a possibilidade de cancelamento imediato do limite de crédito oferecido, diante de evidente deterioração dessas condições, para limites canceláveis incondicional e unilateralmente. (Nota: Renumerado de parágrafo único para § 1º, a partir de 01.01.2017, pela Circular nº 3.810, de 25.08.2016)
§ 2º O valor da exposição relativa à prestação de garantia, de que trata o inciso III, relacionada a uma operação não contabilizada no Balanço Patrimonial deve corresponder ao valor da garantia prestada, deduzida eventual parcela já honrada, multiplicado pelo menor dos FCCs aplicáveis à garantia ou à operação garantida. (Nota: Incluído, a partir de 01.01.2017, pela Circular nº 3.810, de 25.08.2016)
Seção III
Estimação do Parâmetro EAD na Abordagem IRB Avançada
Art. 84. Para as exposições contingentes, a probabilidade da ocorrência de saques antes da verificação do descumprimento deve se refletir nas estimativas do valor do parâmetro EAD.
Parágrafo único. Para as exposições contingentes, devem ser definidas metodologias, processos e procedimentos para estimar a possibilidade de desembolsos adicionais posteriores à ocorrência do descumprimento.
Art. 85. A utilização da abordagem IRB avançada implica o atendimento dos seguintes requisitos mínimos para estimação interna do valor do parâmetro EAD:
I - estimação individualizada, por meio da média ponderada de longo prazo dos valores das exposições no momento em que é verificado o descumprimento, apurados para conjuntos de exposições e tomadores ou contrapartes similares, considerando um período de tempo suficientemente longo;
II - consideração de um ciclo econômico completo, incluindo períodos caracterizados por perdas elevadas nas operações de crédito em relação à média de longo prazo;
III - adoção de estimativas conservadoras, caso seja observada correlação positiva significativa entre a frequência de descumprimento e o valor do parâmetro EAD ou quando não seja possível demonstrar a inexistência da referida correlação; e
IV - emprego de critérios intuitivos e plausíveis, fundamentados em análises internas confiáveis.
§ 1º A ponderação prevista no inciso I do caput deve ser feita por meio da taxa de descumprimento ou do número de descumprimentos, de maneira consistente e adequada às características dos respectivos períodos.
§ 2º A utilização de FCC calculado internamente é condicionada ao atendimento dos requisitos mínimos mencionados no caput.
§ 3º Não é permitida a utilização de FCC calculado internamente para as exposições relativas à prestação de aval, fiança, coobrigação e outras garantias fidejussórias do cumprimento de obrigações financeiras de terceiros.
§ 4º A instituição que utiliza a abordagem IRB avançada deve ser capaz de descrever de forma fundamentada o modelo de cálculo do valor do parâmetro EAD e seus fatores determinantes.
§ 5º As estimativas do valor do parâmetro EAD devem ser revisadas para cada portfólio, no mínimo anualmente, na ocorrência de fato relevante ou a critério do Desup.
§ 6º As estimativas do valor do parâmetro EAD devem ser ajustadas de maneira conservadora no caso de identificação da existência de correlação positiva entre a probabilidade de descumprimento de uma contraparte e o valor da exposição a essa mesma contraparte, devido às características próprias da operação.
§ 7º Para os demais casos mencionados no inciso I do caput do art. 83, é facultada a utilização do FCC com valor 0% (zero por cento).
CAPÍTULO V
DO CÁLCULO DO PARÂMETRO DE RISCO M
Art. 86. O valor do parâmetro M deve ser limitado ao mínimo de 1 (um) ano e máximo de 5 (cinco) anos e deve corresponder ao prazo remanescente da operação ou, a critério da instituição, ao resultado da seguinte fórmula:
M = (Σt t x FCt)/Σt FCt, em que
I - t = período de tempo, em anos; e
II - FCt = Fluxo de Caixa (principal, juros e taxas previstos em contratos) com pagamento previsto para o período "t".
§ 1º Para operações compromissadas, financiamentos de títulos, derivativos de crédito com ajuste de margem diário, operações de câmbio com liquidação pronta e operações vinculadas a comércio exterior liquidáveis com carta de crédito irrevogável, após o embarque da
mercadoria, emitida por banco internacional de grande porte, o valor mínimo para o parâmetro M deve ser igual ao maior valor entre um dia e o prazo efetivo de vencimento, em anos.
§ 2º As exposições elegíveis para apuração do valor do parâmetro M na forma do disposto no § 1º devem estar vinculadas a instrumento de pronta liquidação em caso de descumprimento.
§ 3º Para fins do disposto no § 1º, entende-se por irrevogável a carta de crédito em relação à qual não haja qualquer condicionalidade que possibilite obstáculo ao pagamento.
§ 4º Para exposições contingentes, o valor do parâmetro M deve corresponder ao vencimento final pactuado, observados os limites mencionados no caput.
§ 5º Caso não haja vencimento previsto contratualmente, o valor do parâmetro M deve ser igual a 5 (cinco) anos.
TÍTULO VI
DA MITIGAÇÃO DO RISCO DE CRÉDITO NA ABORDAGEM IRB BÁSICA
CAPÍTULO I
DOS MITIGADORES DE RISCO
Art. 87. É facultado tratamento diferenciado para a exposição coberta pelos seguintes instrumentos de mitigação do risco de crédito, no âmbito da abordagem IRB básica:
I - garantia financeira elegível (colateral financeiro);
II - garantia real elegível (colateral não financeiro);
III - acordo para compensação e liquidação de obrigações;
IV - garantia fidejussória; e
V - derivativo de crédito.
§ 1º O tratamento diferenciado de que trata o caput consiste no cálculo interno dos valores para os parâmetros LGD ou EAD e aplica-se à parcela da exposição coberta pelo instrumento de mitigação do risco de crédito, devendo ser aplicado à parcela remanescente da exposição o tratamento previsto na abordagem IRB básica.
§ 2º O uso da faculdade prevista no caput é condicionado ao atendimento dos requisitos estabelecidos no art. 2º, § 1º, da Circular nº 3.809, de 2016. (Nota: Redação dada, a partir de 01.01.2017, pela Circular nº 3.810, de 25.08.2016)
I - (Nota: Revogado, a partir de 01.01.2017, pela Circular nº 3.810, de 25.08.2016)
II - (Nota: Revogado, a partir de 01.01.2017, pela Circular nº 3.810, de 25.08.2016)
III - (Nota: Revogado, a partir de 01.01.2017, pela Circular nº 3.810, de 25.08.2016)
IV - (Nota: Revogado, a partir de 01.01.2017, pela Circular nº 3.810, de 25.08.2016)
V - (Nota: Revogado, a partir de 01.01.2017, pela Circular nº 3.810, de 25.08.2016)
VI - (Nota: Revogado, a partir de 01.01.2017, pela Circular nº 3.810, de 25.08.2016)
VII - (Nota: Revogado, a partir de 01.01.2017, pela Circular nº 3.810, de 25.08.2016)
VIII - (Nota: Revogado, a partir de 01.01.2017, pela Circular nº 3.810, de 25.08.2016)
IX - (Nota: Revogado, a partir de 01.01.2017, pela Circular nº 3.810, de 25.08.2016)
§ 3º O instrumento de mitigação do risco de crédito deve estar associado a uma operação específica, salvo nos casos previstos no art. 2º, § 2º, da Circular nº 3.809, de 2016. (Nota: Redação dada, a partir de 01.01.2017, pela Circular nº 3.810, de 25.08.2016)
I - (Nota: Revogado, a partir de 01.01.2017, pela Circular nº 3.810, de 25.08.2016)
II - (Nota: Revogado, a partir de 01.01.2017, pela Circular nº 3.810, de 25.08.2016)
§ 4º Deve ser desconsiderado o efeito mitigador do instrumento mencionado no inciso II do caput, quando associado concomitantemente a exposições de outra instituição.
§ 5º Os colaterais podem ser empenhados pela contraparte ou por terceira parte em nome dessa contraparte.
CAPÍTULO II
DOS COLATERAIS FINANCEIROS
Art. 88. São considerados colaterais financeiros aqueles reconhecidos no art. 4º da Circular nº 3.809, de 2016. (Nota: Redação dada, a partir de 01.01.2017, pela Circular nº 3.810, de 25.08.2016)
I - (Nota: Revogado, a partir de 01.01.2017, pela Circular nº 3.810, de 25.08.2016)
II - (Nota: Revogado, a partir de 01.01.2017, pela Circular nº 3.810, de 25.08.2016)
III - (Nota: Revogado, a partir de 01.01.2017, pela Circular nº 3.810, de 25.08.2016)
IV - (Nota: Revogado, a partir de 01.01.2017, pela Circular nº 3.810, de 25.08.2016)
V - (Nota: Revogado, a partir de 01.01.2017, pela Circular nº 3.810, de 25.08.2016)
VI - (Nota: Revogado, a partir de 01.01.2017, pela Circular nº 3.810, de 25.08.2016)
VII - (Nota: Revogado, a partir de 01.01.2017, pela Circular nº 3.810, de 25.08.2016)
VIII - (Nota: Revogado, a partir de 01.01.2017, pela Circular nº 3.810, de 25.08.2016)
Art. 89. No caso de utilização de colateral financeiro como instrumento de mitigação do risco de crédito, o valor da exposição, considerada a mitigação do risco de crédito, deve ser calculado conforme as disposições do art. 9º da Circular nº 3.809, de 2016. (Nota: Redação dada, a partir de 01.01.2017, pela Circular nº 3.810, de 25.08.2016)
I - (Nota: Revogado, a partir de 01.01.2017, pela Circular nº 3.810, de 25.08.2016)
II - (Nota: Revogado, a partir de 01.01.2017, pela Circular nº 3.810, de 25.08.2016)
III - (Nota: Revogado, a partir de 01.01.2017, pela Circular nº 3.810, de 25.08.2016)
IV - (Nota: Revogado, a partir de 01.01.2017, pela Circular nº 3.810, de 25.08.2016)
V - (Nota: Revogado, a partir de 01.01.2017, pela Circular nº 3.810, de 25.08.2016)
VI - (Nota: Revogado, a partir de 01.01.2017, pela Circular nº 3.810, de 25.08.2016)
§ 1º (Nota: Revogado, a partir de 01.01.2017, pela Circular nº 3.810, de 25.08.2016)
§ 2º (Nota: Revogado, a partir de 01.01.2017, pela Circular nº 3.810, de 25.08.2016)
§ 3º (Nota: Revogado pela Circular nº 3.673, de 31.10.2013)
§ 4º (Nota: Revogado, a partir de 01.01.2017, pela Circular nº 3.810, de 25.08.2016)
§ 5º (Nota: Revogado, a partir de 01.01.2017, pela Circular nº 3.810, de 25.08.2016)
§ 6º (Nota: Revogado, a partir de 01.01.2017, pela Circular nº 3.810, de 25.08.2016)
§ 7º (Nota: Revogado pela Circular nº 3.673, de 31.10.2013)
§ 8º (Nota: Revogado pela Circular nº 3.673, de 31.10.2013)
§ 9º (Nota: Revogado pela Circular nº 3.673, de 31.10.2013)
§ 10. (Nota: Revogado, a partir de 01.01.2017, pela Circular nº 3.810, de 25.08.2016)
§ 11. É vedado o tratamento previsto neste artigo no âmbito da abordagem IRB avançada, salvo para carteiras que apresentem poucas ocorrências de descumprimento, quando previamente autorizado pelo Desup.
§ 12. Para os efeitos do previsto no caput, o parâmetro E, definido no art. 9º, inciso II, da Circular nº 3.809, de 2016, deve corresponder ao valor corrente da exposição, não considerada a mitigação do risco de crédito. (Nota: Incluído, a partir de 01.01.2017, pela Circular nº 3.810, de 25.08.2016)
Art. 90. Para exposições classificadas nas categorias "atacado", "entidades soberanas" e "instituições financeiras" cobertas por colaterais financeiros, a apuração do fator K deve utilizar o valor do parâmetro Perda Dado o Descumprimento Efetiva (LGD*) cujo valor corresponde ao resultado da seguinte fórmula:
LGD* = LGD x (E* / E), em que:
I - LGD = valor padronizado do parâmetro Perda Dado o Descumprimento, segundo o art. 74;
II - E = valor corrente da exposição, não considerada a mitigação do risco de crédito; e
III - E* = valor da exposição após a mitigação do risco de crédito, apurado conforme o art. 89.
Art. 91. Para as exposições relativas a operações compromissadas, é facultada aplicação do tratamento para a Abordagem Abrangente previsto no art. 10 da Circular nº 3.809, de 2016, desde que atendidas todas as disposições nele estabelecidas. (Nota: Redação dada, a partir de 01.01.2017, pela Circular nº 3.810, de 25.08.2016)
I - (Nota: Revogado, a partir de 01.01.2017, pela Circular nº 3.810, de 25.08.2016)
II - (Nota: Revogado, a partir de 01.01.2017, pela Circular nº 3.810, de 25.08.2016)
III - (Nota: Revogado, a partir de 01.01.2017, pela Circular nº 3.810, de 25.08.2016)
IV - (Nota: Revogado, a partir de 01.01.2017, pela Circular nº 3.810, de 25.08.2016)
V - (Nota: Revogado, a partir de 01.01.2017, pela Circular nº 3.810, de 25.08.2016)
VI - (Nota: Revogado, a partir de 01.01.2017, pela Circular nº 3.810, de 25.08.2016)
Parágrafo único (Nota: Revogado, a partir de 01.01.2017, pela Circular nº 3.810, de 25.08.2016)
CAPÍTULO III
DOS COLATERAIS NÃO FINANCEIROS
Seção I
Dos Tipos de Colaterais
Art. 92. Para as exposições classificadas nas categorias "atacado", "entidades soberanas" e "instituições financeiras", os colaterais não financeiros incluem os seguintes tipos:
I - "alienação fiduciária de imóveis comerciais e residenciais (CRE/RRE)";
II - "recebíveis financeiros";
III - "alienação fiduciária de veículos"; e
IV - "outros colaterais não financeiros", especificados no art. 99.
Art. 93. Para fins de obtenção do valor do parâmetro LGD* relativo a exposições cobertas por colaterais não financeiros, deverá ser apurada a razão de colateralização da exposição (C/E).
§ 1º Caso a razão C/E seja menor do que o índice mínimo de colateralização (C*), o efeito mitigador deve ser desconsiderado.
§ 2º Caso a razão C/E seja maior do que o índice C*, mas menor do que o índice mínimo de sobrecolateralização (C**), o efeito mitigador deve ser considerado parcialmente, da seguinte forma:
I - a fração da exposição coberta por colateral, de valor equivalente ao da razão (C/E) / C**, deve estar associada ao parâmetro LGD mínimo, referente ao tipo de colateral utilizado; e
II - a fração da exposição não coberta por colateral deve estar associada ao valor do parâmetro LGD para exposições sem colateral, conforme definido pelo Banco Central do Brasil.
§ 3º Caso a razão C/E seja superior ao índice C**, o efeito mitigador deve ser considerado em sua totalidade e o valor da exposição ser associado ao parâmetro LGD mínimo referente ao tipo de colateral utilizado.
§ 4º O índice C* para os colaterais não financeiros corresponde aos seguintes valores:
I - 0% (zero por cento), para o tipo "recebíveis financeiros";
II - 30% (trinta por cento), para o tipo CRE/RRE;
III - 30% (trinta por cento), para o tipo "alienação fiduciária de veículos"; e
IV - 30% (trinta por cento), para o tipo "outros colaterais não financeiros".
§ 5º O índice C** para colaterais não financeiros corresponde aos seguintes valores:
I - 125% (cento e vinte e cinco por cento), para o tipo "recebíveis financeiros";
II - 140% (cento e quarenta por cento), para o tipo CRE/RRE; e
III - 140% (cento e quarenta por cento), para os tipos "alienação fiduciária de veículos" e "outros colaterais não financeiros".
§ 6º O valor do parâmetro LGD mínimo para colaterais não financeiros deve corresponder a:
I - 45% (quarenta e cinco por cento), para o tipo CRE/RRE;
II - 50% (cinquenta por cento), para o tipo "alienação fiduciária de veículos";
III - 60% (sessenta por cento), para o tipo "recebíveis financeiros"; e
IV - 70% (setenta por cento), para o tipo "outros colaterais não financeiros".
Art. 94. Caso uma operação esteja associada simultaneamente a colaterais financeiros e a colaterais não financeiros de diversos tipos, incluindo o tipo "recebíveis
financeiros", o valor da exposição após a mitigação do risco de crédito (E*) deve ser segregado da seguinte forma:
I - parcela coberta pelos colaterais pertencentes ao tipo "recebíveis financeiros";
II - parcela coberta por colaterais pertencentes aos tipos CRE/RRE, "alienação fiduciária de veículos" e "outros colaterais não financeiros"; e
III - parcela coberta por colaterais financeiros.
§ 1º O efeito de mitigação do risco de crédito dos colaterais não financeiros dos tipos CRE/RRE, "alienação fiduciária de veículos" e "outros colaterais não financeiros" deve ser desconsiderado, caso verificada a seguinte condição:
(C+ / E**) ≤ Cm*, em que:
I - C+ = soma dos valores dos colaterais não financeiros dos tipos CRE/RRE, "alienação fiduciária de veículos" e "outros colaterais não financeiros";
II - E** = parcela do valor de E* coberta por colaterais não financeiros dos tipos CRE/RRE, "alienação fiduciária de veículos" e "outros colaterais não financeiros"; e
III - Cm* = 30% (trinta por cento).
§ 2º O efeito de mitigação do risco de crédito dos colaterais não financeiros dos tipos CRE/RRE, "alienação fiduciária de veículos" e "outros colaterais não financeiros" deve ser considerado parcialmente, caso verificada a seguinte condição:
Cm* < (C+ / E**) < Cm**, em que Cm** = 140% (cento e quarenta por cento).
§ 3º Para fins do disposto no § 2º, devem ser observadas as seguintes regras:
I - o valor do parâmetro LGD relativo à parte da exposição coberta pelo conjunto de colaterais, de valor equivalente a (C+ / E**) / Cm**, deve ser igual ao valor do parâmetro LGD mínimo associado a cada tipo de colateral, na sua respectiva proporção; e
II - o valor do parâmetro LGD relativo à parte não coberta pelo conjunto de colaterais deve ser igual ao valor do parâmetro LGD da respectiva categoria, conforme definido pelo Banco Central do Brasil.
§ 4º O efeito de mitigação do risco de crédito dos colaterais não financeiros dos tipos CRE/RRE, "alienação fiduciária de veículos" e "outros colaterais não financeiros" deve utilizar o parâmetro LGD mínimo, definido no art. 93, § 6º, associado a cada tipo de colateral, na sua respectiva proporção, caso verificada a seguinte condição:
Cm** ≤ (C+ / E**).
§ 5º A parcela da exposição coberta por recebíveis financeiros sujeita-se ao disposto no art. 93.
§ 6º A parcela da exposição coberta por colaterais financeiros sujeita-se ao disposto nos arts. 88 a 91.
Seção II
Das Operações Garantidas por Imóveis em Regime de Alienação Fiduciária
Art. 95. A associação de colateral não financeiro do tipo CRE/RRE a exposições classificadas nas categorias "atacado", "entidades soberanas" e "instituições financeiras" é condicionada ao atendimento dos seguintes requisitos:
I - o risco da operação deve ser vinculado à capacidade de o tomador honrar seus compromissos por intermédio de outras fontes, não dependendo de forma significativa do desempenho do colateral;
II - o colateral deve ser executável em todas as jurisdições relevantes;
III - qualquer direito ou gravame sobre o colateral deve ser legalmente executável, bem como tempestivamente registrado;
IV - todos os requisitos legais para o estabelecimento de direitos ou gravames sobre o colateral devem ser plenamente atendidos;
V - o contrato que vincula o colateral ao processo legal para execução deve permitir sua liquidação em intervalo de tempo adequado;
VI - o valor do colateral não deve superar o valor justo negociado entre partes privadas em condições regulares de mercado; e
VII - o colateral deve ser submetido a reavaliações periódicas, da seguinte forma:
a) o valor do colateral e quaisquer fatores que possam influenciá-lo, incluindo elementos de natureza fiscal e ambiental, devem ser monitorados com frequência mínima anual;
b) em caso de mercados voláteis ou sujeitos a mudanças significativas, a frequência de avaliações deve ser ajustada de forma a refletir tais características; e
c) no caso de indícios de redução substancial do valor do colateral em relação às variações gerais de mercado ou de ocorrência de eventos de crédito, incluindo o descumprimento, o ativo deve ser avaliado por um perito.
§ 1º No caso de utilização de colateral não financeiro do tipo CRE/RRE, as políticas de concessão de crédito, incluindo as modalidades de colateral do tipo CRE/RRE aceitos, devem ser claramente documentadas.
§ 2º Devem ser adotadas as medidas necessárias para garantir que o colateral não financeiro do tipo CRE/RRE seja adequadamente segurado contra danos e deterioração.
Seção III
Das Operações Garantidas por Recebíveis Financeiros
Art. 96. São elegíveis como colateral não financeiro do tipo "recebíveis financeiros" os recebíveis financeiros com prazo efetivo original menor ou igual a um ano, cujo pagamento consista em fluxos financeiros originados de transações comerciais em que o tomador de crédito seja o credor.
§ 1º O empenho dos recebíveis financeiros como colateral, de que trata o caput, deve ocorrer por meio de cessão fiduciária ou de cessão de direitos creditórios.
§ 2º Os recebíveis financeiros mencionados no caput englobam cheques, duplicatas, faturas de cartão de crédito e faturas de concessionárias de serviços públicos.
§ 3º Não são elegíveis como colateral não financeiro do tipo "recebíveis financeiros" os recebíveis financeiros:
I - vinculados a securitização ou a derivativos de crédito; e
II - sacados contra afiliados ao tomador, incluindo subsidiárias e empregados.
§ 4º Os instrumentos legais pelos quais o colateral é constituído devem assegurar à instituição, de forma inequívoca, os direitos sobre as receitas advindas do colateral.
§ 5º Devem ser adotados os procedimentos que garantam a execução e liquidação dos direitos sobre o colateral em todas as jurisdições relevantes.
§ 6º O arcabouço legal em que é formalizado o colateral deve garantir o direito prioritário da instituição sobre ele.
§ 7º Toda a documentação referente às operações cobertas pelo colateral deve obrigar as partes envolvidas na operação e ser executável em qualquer jurisdição relevante.
§ 8º Devem ser realizadas revisões periódicas, para verificar e assegurar a contínua sustentação legal dos colaterais.
§ 9º Todos os aspectos relevantes à colateralização por meio de recebíveis financeiros devem ser devidamente documentados.
§ 10. Deve haver controle robusto dos recebimentos periódicos de receitas provenientes dos colaterais.
§ 11. A instituição deve dispor de mecanismos que assegurem o cumprimento das condições legais necessárias para a execução tempestiva do colateral.
§ 12. Devem ser adotados procedimentos adequados para determinar o risco de crédito dos recebíveis utilizados como colateral, incluindo a análise do negócio, o setor de atuação do tomador e os tipos e perfis dos clientes com os quais o tomador faz negócios.
§ 13. Devem ser revistas a adequação e a credibilidade da política de concessão de crédito pelo cessionário dos recebíveis aceitos como colateral, nos casos em que a instituição dependa dessa política para avaliar o risco de crédito de seus clientes.
§ 14. Para fins de gestão de risco, deve ser definido o grau de sobrecolateralização entre o montante da exposição e o valor dos recebíveis considerando todos os fatores apropriados, inclusive o desempenho dos recebíveis, a concentração dentro do grupo de recebíveis empenhado pelo tomador individual, o risco de concentração potencial em relação ao total de suas exposições e o grau de correlação do tomador com os sacados.
Art. 97. Deve ser monitorada continuamente cada exposição, tanto efetiva quanto contingente, relativa ao colateral, incluindo, quando adequado:
I - verificação das margens ou níveis de colateralização necessários em relação ao montante total de recebíveis e a suas características, incluindo sua qualidade;
II - monitoramento dos pagamentos e das reposições de recebíveis, bem como de seus respectivos prazos;
III - procedimentos para verificação dos pagamentos dos recebíveis e de confirmação da existência de linhas de crédito disponíveis;
IV - monitoramento e análise comprobatória dos colaterais;
V - monitoramento da concentração dos recebíveis de um tomador em relação aos seus sacados;
VI - análise financeira regular dos tomadores;
VII - análise financeira regular dos sacados dos recebíveis, principalmente quando da utilização de um pequeno número de recebíveis de grande valor; e
VIII - revisão periódica da observância às cláusulas contratuais pactuadas, restrições legais e de outras naturezas.
Parágrafo único. A observância dos limites de concentração de exposição adotados deve ser periodicamente monitorada.
Art. 98. No caso de descumprimento, a execução dos recebíveis utilizados como colateral não financeiro deve ocorrer segundo processo formalizado e adequadamente documentado, aplicável a situações de regularidade e de deterioração da qualidade dos recebíveis.
Seção IV
Dos Outros Colaterais não Financeiros
Art. 99. A critério do Desup, outros instrumentos poderão ser considerados colaterais não financeiros do tipo "outros colaterais não financeiros", devendo atender aos seguintes requisitos adicionais aos previstos nos arts. 92 e 93:
I - existência de mercado suficientemente líquido para a venda do colateral, de forma tempestiva e economicamente eficiente, na jurisdição relevante;
II - existência de preços de mercado verificáveis, que permitam a comparação entre estes e o montante recebido no momento da execução do colateral, em sua jurisdição relevante;
III - prioridade sobre quaisquer outros credores em relação às receitas derivadas da execução do colateral;
IV - descrição contratual detalhada do colateral, além de especificações das formas e frequência das suas reavaliações;
V - documentação adequada das políticas e procedimentos internos em relação aos tipos de colateral aceitos, incluindo aquelas referentes aos montantes de cada colateral e a respectiva exposição mitigada; e
VI - adequação da política de concessão de crédito às características das operações realizadas, abordando:
a) os valores apropriados de cada colateral em relação ao montante das exposições cobertas;
b) a capacidade de liquidação tempestiva do colateral;
c) a capacidade de ser determinado, objetivamente, o preço de mercado do colateral;
d) a capacidade de ser determinada a frequência com o que o valor do colateral pode ser prontamente obtido, incluindo as avaliações e apreçamentos realizados por profissionais qualificados;
e) a capacidade de ser determinada a volatilidade do valor do colateral; e
f) a avaliação do impacto de fatores como obsolescência, deterioração e perda de valor do colateral em decorrência de mudanças comportamentais.
§ 1º Os colaterais constituídos na forma de estoques ou equipamentos devem ser segurados ou reavaliados periodicamente com base em inspeção física.
§ 2º O colateral não deve apresentar discrepâncias significativas do valor de avaliação em relação a seu preço de mercado e a seu valor de liquidação.
CAPÍTULO IV
DOS ACORDOS BILATERAIS DE COMPENSAÇÃO
Art. 100. Os acordos bilaterais para compensação e liquidação de obrigações são elegíveis para utilização como instrumentos de mitigação do risco de crédito, desde que atendam aos requisitos estabelecidos no art. 13 da Circular nº 3.809, de 2016. (Nota: Redação dada, a partir de 01.01.2017, pela Circular nº 3.810, de 25.08.2016)
I - (Nota: Revogado, a partir de 01.01.2017, pela Circular nº 3.810, de 25.08.2016)
II - (Nota: Revogado, a partir de 01.01.2017, pela Circular nº 3.810, de 25.08.2016)
III - (Nota: Revogado, a partir de 01.01.2017, pela Circular nº 3.810, de 25.08.2016)
IV - (Nota: Revogado, a partir de 01.01.2017, pela Circular nº 3.810, de 25.08.2016)
V - (Nota: Revogado, a partir de 01.01.2017, pela Circular nº 3.810, de 25.08.2016)
§ 1º Para apuração do fator K, deve ser utilizado valor do parâmetro EAD, considerada a mitigação do risco de crédito resultante dos acordos de compensação (EAD*), cujo valor deve corresponder ao resultado da seguinte fórmula:
EAD* = EAD x (E* / E), em que:
I - E* = valor da exposição efetiva, calculado com base no disposto nos arts. 14, 15 e 16 da Circular nº 3.809, de 2016, ressalvado o cálculo do parâmetro E, que deve observar o disposto no inciso II deste parágrafo; (Nota: Redação dada, a partir de 01.01.2017, pela Circular nº 3.810, de 25.08.2016)
II - E = valor corrente da exposição, não considerada a mitigação do risco de crédito;
III - (Nota: Revogado, a partir de 01.01.2017, pela Circular nº 3.810, de 25.08.2016)
IV - (Nota: Revogado, a partir de 01.01.2017, pela Circular nº 3.810, de 25.08.2016)
V - (Nota: Revogado, a partir de 01.01.2017, pela Circular nº 3.810, de 25.08.2016)
VI - (Nota: Revogado, a partir de 01.01.2017, pela Circular nº 3.810, de 25.08.2016)
VII - (Nota: Revogado, a partir de 01.01.2017, pela Circular nº 3.810, de 25.08.2016)
VIII - EAD = valor do parâmetro EAD, desconsiderada a mitigação do risco de crédito resultante dos acordos de compensação.
§ 2º O efeito da mitigação do risco de crédito produzido por acordo de compensação não deve ser refletido em ajuste do parâmetro LGD.
CAPÍTULO V
DAS GARANTIAS FIDEJUSSÓRIAS E DERIVATIVOS DE CRÉDITO
Art. 101. As garantias fidejussórias e os derivativos de crédito são elegíveis como instrumentos de mitigação do risco de crédito, desde que atendam aos requisitos estabelecidos nos arts. 19, 22, 23 e 24 da Circular nº 3.809, de 2016, conforme o caso. (Nota: Redação dada, a partir de 01.01.2017, pela Circular nº 3.810, de 25.08.2016)
I - (Nota: Revogado, a partir de 01.01.2017, pela Circular nº 3.810, de 25.08.2016)
II - (Nota: Revogado, a partir de 01.01.2017, pela Circular nº 3.810, de 25.08.2016)
III - (Nota: Revogado, a partir de 01.01.2017, pela Circular nº 3.810, de 25.08.2016)
Parágrafo único. Deve ser aplicado às garantias elencadas nos arts. 27, 28, 29 e 30 da Circular nº 3.809, de 2016, o mesmo tratamento previsto nos arts. 105 a 107 aplicado às garantias fidejussórias. (Nota: Incluído, a partir de 01.01.2017, pela Circular nº 3.810, de 25.08.2016)
Art. 102. (Nota: Revogado, a partir de 01.01.2017, pela Circular nº 3.810, de 25.08.2016)
Art. 103. (Nota: Revogado, a partir de 01.01.2017, pela Circular nº 3.810, de 25.08.2016)
Art. 104. (Nota: Revogado, a partir de 01.01.2017, pela Circular nº 3.810, de 25.08.2016)
Art. 105. Para a parcela da exposição coberta por garantias fidejussórias ou derivativos de crédito, a instituição deve:
I - aplicar o tratamento para a categoria ou subcategoria à qual pertence o prestador da garantia; e
II - considerar o valor do parâmetro PD relativo ao garantidor como o valor do parâmetro PD da exposição.
§ 1º Caso não haja segurança da irrestrita e total substituição do tomador pelo garantidor, deve ser utilizado como valor para o parâmetro PD um valor intermediário entre o valor relativo ao devedor subjacente e o valor relativo ao garantidor.
§ 2º O valor do parâmetro LGD relativo à dívida subjacente pode ser substituído pelo valor do parâmetro LGD relativo à garantia, considerando o grau de subordinação da garantia.
Art. 106. Para os instrumentos de mitigação do risco de crédito de que trata o art. 101, no caso de a obrigação subjacente ser referenciada em moeda distinta da moeda de referência do instrumento utilizado, o valor do instrumento deve ser ajustado conforme o art. 20 da Circular nº 3.809, de 2016. (Nota: Redação dada, a partir de 01.01.2017, pela Circular nº 3.810, de 25.08.2016)
I - (Nota: Revogado, a partir de 01.01.2017, pela Circular nº 3.810, de 25.08.2016)
II - (Nota: Revogado, a partir de 01.01.2017, pela Circular nº 3.810, de 25.08.2016)
Parágrafo único. (Nota: Revogado, a partir de 01.01.2017, pela Circular nº 3.810, de 25.08.2016)
CAPÍTULO VI
DO DESCASAMENTO DE PRAZOS
Art. 107. As disposições contidas nos arts. 25 e 26 da Circular nº 3.809, de 2016, devem ser aplicadas aos prazos efetivos de vencimento do instrumento de mitigação do risco de crédito e da exposição objeto de mitigação. (Nota: Redação dada, a partir de 01.01.2017, pela Circular nº 3.810, de 25.08.2016)
§ 1º (Nota: Revogado, a partir de 01.01.2017, pela Circular nº 3.810, de 25.08.2016)
§ 2º (Nota: Revogado, a partir de 01.01.2017, pela Circular nº 3.810, de 25.08.2016)
§ 3º (Nota: Revogado, a partir de 01.01.2017, pela Circular nº 3.810, de 25.08.2016)
§ 4º O disposto no caput não se aplica quando o instrumento de mitigação do risco de crédito consistir em recebíveis financeiros com prazo efetivo inferior a 1 (um) ano, conforme definidos no art. 96, cujos recursos financeiros permaneçam sob a guarda da instituição até que haja a reposição de novos recebíveis ou a quitação do crédito. (Nota: Incluído, a partir de 01.01.2017, pela Circular nº 3.810, de 25.08.2016)
Art. 108. (Nota: Revogado, a partir de 01.01.2017, pela Circular nº 3.810, de 25.08.2016)
TÍTULO VI-A
DAS OPERAÇÕES DE ARRENDAMENTO MERCANTIL
(Nota: Título VI-A incluído pela Circular nº 3.673, de 31.10.2013)
Art. 108-A. Operações de arrendamento mercantil financeiro devem receber o mesmo tratamento que seria dispensado, no caso de utilização da abordagem IRB básica, às exposições cobertas por colateral não financeiro idêntico ao ativo objeto do arrendamento, observado o disposto nos arts. 92, 93 e 99.
Parágrafo único. Para fins do disposto no caput, a instituição deve atender, adicionalmente, aos seguintes requisitos:
I - a estrutura de gerenciamento de risco empregada pelo arrendador deve assegurar a obtenção de informações tempestivas acerca da localização do ativo objeto do arrendamento, sua forma de utilização, sua idade e previsão de obsolescência;
II - o arrendador tem asseguradas legalmente sua condição de proprietário e a plena capacidade de exercer seus direitos, de forma tempestiva, sobre o ativo objeto do arrendamento; e
III - a diferença entre a taxa de depreciação do ativo objeto do arrendamento e a taxa de amortização das contraprestações não deve ter magnitude que resulte na superestimação do efeito de mitigação do risco de crédito atribuída ao ativo objeto do arrendamento.
(Nota: Artigo 108-A incluído pela Circular nº 3.673, de 31.10.2013)
Art. 108-B. Para a apuração da parcela RWACIRB relativa às operações de arrendamento mercantil operacional, devem ser atendidos os seguintes requisitos:
I - o valor do parâmetro PD relativo ao arrendatário deve ser utilizado como o valor do parâmetro PD da exposição no cálculo do fator Ki aplicável ao valor presente das contraprestações da operação;
II - o valor do parâmetro LGD deve ser apurado conforme o disposto no art. 93, no caso de emprego da abordagem IRB básica;
III - o valor do parâmetro LGD deve ser estimado conforme os requisitos estabelecidos no art. 75, no caso de emprego da abordagem IRB avançada; e
IV - o fator de ponderação de risco Ki atribuído ao valor residual da operação deve ser igual ao fator F definido no art. 4º da Resolução nº 4.193, de 2013.
(Nota: Artigo 108-B incluído pela Circular nº 3.673, de 31.10.2013)
TÍTULO VII
DAS PERDAS E DAS PROVISÕES
CAPÍTULO I
DA PERDA ESPERADA
Seção I
Da Definição
Art. 109. Para as exposições sujeitas a abordagem IRB, define-se o montante de perda esperada como o resultado da multiplicação do percentual de perda esperada (EL) pelo valor do parâmetro EAD.
Seção II
Da Perda Esperada nas Categorias "Atacado", "Entidades Soberanas", "Instituições Financeiras" e "Varejo"
Art. 110. Para as exposições classificadas nas categorias "atacado", "entidades soberanas", "instituições financeiras" e "varejo", o valor estimado para a EL deve ser obtido mediante a multiplicação do valor do parâmetro PD pelo valor do parâmetro LGD.
§ 1º Para as exposições em descumprimento, o valor do parâmetro PD é igual a 100% (cem por cento).
§ 2º Para as exposições em descumprimento sujeitas à abordagem IRB avançada, o valor estimado para a EL é igual à estimativa da perda esperada, apurada conforme o art. 112.
§ 3º Para as exposições de que trata o art. 40, § 3º, o valor estimado para a EL é obtido mediante a multiplicação dos seguintes valores pelo fator F mencionado no art. 40, § 5º, inciso I:
I - nível Forte, 5% (cinco por cento);
II - nível Bom, 10% (dez por cento);
III - nível Satisfatório, 35% (trinta e cinco por cento);
IV - nível Fraco, 100% (cem por cento); e
V - nível Descumprimento, 625% (seiscentos e vinte e cinco por cento).
§ 4º Para as exposições de que trata o art. 40, § 2º, o valor estimado para a EL é obtido mediante a multiplicação dos seguintes valores pelo fator F mencionado no art. 40, § 4º, inciso I:
I - nível Forte, 5% (cinco por cento);
II - nível Bom, 5% (cinco por cento);
III - nível Satisfatório, 35% (trinta e cinco por cento);
IV - nível Fraco, 100% (cem por cento); e
V - nível Descumprimento, 625% (seiscentos e vinte e cinco por cento).
Seção III
Da Perda Esperada na Categoria "Participações Societárias"
Art. 111. Para as exposições classificadas na categoria "participações societárias" cuja soma dos fatores K* e EL* seja superior aos valores definidos no art. 57, § 8º, o valor estimado para a EL deve ser obtido mediante a multiplicação do valor do parâmetro PD pelo valor do parâmetro LGD.
Parágrafo único. Para as demais exposições, o valor estimado para a EL é igual a 0 (zero).
Seção IV
Da Estimativa de Perdas
Art. 112. O valor estimado para a EL para as exposições em descumprimento deve ser calculado com base nas circunstâncias econômicas atuais e no status da exposição.
§ 1º Os casos em que a estimativa do valor para a EL for inferior à soma das provisões relativas à operação devem ser justificados.
§ 2º A justificativa mencionada no § 1º pode ser feita de forma agregada, desde que devidamente fundamentada.
§ 3º O status da exposição mencionado no caput consiste em sua caracterização, considerando os seguintes aspectos:
I - tempo decorrido após a ocorrência de descumprimento;
II - percentual já recuperado; e
III - perspectivas de recuperação do saldo remanescente.
Art. 113. A perda esperada total corresponde à soma dos montantes da perda esperada obtidos para cada exposição.
Parágrafo único. Não integram a perda esperada total:
I - as exposições classificadas na categoria "participações societárias" sujeitas à abordagem PD/LGD; e
II - as exposições de securitização.
CAPÍTULO II
DAS PROVISÕES
Art. 114. O total de provisões relativas às exposições submetidas a abordagens IRB deve ser segregado do total de provisões relativas às exposições que receberem o tratamento estabelecido na Circular nº 3.644, de 2013.
§ 1º As discrepâncias entre o montante segregado de provisões elegíveis relativas às exposições submetidas a abordagens IRB e o respectivo montante de perda esperada, apurada conforme o art. 109, devem ser justificadas.
§ 2º Não integram o total de provisões relativas às exposições submetidas a abordagens IRB:
I - as provisões relativas às exposições classificadas na categoria "participações societárias"; e
II - as provisões relativas a exposições de securitização.
TÍTULO VIII
DO PROCESSO DE SECURITIZAÇÃO
CAPITULO I
DAS DEFINIÇÕES
Art. 115. Para fins do tratamento de exposições de securitização tradicional ou sintética mediante a utilização de abordagens IRB, aplicam-se as seguintes definições:
I - securitização tradicional é o processo em que o fluxo de recebimentos associado a um conjunto de ativos subjacentes é utilizado para a remuneração de títulos de securitização estruturados em, no mínimo, duas classes de priorização de pagamento, no qual há transferência dos ativos subjacentes para a contraparte emissora;
II - securitização sintética é o processo em que o fluxo de recebimentos associado a um conjunto de ativos subjacentes é utilizado para a remuneração de títulos de securitização estruturados em, no mínimo, duas classes de priorização de pagamento, no qual o risco de crédito relativo aos ativos subjacentes é transferido por meio de derivativo de crédito ou qualquer outro instrumento que permita tal transferência;
III - ativos subjacentes são os direitos creditórios, títulos ou valores mobiliários e derivativos de crédito que servem de lastro para títulos de securitização;
IV - título de securitização é o título ou valor mobiliário cuja remuneração está associada ao fluxo de recebimentos dos ativos subjacentes;
V - contraparte originadora é a pessoa natural ou jurídica que desempenha ao menos uma das seguintes atividades:
a) originação, direta ou indireta, de ativo subjacente;
b) administração ou assessoramento a contraparte emissora na emissão de títulos de securitização;
c) participação na colocação pública de títulos de securitização; e
d) provimento de reforço de crédito ou de liquidez aos títulos de securitização lançados por contraparte emissora ou retenção do risco de crédito sob qualquer outra forma;
VI - contraparte emissora é a instituição financeira ou não financeira, empresa ou entidade não integrante do Sistema Financeiro Nacional (SFN) que emite títulos de securitização;
VII - administrador dos ativos subjacentes é a instituição responsável pelo processamento dos pagamentos e recebimentos da operação de securitização, podendo, também, entre outras atividades, atuar no suporte à formalização dos contratos e garantias do processo de securitização, bem como na avaliação dessas garantias;
VIII - reforço de crédito é o instrumento que garante, total ou parcialmente, o fluxo de recebimentos dos ativos subjacentes que servem de lastro a título de securitização;
IX - reforço de liquidez é o instrumento que garante, total ou parcialmente, a tempestividade dos fluxos de pagamentos de títulos de securitização;
X - exposição de securitização é a exposição ao risco de crédito em processo de securitização, incluindo:
a) manutenção de títulos de securitização em carteira;
b) provimento de reforço de crédito ou de liquidez a títulos de securitização;
c) assunção da condição de contraparte receptora de risco em operação de derivativos de crédito; e
d) realização de contratos de swaps vinculados direta ou indiretamente a títulos de securitização;
XI - opção de recompra antecipada é o direito contratual de recompra dos títulos de securitização pela contraparte emissora, antes de seu vencimento;
XII - spread de securitização (SS) é a diferença, medida em percentual, entre os valores recebidos dos ativos subjacentes, incluindo os rendimentos decorrentes de seu reinvestimento, e os valores pagos aos títulos de securitização, incluindo as despesas inerentes ao processo de securitização;
XIII - apoio implícito é a assunção, pela contraparte originadora, de qualquer obrigação não contratual, tendo em vista cobrir perdas de investidores em títulos de securitização;
XIV - amortização antecipada controlada é a faculdade contratual de resgate antecipado por solicitação do detentor de títulos de securitização, na hipótese da ocorrência de eventos predeterminados, em que sejam atendidas as seguintes condições:
a) na ocorrência de amortização antecipada, deve estar assegurada a disponibilidade de recursos suficientes para pagamento dos títulos de securitização;
b) ao longo do período de amortização antecipada, os encargos, principal, despesas, perdas e recuperações devem ser prévia e proporcionalmente divididos, com base nas participações relativas de cada parte nos fluxos remanescentes dos ativos subjacentes;
c) o prazo em que ocorrer a amortização deve ser suficiente para amortizar ao menos 90% (noventa por cento) do saldo devedor dos títulos de securitização ou para reconhecê-los como em descumprimento; e
d) ao longo do período de amortização antecipada, o valor de cada parcela de reembolso aos investidores não deve ser superior ao que ocorreria no caso de amortização linear;
XV - amortização antecipada não controlada é a faculdade contratual de resgate antecipado por solicitação do detentor de títulos de securitização, na hipótese da ocorrência de eventos predeterminados, em que não seja atendida qualquer das condições estabelecidas no inciso XIV;
XVI - classe júnior é a classe de títulos de securitização que apresenta a mais baixa prioridade de pagamento em uma mesma emissão, comparativamente às demais classes;
XVII - classe sênior é a classe de títulos de securitização que apresenta a mais alta prioridade de pagamento em uma mesma emissão, comparativamente às demais classes;
XVIII - classe mezanino é qualquer classe de títulos de securitização que apresenta prioridade de pagamento superior à da classe júnior e inferior à da classe sênior, em uma mesma emissão;
XIX - ponto de acumulação (PA) é o nível predeterminado do spread de securitização, acima do qual o valor correspondente ao excedente do spread é acumulado em fundo de reserva destinada à absorção de perdas;
XX - fundo de reserva é o conjunto de recursos financeiros destinado à absorção de perdas;
XXI - transferência substancial de riscos é a transferência de riscos resultante de venda ou cessão de ativos realizada segundo o disposto na Resolução nº 3.533, de 31 de janeiro de 2008;
XXII - retenção substancial de riscos é a retenção de riscos decorrente de venda ou cessão de ativos realizada segundo o disposto na Resolução nº 3.533, de 2008;
XXIII - parcela investidora é o valor dos ativos de caráter rotativo cedidos a contraparte emissora que efetivamente configuram ativos subjacentes no processo de securitização;
XXIV - parcela originadora é o valor dos ativos de caráter rotativo cedidos a contraparte emissora que não configuram ativos subjacentes no processo de securitização;
XXV - ressecuritização é o processo de securitização cujos ativos subjacentes consistem em títulos de securitização.
§ 1º O fator de ponderação de risco (Ki) para exposições de securitização é igual ao fator Ki* multiplicado pelo fator definido no art. 4º da Resolução nº 4.193, de 2013.
§ 2º Processos de securitização assemelhados àqueles mencionados nos incisos I e II que sejam estruturados em apenas uma classe de priorização de pagamento devem ser tratados como uma exposição aos seus ativos subjacentes, devendo ser submetidos ao mesmo tratamento da categoria ou subcategoria em que seriam classificados tais ativos.
§ 3º No caso de impossibilidade de identificação dos ativos subjacentes aos processos de securitização mencionados no § 2º, as respectivas exposições devem ser submetidas ao tratamento previsto no art. 18 da Circular nº 3.644, de 2013.
CAPÍTULO II
DA SECURITIZAÇÃO TRADICIONAL
Art. 116. Em processo de securitização tradicional com transferência substancial de riscos, é facultada à contraparte originadora a exclusão dos respectivos ativos subjacentes do cálculo da parcela RWACIRB, condicionada ao atendimento dos seguintes requisitos:
I - ausência de controle efetivo, direto ou indireto, da contraparte originadora sobre os ativos subjacentes cedidos;
II - ausência de qualquer coobrigação da contraparte originadora em relação aos ativos subjacentes;
III - direito irrestrito do cessionário de negociar ou oferecer em garantia os ativos subjacentes;
IV - ausência de obrigações para a contraparte originadora em relação aos títulos de securitização, salvo quando as obrigações forem exclusivamente relativas ao processamento dos recebimentos dos ativos subjacentes;
V - atendimento às condições previstas nos §§ 2º e 3º do art. 119, na hipótese de existência de opção de recompra antecipada;
VI - ausência de obrigação da contraparte originadora de substituir a totalidade ou parcela dos ativos subjacentes cedidos, tendo em vista reduzir o risco de crédito do respectivo conjunto de ativos cedidos;
VII - vedação ao provimento de reforço de crédito pela contraparte originadora após a emissão dos títulos de securitização; e
VIII - vedação ao aumento da taxa de retorno dos títulos de securitização, tendo em vista compensar deterioração da qualidade do crédito dos ativos subjacentes que acarrete prejuízo à contraparte originadora ou redução da taxa de retorno dos títulos por ela detidos.
Parágrafo único. Para fins do disposto no inciso I do caput, considera-se que a contraparte originadora detém controle efetivo sobre os ativos subjacentes cedidos quando está contratualmente prevista a obrigatoriedade de sua recompra e de retenção dos riscos a eles associados.
Art. 117. Em processo de securitização tradicional com previsão de amortização antecipada, cujos ativos subjacentes incluam exposições de caráter rotativo, a contraparte originadora deve incluir a parcela investidora no cálculo da parcela RWACIRB, observado o disposto no art. 140, se o exercício da amortização antecipada implicar:
I - rebaixamento da prioridade de pagamento dos títulos de securitização detidos pela contraparte originadora, comparativamente à prioridade dos demais detentores de títulos; ou
II - aumento da exposição da contraparte originadora a perdas associadas aos ativos subjacentes.
Parágrafo único. O disposto no caput não se aplica a processo de securitização tradicional com previsão de amortização antecipada cujos ativos subjacentes incluam exposições de caráter rotativo, que atenda aos requisitos estabelecidos no art. 116 e se enquadre em uma das seguintes hipóteses:
I - os investidores nos respectivos títulos de securitização assumem completamente o risco inerente a futuros saques da parcela investidora, mesmo em evento de amortização antecipada;
II - o exercício da amortização antecipada decorre exclusivamente de evento não relacionado ao desempenho dos ativos subjacentes ou à qualidade de crédito da contraparte emissora; e
III - a reprodução de uma estrutura de pagamento de títulos de securitização lastreados em ativos subjacentes de caráter não rotativo, associada ao exercício da amortização antecipada, não implica redução da parcela originadora.
CAPÍTULO III
DA SECURITIZAÇÃO SINTÉTICA
Art. 118. Em processo de securitização sintética, é facultado o reconhecimento de instrumentos de mitigação do risco de crédito segundo o previsto nos arts. 87 a 107 para os respectivos ativos subjacentes, desde que atendidos os seguintes requisitos: (Nota: Redação dada, a partir de 01.01.2017, pela Circular nº 3.810, de 25.08.2016)
I - a contraparte originadora deve transferir substancialmente o risco de crédito associado aos ativos subjacentes;
II - a transferência do risco de crédito dos ativos subjacentes não pode estar sujeita a restrições ou a condições que modifiquem a parcela de risco transferida, a exemplo de:
a) fixação de limites a partir dos quais a mitigação não é aplicável, mesmo na ocorrência de evento de crédito;
b) faculdade de cancelamento do instrumento de mitigação de risco do crédito em decorrência da deterioração da qualidade do crédito dos ativos subjacentes;
c) obrigatoriedade de substituição dos ativos cujo risco de crédito foi transferido;
d) previsão de aumento do custo do instrumento de mitigação do risco de crédito em decorrência de deterioração da qualidade do crédito dos ativos subjacentes;
e) previsão de aumento da taxa de retorno de investidores nos respectivos títulos de securitização, excetuada a contraparte originadora, em decorrência da deterioração da qualidade do crédito dos ativos subjacentes; e
f) possibilidade de provimento de reforço de crédito pela contraparte originadora após a emissão dos títulos de securitização;
III - os contratos relativos ao processo de securitização devem ser objeto de parecer jurídico qualificado que sustente a sua exequibilidade em qualquer jurisdição relevante; e
IV - atendimento ao disposto no art. 119, na hipótese de existência de opção de recompra antecipada.
Parágrafo único. Na hipótese de ocorrência de descasamento de prazos em processo de securitização sintética, a contraparte originadora deve observar o disposto no art. 107. (Nota: Redação dada, a partir de 01.01.2017, pela Circular nº 3.810, de 25.08.2016)
CAPÍTULO IV
DA OPÇÃO DE RECOMPRA ANTECIPADA
Art. 119. No cálculo da parcela RWACIRB, a contraparte originadora deve considerar a existência da opção de recompra antecipada, na hipótese contratualmente estabelecida de:
I - obrigatoriedade de recompra dos ativos subjacentes cedidos à contraparte emissora, caso exercida a opção, em processo de securitização tradicional; e
II - cancelamento do derivativo de crédito, caso exercida a opção, em processo de securitização sintética.
§ 1º Para efeito do disposto no caput:
I - os ativos subjacentes cedidos à contraparte emissora devem ser tratados como cedidos com retenção substancial de riscos; e
II - nos processos de securitização sintética, a contraparte originadora deverá considerar todo o montante dos ativos subjacentes no cálculo da parcela RWACIRB, desconsiderando os benefícios decorrentes do derivativo de crédito associado à operação.
§ 2º É facultado à contraparte originadora desconsiderar a opção de recompra antecipada no cálculo da parcela RWACIRB, caso sejam atendidos os seguintes requisitos:
I - o exercício da opção é condicionado à existência de saldo devedor dos ativos subjacentes ou dos títulos de securitização não superior a 10% (dez por cento) do montante original;
II - o exercício da opção de recompra é condicionado à anuência da contraparte originadora; e
III - a estrutura da opção de recompra não evidencia o objetivo de evitar perdas dos detentores dos títulos de securitização ou da contraparte emissora na prestação de reforço de crédito.
§ 3º Para efeito do disposto no inciso I do § 2º, o valor dos títulos de securitização deve considerar o valor corrente das exposições de referência dos derivativos de crédito, no caso de processos de securitização sintética.
CAPÍTULO V
DO APOIO IMPLÍCITO EM PROCESSOS DE SECURITIZAÇÃO
Art. 120. A prestação de apoio implícito em processo de securitização implica tratar todas as exposições de securitização a ele associadas como exposições com retenção substancial de riscos.
§ 1º A contraparte originadora deve dar publicidade acerca de qualquer apoio implícito prestado, assim como dos efeitos dessa medida na apuração da parcela RWACIRB.
§ 2º A documentação relativa a processo de securitização deve evidenciar o caráter voluntário e a observância dos preços de mercado em qualquer compra de ativos subjacentes ou títulos de securitização pela contraparte originadora.
§ 3º Para efeito da comprovação do caráter voluntário, a prestação de apoio implícito deve obter aprovação da diretoria da instituição.
CAPÍTULO VI
DAS LINHAS DE REFORÇO DE CRÉDITO E DE LIQUIDEZ
Art. 121. O valor da exposição relativa aos reforços de crédito, de liquidez ou de adiantamento de recursos deve ser determinado mediante a multiplicação do valor do compromisso assumido, deduzido eventual saque de recursos já efetuado, pelo respectivo FCC, que deve corresponder a:
I - 0% (zero por cento), no caso de adiantamento de recursos provido por administrador dos ativos subjacentes, desde que o compromisso seja incondicionalmente cancelável, sem a necessidade de aviso prévio por parte do administrador;
II - 100% (cem por cento), no caso de reforço de crédito; e
III - 100% (cem por cento), no caso de reforço de liquidez que atenda aos seguintes requisitos:
a) as hipóteses de saque dos recursos disponíveis para reforço de liquidez são claramente identificadas e limitadas;
b) os saques dos recursos disponíveis para reforço de liquidez são condicionados à alta probabilidade de reembolso desses recursos quando da liquidação dos ativos subjacentes ou do provimento de reforço de crédito;
c) os recursos disponíveis para reforço de liquidez não são usados na cobertura de exposições em descumprimento nem de perdas associadas aos ativos subjacentes;
d) o processo de securitização não é estruturado de forma a dar certeza da utilização dos recursos disponíveis para reforço de liquidez;
e) os títulos de securitização cobertos pelo reforço de liquidez, quando classificados externamente, têm classificação, no mínimo, equivalente à de grau de investimento, no momento da realização de saque dos recursos disponíveis;
f) não ocorre saque de recursos disponíveis para reforço de liquidez depois de esgotado o reforço de crédito associado ao processo de securitização; e
g) o reembolso dos recursos sacados para reforço de liquidez tem prioridade sobre todas as demais obrigações relativas ao processo de securitização e não está sujeito a postergação, perdão ou extinção da dívida.
§ 1º Os requisitos especificados nas alíneas "a", "b", "c", "e", "f" e "g" do inciso III do caput devem estar contratualmente previstos.
§ 2º Na hipótese de existência de múltiplos reforços de liquidez ou de crédito providos pela mesma instituição em processo de securitização, o cálculo da parcela RWACIRB relativo à sobreposição de reforços deve considerar somente o reforço para o qual é atribuído o maior FCC.
§ 3º Caso o reforço de liquidez não atenda ao disposto no inciso III do caput, o seu valor nocional deve ser multiplicado pelo fator de ponderação de risco (Ki) com valor igual a 1 (um).
CAPÍTULO VII
DAS ABORDAGENS PARA EXPOSIÇÕES DE SECURITIZAÇÃO
Seção I
Das Disposições Gerais
Art. 122. A apuração do valor da parcela RWACIRB relativo a ativos subjacentes por meio de abordagem IRB implica a utilização de abordagem IRB também para cálculo do valor da parcela RWACIRB relativo a exposições de securitização.
§ 1º Na hipótese de os portfólios aos quais pertencem o conjunto de ativos subjacentes a uma exposição de securitização serem tratados, para efeito da apuração da parcela RWACIRB, segundo diferentes abordagens IRB, deve ser aplicada à exposição de securitização a abordagem utilizada na parcela predominante do conjunto de ativos.
§ 2º Deve ser mantido registro histórico atualizado da composição do conjunto de ativos subjacentes a cada exposição de securitização, tendo em vista fundamentar a escolha da abordagem utilizada.
Art. 123. Na ausência de tratamento específico em abordagem IRB para um tipo de ativo subjacente relativo a processo de securitização, a respectiva exposição deve receber o tratamento estabelecido na Circular nº 3.644, de 2013.
Art. 124. Na hipótese de utilização de abordagem IRB para exposição de securitização pela contraparte originadora, o valor máximo da parcela RWACIRB relativa a essa exposição deve corresponder ao valor apurado para a totalidade dos respectivos ativos subjacentes na ausência de securitização, segundo a abordagem utilizada para cada portfólio.
Art. 125. No caso de retenção parcial de risco, deve ser utilizado o máximo entre os fatores K associados à cota da exposição mantida pela instituição e aos ativos subjacentes, na proporção do risco retido.
Art. 126. No caso de a instituição atuar como investidora em processo de securitização cujos ativos subjacentes são classificados na categoria "varejo", é facultada a utilização do tratamento descrito na Circular nº 3.644, de 2013, diante da comprovada impossibilidade de obtenção de informações para adequada mensuração do risco de crédito dos referidos ativos.
Parágrafo único. A utilização da faculdade prevista no caput é condicionada à autorização prévia do Desup.
Seção II
Da Abordagem RBA
Art. 127. A abordagem RBA aplica-se às exposições de securitização em que é possível determinar internamente:
I - o risco de crédito dos ativos subjacentes; e
II - os impactos da estrutura de subordinação e de outras características no risco de crédito das exposições de securitização.
§ 1º O processo de classificação interna da abordagem RBA deve permitir a segregação das exposições em, no mínimo, onze Níveis de Qualidade Creditícia de Longo Prazo (NQL) e três Níveis de Qualidade Creditícia de Curto Prazo (NQC).
§ 2º A classificação interna no âmbito da abordagem RBA deve ser comparada com classificações externas, quando estas existirem, tendo em vista a identificação de eventuais discrepâncias.
Art. 128. No âmbito da abordagem RBA, deve ser aplicado fator Ki a cada exposição de securitização, considerando os seguintes aspectos:
I - classificação interna do risco da exposição de securitização, atribuída conforme o art. 127, § 1º;
II - prazo da exposição;
III - grau relativo de senioridade entre exposições classificadas no mesmo NQC ou NQL; e
IV - nível de granularidade do conjunto de ativos subjacentes.
§ 1º Para fins da determinação do fator Ki a ser aplicado às exposições de securitização, deve ser utilizado o valor estabelecido para o fator Ki*:
I - no anexo V, para exposições classificadas como de longo prazo; e
II - no anexo VI, para exposições classificadas como de curto prazo.
§ 2º O grau de senioridade da exposição, mencionado no inciso III do caput, deve ser utilizado para obter os valores do fator Ki* aplicáveis a diferentes classes de subordinação que apresentem valores idênticos para NQL ou NQC.
§ 3º O nível de granularidade mencionado no inciso IV do caput é determinado com base no número efetivo de ativos subjacentes (N), conforme definido no art. 133, da seguinte forma:
I - se N é maior ou igual a 6 (seis) a exposição é considerada granular;
II - se N é menor do que 6 (seis), a exposição é considerada não granular.
§ 4º Nos casos de classificação interna de longo prazo da abordagem RBA inferior ao nível NQL11 e de classificação interna de curto prazo da abordagem RBA inferior ao nível NQC3, deve ser aplicado à exposição de securitização o fator de ponderação de risco igual a 1.250% (mil duzentos e cinquenta por cento), independentemente da senioridade da classe e da granularidade do conjunto de ativos subjacentes.
Seção III
Da Abordagem da Fórmula do Supervisor (SF)
Art. 129. A abordagem SF aplica-se às exposições de securitização em que a instituição não é capaz de considerar os impactos da estrutura de subordinação e de outras características do processo de securitização para fins de classificação do risco de crédito.
Art. 130. O valor da parcela RWACIRB calculado para uma classe de título de securitização mediante a utilização da abordagem SF é dado pela multiplicação do valor total dos ativos subjacentes securitizados pelo maior entre os seguintes valores:
I - 0,07 x T; ou
II - 1/F{S[L + T] - S[L]}, em que:
a) T = amplitude da exposição; e
b) L = nível de reforço de crédito.
§ 1º A função S[.] mencionada no inciso II do caput é definida por:


em que:
I - KIRB = fator de ponderação de risco para exposição de securitização, apurado por meio da abordagem SF;
II- ω = 20;
III - d = 1 - (1 - h) x (1 - Beta[KIRB; a,b]); onde Beta [KIRB; a,b] é a distribuição de probabilidade acumulada Beta de parâmetros "a" e "b", definidos nas alíneas "d" e "e" do inciso IV, avaliada na variável KIRB; e
IV - K[L] = (1 - h) x ((1 - Beta[L; a,b]) x L + Beta[L; a + 1,b] x c), em que:
a) h = (1 - KIRB/LGD(SEC))N; (Nota: Redação dada pela Circular nº 3.673, de 31.10.2013)
b) N = número efetivo de ativos subjacentes da exposição de securitização;
c) Beta [L; a, b] = Distribuição de probabilidade acumulada Beta de parâmetros "a" e "b" avaliada na variável L;
d) a = g x c;
e) b = g x (1 - c);
f) c = KIRB/(1-h);
|
g) g=
|
(1–c) x c
|
–1;
|
|
f
|
|
f =
|
(
|
v+K2IRB
|
–c2 ) +
|
(1–KIRB) X KIRB – v
|
; |
|
1–h
|
(1–h) x τ
|
|
i) v =
|
(LGD (SEC) –KIRB) X KIRB + 0,25 X (1–LGD (SEC) X KIRB
|
;
|
|
N
|
j) τ = 1.000; e
k) LGD(SEC) = parâmetro LGD aplicável a exposições de securitização.
§ 2º A amplitude da exposição de securitização (T) corresponde à razão entre o valor nominal da classe dos títulos de securitização detida e o valor nocional dos ativos subjacentes.
§ 3º Para exposições de securitização cujos ativos subjacentes são exposições de varejo, é facultada a atribuição do valor 0 (zero) para os parâmetros "h" e "v", mencionados nas alíneas "a" e "i" do inciso IV do § 1º deste artigo.
§ 4º A utilização da faculdade de que trata o § 3º é condicionada à autorização do Desup.
Art. 131. O valor do fator KIRB mencionado no art. 130 deve corresponder ao resultado da seguinte fórmula:
KIRB = (F x RWA(SEC) + EL(SEC)) / V(SEC) , em que:
I - RWA(SEC) = valor da parcela RWACIRB relativo aos ativos subjacentes;
II - EL(SEC) = montante de perda esperada relativa aos ativos subjacentes; e
III - V(SEC) = valor total dos ativos subjacentes.
§ 1º A apuração do valor de V(SEC) deve incluir o valor do parâmetro EAD associado aos compromissos de crédito não sacados.
§ 2º Os valores de RWA(SEC) e EL(SEC) devem corresponder aos respectivos valores para RWACIRB e EL relativos aos ativos subjacentes, obtidos mediante a mesma abordagem IRB utilizada e considerando os efeitos de eventual instrumento de mitigação do risco de crédito empregado.
§ 3º Para securitização estruturada mediante a utilização de sociedade de propósito específico (SPE), os ativos subjacentes devem incluir os recursos eventualmente segregados pela SPE em fundo de reserva.
§ 4º Nos casos em que a instituição constitui provisão relativa à exposição de securitização ou há desconto não reembolsável sobre o preço de compra de um ativo subjacente, o valor do fator V(SEC) deve ser igual ao montante bruto do ativo, desconsiderando a provisão ou o desconto.
Art. 132. O nível de reforço de crédito (L) mencionado no art. 130 corresponde à razão entre o montante de todas as classes subordinadas à classe da exposição detida e o valor total dos ativos subjacentes à exposição de securitização.
§ 1º Na apuração do valor de L, devem ser desconsiderados os efeitos de quaisquer reforços de crédito e de fundos de reserva capitalizados por meio de recebíveis futuros dos ativos subjacentes que não apresentem saldo.
§ 2º Na apuração do valor de L, é facultada a inclusão do saldo de fundo de reserva composta por fluxos de caixa acumulados dos ativos subjacentes, associada a classe de exposição cujo grau de subordinação seja superior ao da classe da exposição detida.
Art. 133. O número efetivo de ativos subjacentes (N) da exposição de securitização mencionado no art. 130, § 1º, inciso IV, alínea "b", deve corresponder ao resultado da seguinte fórmula:
, em que:
EADi = valor do parâmetro EAD relativo a cada ativo subjacente associado ao tomador ou grupo homogêneo de risco "i".
§ 1º No caso de ressecuritização, o cálculo de N deve considerar os títulos de securitização utilizados no processo.
§ 2º Na hipótese de o peso do ativo subjacente de maior participação no conjunto de ativos (C1) ser conhecido, é facultado considerar o valor de N igual à razão 1/C1.
Art. 134. O valor do parâmetro LGD(SEC) mencionado no art. 130, § 1º, inciso IV, alínea "k", é calculado por meio da seguinte fórmula:

, em que:
LGDi = valor médio do parâmetro LGD relativo a todos os ativos subjacentes associados ao tomador ou grupo homogêneo de risco i.
Parágrafo único. O valor do parâmetro LGD(SEC) deve ser igual a 100% (cem por cento) para as exposições de securitização relativas a ressecuritização.
Art. 135. Na hipótese de o peso C1 mencionado no art. 133, § 2º, ser inferior ou igual a 0,03 (três centésimos), é facultada a utilização dos seguintes valores para os parâmetros LGD(SEC) e N:
I - LGD(SEC) = 50% (cinquenta por cento); e
II - N = (C1 x Cm + [(Cm – C1)/(m-1)] x max {1-m x C1,0})-1, em que:
a) m = número de ativos de maior participação no conjunto de ativos subjacentes, fixado pela instituição; e
b) Cm = peso dos "m" maiores ativos no conjunto de ativos subjacentes.
Parágrafo único. Na hipótese de apenas C1 ser apurado e seu valor ser inferior ou igual a 0,03 (três centésimos), é facultada a utilização dos seguintes valores para LGD(SEC) e N:
I - LGD(SEC) = 50% (cinquenta por cento); e
II - N = 1 / C1.
Art. 136. Para a abordagem SF, no caso de ativos subjacentes constituídos por recebíveis adquiridos, os valores de KIRB associados aos riscos de crédito e de redução devem ser apurados separadamente por meio da utilização dos respectivos parâmetros de risco, estimados segundo o disposto nos arts. 58 a 62.
§ 1º Na hipótese de os riscos de crédito e de redução associados a recebíveis adquiridos serem cobertos por garantia agregada em um processo de securitização, incluindo reforços de crédito ou de liquidez comuns aos dois riscos, o valor do parâmetro LGD(SEC) deve ser apurado por meio da seguinte fórmula:
|
LGD(SEC ) = |
∑1 (LGD1 X K1 + Kd1) |
, em que: |
|
∑1 K1 + Kd1 |
I - LGDi = valor médio do parâmetro LGD relativo a todos os ativos subjacentes associados ao tomador ou grupo homogêneo de risco i;
II - Ki= fator de ponderação do risco de crédito associado ao tomador ou grupo homogêneo de risco "i'; e
III - Kdi= fator de ponderação do risco de redução associado ao tomador ou grupo homogêneo de risco "i".
§ 2º Para fins do disposto no caput e no § 1º, não se aplica o previsto no § 1º do art. 115.
CAPÍTULO VIII
DA IMPOSSIBILIDADE DE UTILIZAÇÃO DAS ABORDAGENS RBA OU SF
Art. 137. Deve ser aplicado fator de ponderação de risco igual a 1.250% (um mil duzentos e cinquenta por cento) às exposições de securitização cujos ativos subjacentes estejam predominantemente sujeitos a abordagens IRB mencionadas no art. 6º, para as quais as abordagens RBA ou SF não possam ser utilizadas.
CAPÍTULO IX
DA MITIGAÇÃO DO RISCO DE CRÉDITO PARA EXPOSIÇÕES DE SECURITIZAÇÃO
Art. 138. O provimento de mitigação do risco de crédito a exposição de securitização implica o tratamento da exposição objeto da mitigação como exposição própria, para fins da apuração do valor da parcela RWACIRB.
Parágrafo único. O disposto no caput não se aplica à contraparte originadora.
Art. 139. A utilização das abordagens SF ou RBA implica o tratamento dos instrumentos de mitigação do risco de crédito segundo o disposto nos arts. 87 a 107. (Nota: Redação dada, a partir de 01.01.2017, pela Circular nº 3.810, de 25.08.2016)
Parágrafo único. Os efeitos dos instrumentos de mitigação do risco de crédito devem ser associados à classe sênior dos títulos de securitização, facultada sua associação a classes com maior grau de subordinação quando destinados à proteção relativa às:
I - primeiras perdas; ou
II - perdas de cada classe de títulos de securitização de forma proporcional.
CAPÍTULO X
DA PARCELA RWACIRB RELATIVA À AMORTIZAÇÃO ANTECIPADA
Art. 140. Caso esteja prevista amortização antecipada, segundo o disposto no art.115, inciso XIV, o respectivo valor da parcela RWACIRB deve corresponder ao produto dos seguintes fatores:
I - valor da parcela investidora;
II - FCC apropriado, conforme os §§ 2º e 3º; e
III - fator KIRB, mencionado no art. 130, § 1º, inciso I.
§ 1º Para a apuração do valor do parâmetro EAD relativo às exposições de securitização, os valores das exposições correntes, efetivas e contingentes devem ser apurados em relação à parcela investidora.
§ 2º Para efeito do disposto no caput, os seguintes FCCs devem ser aplicados aos ativos subjacentes de caráter rotativo em processos de securitização com amortização antecipada controlada:
I - 90% (noventa por cento), quando os ativos subjacentes consistirem em compromissos não associados a créditos de varejo;
II - 90% (noventa por cento), quando os ativos subjacentes consistirem em compromissos não canceláveis incondicionalmente sem aviso prévio associados a créditos de varejo; e
III - o valor correspondente à razão entre a média de 3 (três) meses do spread de securitização e o ponto de acumulação (SS90/PA), quando os ativos subjacentes consistirem em compromissos canceláveis incondicionalmente sem aviso prévio associados a créditos de varejo, de acordo com os seguintes valores:
a) 0% (zero por cento), caso a razão SS90/PA seja superior a 133,33% (cento e trinta e três inteiros e trinta e três centésimos por cento);
b) 1% (um por cento), caso a razão SS90/PA seja inferior ou igual a 133,33% (cento e trinta e três inteiros e trinta e três centésimos por cento) e superior a 100% (cem por cento);
c) 2% (dois por cento), caso a razão SS90/PA seja inferior ou igual a 100% (cem por cento) e superior a 75% (setenta e cinco por cento);
d) 10% (dez por cento), caso a razão SS90/PA seja inferior ou igual a 75% (setenta e cinco por cento) e superior a 50% (cinquenta por cento);
e) 20% (vinte por cento), caso a razão SS90/PA seja inferior ou igual a 50% (cinquenta por cento) e superior a 25% (vinte e cinco por cento); e
f) 40% (quarenta por cento), caso a razão SS90/PA seja inferior ou igual a 25% (vinte e cinco por cento).
§ 3º Para efeito do disposto no caput, devem ser aplicados os seguintes FCCs aos ativos subjacentes de caráter rotativo em processo de securitização com amortização antecipada não controlada:
I - 100% (cem por cento), quando os ativos subjacentes consistirem em compromissos não associados a créditos de varejo;
II - 100% (cem por cento), quando os ativos subjacentes consistirem em compromissos não canceláveis incondicionalmente sem aviso prévio associados a créditos de varejo; e
III - o valor correspondente à razão SS90/PA, quando os ativos subjacentes consistirem em compromissos canceláveis incondicionalmente sem aviso prévio associados a créditos de varejo, de acordo com os seguintes valores:
a) 0% (zero por cento), caso a razão SS90/PA seja superior a 133,33% (cento e trinta e três inteiros e trinta e três centésimos por cento);
b) 5% (cinco por cento), caso a razão SS90/PA seja inferior ou igual a 133,33% (cento e trinta e três inteiros e trinta e três centésimos por cento) e superior a 100% (cem por cento);
c) 15% (quinze por cento), caso a razão SS90/PA seja inferior ou igual a 100% (cem por cento) e superior a 75% (setenta e cinco por cento);
d) 50% (cinquenta por cento), caso a razão SS90/PA seja inferior ou igual a 75% (setenta e cinco por cento) e superior a 50% (cinquenta por cento); e
e) 100% (cem por cento), caso a razão SS90/PA seja inferior ou igual a 50% (cinquenta por cento).
§ 4º Na ausência de ponto de acumulação fixado contratualmente, seu valor é estabelecido em 4,5 (quatro inteiros e cinco décimos) pontos percentuais superior ao valor do spread de securitização que faculta aos investidores dos títulos de securitização o exercício da amortização antecipada.
§ 5º Para fins do disposto no § 4º, caso o exercício da amortização antecipada não esteja diretamente vinculado ao valor do spread de securitização, o valor do ponto de acumulação é estabelecido em 4,5% (quatro inteiros e cinco décimos por cento).
TÍTULO IX
DO USO DAS ABORDAGENS IRB
CAPÍTULO I
DAS BASES DE DADOS
Art. 141. A utilização de abordagem IRB implica o armazenamento de dados pelos seguintes períodos:
I - para as exposições classificadas na categoria "varejo", o cálculo das estimativas dos valores dos parâmetros PD, LGD e EAD deve considerar, no mínimo, dados relativos aos 5 (cinco) anos anteriores;
II - para as exposições classificadas na categoria "participações societárias", o cálculo das estimativas dos valores do parâmetro PD empregadas na abordagem PD/LGD devem considerar, no mínimo, dados relativos aos 5 (cinco) anos anteriores; e
III - para as demais exposições:
a) o cálculo das estimativas dos valores do parâmetro PD deve considerar, no mínimo, dados relativos aos 5 (cinco) anos anteriores; e
b) o cálculo das estimativas dos valores dos parâmetros LGD e EAD deve considerar dados relativos, no mínimo, aos 7 (sete) anos anteriores, compreendendo, preferencialmente, um ciclo econômico completo.
Art. 142. Admite-se a utilização de bases de dados externas e de classificações externas de exposições segundo o risco de crédito como fontes complementares de informações para cálculo das estimativas dos parâmetros de risco, desde que seja demonstrada a compatibilidade dos dados e classificações externas com os fatores de risco aos quais estão sujeitas as exposições próprias.
Art. 143. É admitida a utilização de modelos desenvolvidos por terceiros como parte do processo de classificação interna de exposições segundo o risco de crédito.
§ 1º A utilização de modelos desenvolvidos por terceiros deve atender aos mesmos requisitos para validação do uso de sistemas desenvolvidos internamente, observados os seguintes requisitos adicionais:
I - a documentação do nível de integração dos modelos ao processo de classificação interna de exposições deve ser satisfatória; e
II - o grau de compreensão dos modelos, de seus resultados e implicações deve ser adequado para sua utilização no sistema de classificação e mensuração de risco.
§ 2º O processo de validação de que tratam os arts. 147 a 155 deve comprovar a adequação dos modelos desenvolvidos por terceiros à natureza das exposições próprias e à metodologia adotada no processo de classificação interna de exposições.
§ 3º O desempenho dos modelos desenvolvidos por terceiros e a integridade dos dados utilizados no processo de classificação interna de exposições devem ser periodicamente revisados.
Art. 144. É facultado o uso de dados compartilhados entre instituições financeiras.
Parágrafo único. Para a utilização da faculdade prevista no caput, deve ser demonstrada a adequação entre os dados compartilhados e o sistema interno de classificação utilizado.
CAPÍTULO II
DA COMPROVAÇÃO DE USO
Art. 145. A instituição que utilizar abordagem IRB deve comprovar a utilização dessa abordagem de forma contínua, integrada e abrangente, no mínimo nos seguintes processos:
I - definição dos níveis de risco tolerados;
II - estabelecimento e alteração de limites;
III - tomada de decisões relativas à assunção de riscos;
IV - alterações da estratégia e das políticas para o gerenciamento do risco de crédito, de que trata a Resolução nº 3.721, de 2009;
V - elaboração de relatórios gerenciais;
VI - realização do Processo Interno de Avaliação da Adequação de Capital (Icaap), nos termos da Resolução nº 3.988, de 2011;
VII - programação e realização de simulações de condições extremas (testes de estresse);
VIII - formação de preços e mensuração da rentabilidade de operações; e
IX - concessão e acompanhamento de crédito.
§ 1º A comprovação de que trata o caput compreende a identificação, descrição e documentação do uso contínuo, integrado e abrangente dos parâmetros de risco associados à abordagem IRB utilizada.
§ 2º A documentação mencionada no § 1º deve ser mantida atualizada.
Art. 146. As práticas e critérios associados ao sistema de classificação devem estar alinhados com as diversas áreas da instituição envolvidas no processo de crédito, incluindo as áreas de gestão de risco e comercial, considerando:
I - os critérios utilizados para segmentação das categorias de exposição, bem como aqueles utilizados para definição dos níveis de risco e dos grupos homogêneos de risco;
II - os valores e procedimentos relativos aos processos de recuperação e cobrança; e
III - as técnicas de mensuração e parâmetros utilizados para apuração das perdas esperadas.
Parágrafo único. A classificação de risco final deve considerar as análises executadas nas instâncias de avaliação a que a exposição foi submetida.
CAPÍTULO III
DO PROCESSO DE VALIDAÇÃO
Art. 147. A utilização de abordagem IRB é condicionada à realização de processo de validação dos modelos e sistemas internos de classificação do risco de crédito, tendo em vista comprovar sua adequação ao perfil de risco atual, abrangência e consistência.
§ 1º A comprovação de que trata o caput compreende a análise crítica dos seguintes aspectos, no mínimo:
I - metodologias, premissas e fundamentos teóricos utilizados nos modelos;
II - adequação do processo de desenvolvimento dos sistemas internos de classificação do risco de crédito, incluindo os modelos adotados, sua fundamentação lógica e as variáveis utilizadas;
III - principais definições adotadas internamente, incluindo os critérios de descumprimento e de segmentação da carteira e os parâmetros de risco;
IV - precisão e adequação dos valores estimados para os parâmetros de risco e para as perdas;
V - segmentação dos portfólios em níveis de risco suficientes para diferenciação significativa do risco;
VI - utilização de todas as informações relevantes para a adequada mensuração do risco de crédito;
VII - identificação dos intervalos históricos que amparam as estimativas dos parâmetros de risco;
VIII - abrangência, consistência, integridade e confiabilidade dos dados de entrada dos modelos e sistemas de tecnologia da informação e dos processos de construção da base de dados;
IX - existência de processos que avaliem o impacto potencial no risco de crédito oriundo de novos produtos;
X - adequação dos testes de aderência e dos testes de estresse;
XI - avaliação da comprovação definida no art. 145 e do atendimento ao disposto no art. 146 e sua respectiva documentação;
XII - adequação dos controles internos dos sistemas à sua complexidade;
XIII - compatibilidade dos cálculos realizados pelos sistemas de tecnologia da informação e da lógica operacional com as premissas e metodologias adotadas;
XIV - adequação da infraestrutura tecnológica e do funcionamento dos sistemas de tecnologia da informação utilizados nos modelos, incluindo testes, homologações e certificações;
XV - integridade, abrangência e consistência da documentação dos modelos utilizados;
XVI - conteúdo e abrangência dos relatórios periódicos de mensuração de risco, dos testes de aderência e testes de estresse;
XVII - adequação do processo de análise crítica e de aprovação de que trata o art. 157;
XVIII - adequação do cálculo do capital relativo às exposições submetidas às abordagens IRB; e
XIX - atendimento dos requisitos mencionados nos arts. 141 a 144.
§ 2º O processo de validação constitui responsabilidade exclusiva da instituição, que deve demonstrar ao Desup a adequação e aderência dos modelos utilizados ao seu perfil de risco.
§ 3º O processo de validação deve analisar os desvios máximos tolerados entre as estimativas dos parâmetros de risco, mencionados no art. 66, e seus valores realizados, considerando o momento do ciclo econômico corrente e variações sistemáticas nas taxas de descumprimento.
Art. 148. O processo de validação deve ser realizado, pelo menos, a cada 3 (três) anos e, em especial, sempre que ocorrer qualquer alteração relevante nos sistemas, nos modelos, no perfil de risco da instituição ou no valor mensal da parcela RWACIRB da instituição.
Parágrafo único. A relevância de alterações mencionadas no caput deve ser definida segundo critérios consistentes e passíveis de verificação, adequadamente documentados e sujeitos à avaliação do Desup.
Art. 149. O processo de validação deve ser independente dos processos de desenvolvimento dos sistemas e modelos e de uso dos seus resultados.
Art. 150. O processo de validação deve ser conduzido por pessoal tecnicamente capacitado e submetido a uma estrutura apropriada de incentivos, tendo em vista assegurar:
I - análise crítica e efetiva; e
II - ausência de pressões por parte de agentes externos e internos à instituição que possam se beneficiar de resultados específicos decorrentes do processo de validação.
Art. 151. O processo de validação deve incluir os sistemas de tecnologia da informação adquiridos de terceiros.
Art. 152. É facultada a restrição do processo de validação aos aspectos afetados por alterações relevantes nos sistemas, modelos ou no perfil de risco da instituição, desde que seja elaborada prévia análise crítica dessas alterações e adequado diagnóstico de suas consequências na abordagem IRB utilizada.
§ 1º O exercício da faculdade de que trata o caput é sujeito à aprovação do Desup.
§ 2º A não aprovação, pelo Desup, do processo restrito de validação nos termos do caput implica a realização de processo de validação que compreenda a análise crítica dos aspectos mencionados no art. 147, § 1º.
Art. 153. O processo de validação deve considerar o uso de metodologias quantitativas de validação alternativas e recorrer a comparações com fontes de dados externas apropriadas e atualizadas, cobrindo um período de observação adequado.
Art. 154. O processo de validação deve ser adequadamente documentado e seus resultados submetidos à diretoria da instituição e ao conselho de administração.
Parágrafo único. Mudanças nos métodos de validação e informações utilizados, com relação tanto a bases de dados quanto a intervalos de coleta utilizados, devem ser claramente documentadas e justificadas.
Art. 155. A instituição que utilizar abordagem IRB deve implementar estrutura responsável pelo processo de validação.
Parágrafo único. A instituição deve designar pessoa responsável pelo processo de validação.
Art. 156. Devem ser comunicadas ao Desup as alterações relevantes no perfil de risco da instituição que utilizar abordagem IRB, bem como as alterações relevantes descritas no art. 148, inclusive no processo de validação, e aquelas que causem impacto significativo no cálculo do valor mensal da parcela RWACIRB da instituição.
Parágrafo único. O disposto no caput aplica-se também às alterações que isoladamente não sejam relevantes, mas que o sejam em conjunto.
CAPÍTULO IV
DO PROCESSO DE AVALIAÇÃO CRÍTICA
Art. 157. As alterações que não ensejam a realização do processo de validação descrito nos arts. 147 a 155 devem ser submetidas a processo de avaliação crítica e aprovação previamente definido e documentado.
CAPÍTULO V
DA AUDITORIA
Art. 158. O sistema interno de classificação de risco deve ser submetido à avaliação da auditoria interna com periodicidade mínima anual, abrangendo, pelo menos:
I - eficácia do processo de validação de que tratam os arts. 147 a 155;
II - realização de processos de validação nos casos de mudanças relevantes no modelo ou no perfil de risco da instituição, conforme o art. 148;
III - organização da estrutura de gerenciamento do risco de crédito;
IV - utilização dos sistemas e modelos de forma contínua, integrada e abrangente na concessão e acompanhamento de crédito;
V - inserção dos testes de estresse na gestão de risco;
VI - integridade dos testes de aderência e sua utilização efetiva na verificação do desempenho e no aprimoramento dos sistemas e modelos;
VII - observância das políticas e estratégias de gerenciamento de risco, incluindo o cumprimento dos limites e procedimentos relacionados;
VIII - suficiência e qualificação técnica dos profissionais das áreas de negócio, operacionais, de gerenciamento de risco, de tecnologia da informação, bem como de quaisquer outras envolvidas no desenvolvimento, validação e utilização dos sistemas e modelos;
IX - integridade e adequação dos sistemas de informações gerenciais;
X - envolvimento da diretoria da instituição no processo de gestão do risco de crédito;
XI - tempestividade e qualidade das informações prestadas ao conselho de administração;
XII - processos para obtenção das estimativas dos valores dos parâmetros PD, LGD e EAD e sua adequação ao perfil de risco da instituição;
XIII - grau de aderência aos requisitos estabelecidos nesta Circular; e
XIV - adequação do processo de avaliação crítica e aprovação mencionado no art. 157.
§ 1º O processo de avaliação pela auditoria interna deve ser conduzido por pessoal tecnicamente capacitado, de forma independente.
§ 2º O disposto nos incisos I, II e VIII do caput deve ser realizado de forma independente do processo de validação de que tratam os arts. 147 a 155.
§ 3º A atividade de avaliação pela auditoria interna deve ser documentada.
TÍTULO X
DA INSCRIÇÃO
CAPÍTULO I
DOS REQUISITOS
Art. 159. No momento da solicitação da autorização de que trata o art. 2º, a instituição deve estar utilizando, pelo período mínimo de 1 (um) ano, sistemas internos de classificação do risco de crédito e estimação de parâmetros alinhados com os requerimentos mínimos para utilização das abordagens IRB, observado o disposto no art. 12, inciso III, abrangendo, no mínimo, 60% (sessenta por cento) das exposições do escopo de aplicação ponderadas pelos respectivos FPRs estabelecidos na Circular nº 3.644, de 2013.
§ 1º No período de uso prévio de que trata o caput, a abordagem IRB está sujeita ao disposto no art. 145.
§ 2º As abordagens IRB devem ser adotadas para, no mínimo, 90% (noventa por cento) das exposições do escopo de aplicação ponderadas pelos respectivos FPRs estabelecidos na Circular nº 3.644, de 2013, no prazo máximo de 5 (cinco) anos, a partir da solicitação de que trata o caput, mediante um plano de implementação progressiva.
§ 3º Para as exposições classificadas nas categorias "atacado", "entidades soberanas" e "instituições financeiras", o emprego da abordagem IRB avançada não é condicionado ao emprego prévio da abordagem IRB básica.
§ 4º A autorização para utilização da abordagem IRB avançada é condicionada à comprovação de abrangência de, no mínimo, 50% (cinquenta por cento) do total das exposições classificadas nas categorias "atacado", "entidades soberanas" e "instituições financeiras", ponderadas pelos respectivos FPRs estabelecidos na Circular nº 3.644, de 2013.
§ 5º Ao longo da implementação progressiva conduzida segundo o plano mencionado no § 2º, exposições classificadas em categoria para a qual for inicialmente autorizado o emprego da abordagem IRB básica poderão migrar para a abordagem IRB avançada, mediante prévia autorização do Desup, observado o disposto no § 4º.
§ 6º O período mínimo de que trata o caput será acrescido de 2 (dois) anos a partir de 8 de março de 2015. (Nota: Incluído pela Circular nº 3.673, de 31.10.2013)
Art. 159-A. Não se aplica o disposto no art. 159 à solicitação de autorização específica para unidade de negócio de crédito rural, observado o disposto no art. 11, desde que a instituição esteja utilizando, pelo período mínimo de 3 (três) anos, sistemas internos de classificação do risco de crédito e estimação de parâmetros alinhados com os requerimentos mínimos para utilização das abordagens IRB, observado o disposto no art. 12, inciso III, abrangendo integralmente as exposições vinculadas a tal unidade de negócios.
Parágrafo único. No período de uso prévio de que trata o caput, a abordagem IRB está sujeita ao disposto no art. 145.
(Nota: Artigo 159-A incluído pela Circular nº 3.949, de 25.06.2019)
Art. 160. A inclusão de produtos financeiros na utilização de abordagens IRB deve ser comunicada ao Desup, observados critérios de relevância.
Art. 161. (Nota: Revogado pela Circular nº 3.673, de 31.10.2013)
CAPÍTULO II
DA SOLICITAÇÃO DE AUTORIZAÇÃO
Art. 162. As instituições candidatas à utilização de abordagens IRB devem solicitar a respectiva autorização por meio de requerimento assinado pelo diretor-presidente da instituição e pelo diretor indicado na forma do art. 12 da Resolução nº 3.721, de 2009.
§ 1º A solicitação de que trata o caput deve discriminar explicitamente:
I - as categorias, subcategorias, unidades de negócios e as respectivas abordagens IRB para as quais são solicitadas autorizações; e
II - os portfólios e seus respectivos sistemas de classificação para os quais são solicitadas autorizações.
§ 2º Ao longo do plano de implementação progressiva previsto no art. 159, § 2º, a extensão da abordagem IRB utilizada para novos sistemas ou a migração da abordagem IRB básica para a avançada, previstas ou não no referido plano, sujeitam-se à comprovação de utilização de forma contínua, integrada e abrangente estabelecida no art. 145 e à autorização pelo Desup.
§ 3º A solicitação de que trata o caput deve ser acompanhada da seguinte documentação:
I - declarações atestando:
a) ciência de que, uma vez autorizado o uso de abordagens IRB para determinadas exposições, não mais poderá ser utilizada a metodologia estabelecida na Circular nº 3.644, de 2013, para cálculo do valor da parcela do montante RWA relativo a essas exposições, exceto mediante prévia autorização do Desup;
b) atendimento dos requisitos mínimos estabelecidos nesta Circular e ciência de que o eventual não atendimento pleno de aspectos pontuais não compromete a consistência no uso das abordagens IRB e na gestão do risco de crédito;
c) utilização prévia, pelo prazo mínimo de 3 (três) anos, da abordagem IRB espe-cificada para classificação de risco e estimação de parâmetros de risco, segundo o disposto no art. 159 para, no mínimo, 60% (sessenta por cento) das exposições do escopo de aplicação pon-deradas pelos respectivos FPRs; e (Nota: Redação dada, a partir de 01.01.2017, pela Circular nº 3.810, de 25.08.2016)
d) veracidade e integridade das informações enviadas;
II - plano de implementação progressiva, para os 5 (cinco) anos subsequentes, das abordagens IRB para 90% (noventa por cento) das exposições pertencentes ao escopo de aplicação ponderadas pelos respectivos FPRs, contendo cronograma, providências e responsabilidades para sua efetivação;
III - relatório elaborado com base no documento "Informações sobre os Sistemas Internos de Classificação do Risco de Crédito", a ser divulgado pelo Desup;
IV - plano de adequação, contendo cronograma, providências e responsabilidades para pleno atendimento dos aspectos pontuais mencionados no inciso I, alínea "b"; e
V - parecer da auditoria interna, contendo as conclusões sobre a avaliação estabelecida no art. 158.
§ 4º As instituições que optarem pela solicitação de autorização específica para unidade de negócio, nos termos do art. 159-A, ficam dispensadas da declaração de que trata o § 3º, inciso I, alínea “c”, e do plano de que trata o § 3º, inciso II. (Nota: Incluído pela Circular nº 3.949, de 25.06.2019)
§ 5º As instituições de que trata o § 4º devem apresentar declaração, acompanhando a solicitação de que trata o caput, atestando a utilização prévia, pelo prazo mínimo de 3 (três) anos, da abordagem IRB especificada para classificação de risco e estimação de parâmetros de risco, segundo o disposto no art. 159-A, para a integralidade das exposições vinculadas à unidade de negócios objeto da candidatura. (Nota: Incluído pela Circular nº 3.949, de 25.06.2019)
Art. 163. As solicitações de autorização para uso de abordagem IRB serão submetidas a processo de seleção e priorização pelo Desup.
Parágrafo único. No processo de seleção e priorização de que trata o caput serão levados em consideração os seguintes critérios:
I - completude e adequação dos documentos mencionados no art. 162, § 3º, aos requisitos estabelecidos nesta Circular;
II - histórico da instituição quanto às avaliações de riscos e controles, à solidez econômico-financeira, à transparência no relacionamento, à adequação às normas e ao atendimento tempestivo das determinações;
III - grau de desenvolvimento da estrutura de gerenciamento do risco de crédito, da estimação dos parâmetros de risco e dos sistemas internos de classificação do risco de crédito;
IV - participação relativa do valor da parcela RWACIRB da instituição em relação ao montante RWA agregado do SFN;
V - montante dos ativos da instituição; e
VI - data da solicitação da autorização.
Art. 164. Durante o processo de análise pelo Desup da solicitação para uso de abordagem IRB, a instituição deve:
I - fornecer tempestivamente qualquer informação adicional;
II - informar, na forma a ser estabelecida pelo Desup, o valor mensal da parcela RWACIRB calculado por meio da abordagem IRB pleiteada; e
III - viabilizar o acesso a pessoas, documentos e sistemas envolvidos no desenvolvimento e utilização da abordagem IRB pleiteada.
Art. 165. A utilização de abordagem IRB e a estimação dos valores dos parâmetros de risco para o cálculo da parcela RWACIRB deverão ocorrer somente para os portfólios expressamente autorizados pelo Desup e após a data estipulada na respectiva autorização.
Parágrafo único. A autorização de que trata o caput não fica vinculada a categorias de exposição ou a unidades de negócio, podendo estar restrita a produtos ou a outro critério estabelecido pelo Desup. (Nota: Incluído pela Circular nº 3.949, de 25.06.2019)
Art. 166. As alterações relevantes mencionadas no art. 148, bem como a alteração de abordagem cujo uso foi previamente autorizado, estão sujeitas a autorização prévia do Desup.
CAPÍTULO III
DO PERÍODO DE PROGRESSÃO
Art. 167. (Nota: Revogado pela Circular nº 3.673, de 31.10.2013)
TÍTULO XI
DA DIVULGAÇÃO DE INFORMAÇÕES
CAPÍTULO I
DAS INFORMAÇÕES GERAIS
Art. 168. Devem ser evidenciadas em relatório de acesso público as seguintes informações:
I - categorias, subcategorias, portfólios e unidades de negócio sujeitas às abordagens IRB utilizadas;
II - níveis de risco relativos aos principais portfólios sujeitos às abordagens IRB;
III - descrição de estimações internas para outros fins não relacionados à apuração dos requerimentos mínimos de PR, de Nível I e de Capital Principal; (Nota: Redação dada pela Circular nº 3.673, de 31.10.2013)
IV - descrição do processo de gerenciamento e reconhecimento de mitigadores do risco de crédito; e
V - mecanismos de controle das abordagens IRB utilizadas, incluindo aspectos relativos à independência, atribuições de responsabilidade e procedimentos de revisões dos sistemas e modelos.
Art. 169. O relatório de que trata o art. 168 deve conter descrição sucinta das principais metodologias utilizadas para classificar o risco de crédito das exposições classificadas nas categorias "entidades soberanas", "instituições bancárias", "atacado", "participações societárias" e "varejo".
§ 1º A descrição de que trata o caput deve abranger as subcategorias "SME", "financiamentos especializados", da categoria "atacado", os recebíveis financeiros de atacado e as subcategorias "residencial", "crédito rotativo de varejo qualificado" e "demais exposições de varejo", da categoria "varejo".
§ 2º Para cada uma das categorias e subcategorias mencionadas no § 1º, a descrição de que trata o caput deve incluir, no mínimo:
I - natureza das operações nelas incluídas;
II - definições, métodos e outras informações relevantes utilizadas na estimação de valores e validação dos parâmetros PD, LGD e EAD, conforme a abordagem IRB utilizada;
III - desvios máximos tolerados, mencionados no art. 147, § 3º;
IV - valores das exposições contingentes e das estimativas do valor do parâmetro EAD, no caso de utilização da abordagem IRB avançada;
V - valores relativos a perdas ocorridas no período anterior à divulgação, incluindo a comparação com a experiência de perdas passadas e a análise dos fatores que afetaram as perdas; e
VI - análise comparativa entre as estimativas dos valores dos parâmetros PD, LGD, EAD e do montante de perda esperada EL e os respectivos valores efetivamente realizados, considerando um período histórico suficientemente longo.
Art. 170. Deve ser definido um número adequado de faixas do parâmetro PD em cada categoria e subcategoria mencionada no art. 169, e informado, no mínimo, por cada faixa definida do parâmetro PD:
I - o valor total das exposições, considerando para tal:
a) o montante dos saldos contábeis das exposições classificadas na categoria "participações societárias"; e
b) a soma do saldo sacado com o total de exposições contingentes;
II - a média do valor do fator K ponderada pelo valor de cada exposição pertencente à faixa; e
III - o valor percentual médio do parâmetro LGD ponderado pelo valor de cada exposição pertencente à faixa, no caso de utilização da abordagem IRB avançada.
Parágrafo único. As informações de que trata o art. 169 referentes à categoria "varejo" e suas subcategorias devem ser divulgadas com a seguinte segregação:
I - por grupos homogêneos de risco; ou
II - por faixas de perdas esperadas definidas em cada subcategoria.
Art. 171. A instituição que também empregue o tratamento estabelecido na Circular nº 3.644, de 2013, deve divulgar adicionalmente descrição dos portfólios em cada categoria ou subcategoria de exposição que estão sujeitos às seguintes abordagens:
I - tratamento estabelecido na Circular nº 3.644, de 2013;
II - abordagem IRB básica; e
III - abordagem IRB avançada.
Art. 172. Para as exposições classificadas na subcategoria "financiamentos especializados" sujeitas aos critérios de ponderação divulgados pelo Banco Central do Brasil ou aquelas pertencentes à categoria "participações societárias" sujeitas à abordagem simplificada, deve ser divulgado o valor total relativo:
I - às exposições que recebem ponderação de 300% (trezentos por cento), definidas no art. 50;
II - às exposições que recebem ponderação de 400% (quatrocentos por cento) definidas no art. 50; e
III- a cada ponderação associada às categorias definidas no art. 40, §§ 2º e 3º.
CAPÍTULO II
DAS INFORMAÇÕES SOBRE MITIGADORES DO RISCO DE CRÉDITO
Art. 173. O relatório de que trata o art. 168 deve conter as seguintes informações qualitativas sobre os instrumentos de mitigação do risco de crédito associados a exposições sujeitas a abordagens IRB:
I - descrição das políticas e do grau de uso, tanto para exposições contingentes como para exposições efetivas, na hipótese de emprego de acordos de compensação e liquidação de obrigações; e
II - descrição dos principais tipos de colateral utilizados.
Art. 174. Para cada uma das categorias e subcategorias sujeitas a abordagem IRB, as seguintes informações quantitativas deverão ser disponibilizadas:
I - valor total líquido dos efeitos dos acordos de compensação após a aplicação dos fatores de ajuste padronizados das exposições associadas a colaterais financeiros e a outros colaterais; e
II - valor total líquido dos efeitos dos acordos de compensação das exposições cobertas por garantias fidejussórias ou derivativos de crédito.
Parágrafo único. As exposições sujeitas às abordagens IRB não estão sujeitas ao disposto no art. 7º, inciso II, da Circular nº 3.477, de 2009.
CAPÍTULO III
DAS INFORMAÇÕES SOBRE RISCO DE CRÉDITO DE CONTRAPARTE
Art. 175. O relatório de que trata o art. 168 deve descrever as políticas de identificação, tratamento e gestão de capital, conforme dispõe a Resolução nº 3.988, de 2011, para as operações sujeitas ao risco de crédito de contraparte, no caso de existência de correlação positiva entre:
I - a probabilidade de descumprimento da contraparte e variações de mercado; e
II - a probabilidade de descumprimento de uma contraparte e o valor da exposição a essa mesma contraparte, devido às características próprias da operação.
CAPÍTULO IV
DAS INFORMAÇÕES ADICIONAIS
Art. 176. A instituição deve divulgar informações adicionais que julgue relevantes, de forma a assegurar:
I - apropriada transparência da gestão e mensuração do risco de crédito;
II - adequação do PR aos riscos incorridos; e
III - adequação da abordagem IRB utilizada ao perfil atual do risco de crédito.
§ 1º As informações relativas à abordagem IRB utilizada devem incluir qualquer alteração relevante envolvendo aspectos quantitativos desde a última divulgação.
§ 2º O Desup poderá determinar a divulgação de informações adicionais às previstas nesta Circular em relação à abordagem IRB utilizada.
CAPÍTULO V
DA PERIODICIDADE DAS INFORMAÇÕES
Art. 177. As informações de natureza qualitativa de que tratam os arts. 168 a 176 devem ser atualizadas com periodicidade mínima anual.
Parágrafo único. As informações de natureza qualitativa relativas a alteração relevante na abordagem IRB utilizada devem ser divulgadas até 90 (noventa) dias depois da autorização para sua utilização.
Art. 178. As informações de natureza quantitativa de que tratam os arts. 168 a 176 devem ser atualizadas com periodicidade trimestral, relativamente às datas-base de 31 de março, 30 de junho, 30 de setembro e 31 de dezembro.
Parágrafo único. A atualização das informações deve ocorrer no prazo máximo de 60 (sessenta) dias a partir das datas-base de 31 de março, 30 de junho e 30 de setembro, e de 90 (noventa) dias a partir da data-base de 31 de dezembro.
Art. 179. As informações de que tratam os arts. 168 a 172 devem estar disponíveis em um único local, de acesso público e de fácil localização, preferencialmente no sítio da instituição na internet.
§ 1º A disponibilidade de que trata o caput aplica-se às informações relativas ao ano corrente e, no mínimo, aos 5 (cinco) últimos anos.
§ 2º As informações relativas aos 5 (cinco) últimos anos devem ser acompanhadas de avaliação comparativa e de explicação para as variações relevantes ocorridas.
§ 3º As informações devem estar disponíveis juntamente com as relativas à estrutura de gestão de risco, de acordo com o disposto nas Resoluções ns. 3.380, de 29 de junho de 2006, 3.464, de 26 de junho de 2007, e 3.721, de 2009.
§ 4º A informação sobre o local em que estiverem disponíveis as informações de que trata o caput deve ser publicada em conjunto com as demonstrações contábeis.
Art. 180. Após a autorização de que trata o art. 2º, as informações de que tratam os arts. 168 a 176 devem estar disponíveis juntamente com aquelas previstas na Circular nº 3.477, de 2009.
CAPÍTULO VI
DAS DISPOSIÇÕES FINAIS
Art. 181. O diretor indicado nos termos do art. 12 da Resolução nº 3.721, de 2009, é responsável pelas informações de que trata o art. 168.
Art. 182. Esta Circular entra em vigor em 1º de outubro de 2013.
Art. 183. Fica revogada, a partir de 1º de outubro de 2013, a Circular nº 3.581, de 8 de março de 2012.
Luiz Awazu Pereira da Silva
Diretor de Regulação do Sistema Financeiro
Anthero de Moraes Meirelles
Diretor de Fiscalização
(DOU de 08.03.2013 - págs. 25 a 44 - Seção 1)
Critérios de classificação de risco de financiamentos especializados do tipo "financiamento de projeto"
Aspecto I - Solidez financeira do projeto
|
Critérios
|
Requisitos a serem atendidos para o grau de avaliação
|
|||
|
Forte
|
Bom
|
Satisfatório
|
Fraco
|
|
|
Condições de mercado.
|
A demanda é forte e crescente.
O projeto tem poucos competidores ou apresenta vantagem comparativa substancial e durável em relação a itens como localização, custo ou tecnologia.
|
A demanda é forte e estável.
O projeto tem poucos competidores ou apresenta vantagem comparativa ocasional em relação a itens como localização, custo ou tecnologia.
|
A demanda é adequada e estável.
O projeto não apresenta vantagem comparativa em relação a itens como localização, custo ou tecnologia.
|
A demanda é fraca e decrescente.
O projeto apresenta desvantagem comparativa em relação a itens como localização, custo ou tecnologia.
|
|
Indicadores financeiros (cobertura do serviço da dívida, cobertura da extensão do empréstimo, cobertura da extensão do projeto, razão entre dívida e valor do projeto).
|
Os indicadores financeiros são sólidos, considerando o nível de risco do projeto, As premissas econômicas são muito robustas.
|
Os indicadores financeiros variam entre sólidos e bons, considerando o nível de risco do projeto.
As premissas econômicas são robustas.
|
Os indicadores financeiros são medianos, considerando o nível de risco do projeto.
|
Os indicadores financeiros são frágeis, considerando o nível de risco do projeto.
|
|
Análise de estresse.
|
O projeto tem condições de honrar suas obrigações financeiras, mesmo diante de persistente e severo cenário de estresse econômico ou setorial.
|
O projeto tem condições de honrar suas obrigações financeiras diante de cenário normal de estresse econômico ou setorial.
A possibilidade de seu descumprimento está associada à ocorrência de condições econômicas severamente adversas.
|
O projeto é vulne rável a cenário de estresse usual ao longo de um ciclo econômico.
A possibilidade de seu descumprimento está associada a condições adversas usuais.
|
O projeto tem elevada probabilidade de entrar em descumprimento, caso as condições econômicas ou setoriais não melhorem rapidamente.
|
Aspecto II - Estrutura financeira do projeto
|
Critérios
|
Requisitos a serem atendidos para o grau de avaliação
|
|||
|
Forte
|
Bom
|
Satisfatório
|
Fraco
|
|
|
Duração (duration) do crédito comparada à duração do projeto.
|
A vida útil do projeto excede bastante a duração do seu financiamento.
|
A vida útil do projeto excede a duração do seu financiamento.
|
A vida útil do projeto excede a duração do seu financiamento.
|
A vida útil do projeto pode não exceder a duração do seu financiamento.
|
|
Forma de amortizações.
|
A dívida é continuamente amortizada.
|
A dívida é continuamente amortizada.
|
Grande parte da dívida é amortizada continuamente e pequena parte é amortizada somente no vencimento.
|
Pequena parte da dívida é amortizada continuamente e grande parte é amortizada somente no vencimento.
|
Aspecto III - Ambiente político e legal
|
Critérios
|
Requisitos a serem atendidos para o grau de avaliação
|
|||
|
Forte
|
Bom
|
Satisfatório
|
Fraco
|
|
|
Risco político, incluindo o risco de transferência, considerando o plano de negócios e os mitigadores.
|
A exposição ao risco é muito baixa.
Há instrumentos mitigadores muito eficazes, caso necessário.
|
A exposição ao risco é baixa.
Há instrumentos mitigadores satisfatórios, caso necessário.
|
A exposição ao risco é moderada.
Há alguns instrumentos mitigadores de eficácia moderada.
|
A exposição ao risco é alta.
Os instrumentos de mitigação são fracos ou inexistentes.
|
|
Risco de força maior (guerra, convulsões sociais, etc).
|
A exposição ao risco é muito baixa.
|
A exposição ao risco é baixa.
|
A proteção é considerada padrão.
|
Os riscos são significativos e não totalmente mitigados.
|
|
Apoio governamental e importância do projeto para o país no longo prazo.
|
O projeto tem importância estratégica para o país (preferentemente voltado à exportação).
Há forte apoio governamental.
|
O projeto é importante para o país.
Há bom apoio governamental.
|
O projeto não é estratégico, mas traz benefícios inquestionáveis para o país.
O apoio governamental pode não ser explícito.
|
O projeto não é essencial para o país.
Há pouco ou nenhum apoio governamental.
|
|
Estabilidade legal e regulatória (risco de mudanças na lei).
|
O ambiente regulatório é favorável e estável no longo prazo.
|
O ambiente regulatório é favorável e estável no médio prazo.
|
Mudanças regulatórias podem ser previstas com razoável grau de certeza.
|
Questões regulatórias atuais ou futuras podem afetar o projeto.
|
|
Obtenção do apoio necessário e da aprovação de leis locais de interesse do projeto.
|
Há plena certeza quanto à obtenção de apoio e da aprovação de leis locais.
|
Há certeza limitada quanto à obtenção de apoio e à aprovação de leis locais.
|
Há certeza limitada quanto à obtenção de apoio e à aprovação de leis locais.
|
Há amplas dúvidas quanto à obtenção de apoio e à aprovação de leis locais.
|
|
Grau de amparo legal dos contratos, garantias e títulos.
|
Os contratos, garantias e títulos têm amplo amparo legal.
|
Os contratos, garantias e títulos têm amplo amparo legal.
|
Contratos, garantias e títulos têm amparo legal, mesmo existindo certos elementos não essenciais.
|
Há elementos essenciais que geram incerteza quanto ao amparo legal de contratos, garantias e títulos.
|
Aspecto IV - Características das transações
|
Critérios
|
Requisitos a serem atendidos para o grau de avaliação
|
|||
|
Forte
|
Bom
|
Satisfatório
|
Fraco
|
|
|
Risco de design e tecnologia.
|
O design e a tecnologia do projeto têm ampla aprovação.
|
O design e a tecnologia do projeto têm ampla aprovação.
|
O design e a tecnologia do projeto são aprovados.
Os problemas iniciais são mitigados por suporte técnico robusto.
|
O design e a tecnologia não foram testados.
Há problemas relativos à tecnologia ou o design é complexo.
|
|
Autorizações e alvarás.
|
Todas as autorizações ou alvarás foram obtidos.
|
Algumas autorizações ou alvarás estão pendentes, mas sua obtenção é provável.
|
Algumas autorizações ou alvarás estão pendentes, mas o processo de obtenção é bem estabelecido e rotineiro.
|
Faltam algumas autorizações ou alvarás essenciais para o funcionamento do projeto e sua obtenção não é rotineira.
Poderão ser impostas condições adicionais.
|
|
Tipo do contrato de construção.
|
O contrato é de empreitada única, com preços fixos e data de entrega fixa.
Todas as compras de materiais são de responsabilidade do empreiteiro.
|
O contrato é de empreitada única, com preços fixos e data de entrega fixa.
Todas as compras de materiais são de responsabilidade do empreiteiro.
|
O contrato é de uma ou mais empreitadas, com preços fixos e data de entrega fixa.
Compras de materiais podem não ser de responsabilidade do empreiteiro.
|
Os preços são livre ou parcialmente fixados.
Há interrelação entres os diversos prestadores de serviço.
|
|
Garantias de término da obra.
|
A solidez financeira do projeto suporta custos elevados de liquidação por não cumprimento da obra.
A garantia do término da obra é sólida e prestada por patrocinador com excelente histórico de crédito.
|
A solidez financeira do projeto suporta custos significativos de liquidação por não cumprimento da obra.
A garantia de término da obra é prestada por patrocinadores com bom histórico de crédito.
|
A solidez financeira do projeto suporta adequadamente os custos de liquidação por não cumprimento da obra.
A garantia de término da obra é prestada por patrocinadores com bom histórico de crédito.
|
A solidez financeira do projeto não suporta adequadamente os custos de liquidação por não cumprimento da obra.
A garantia de término da obra é prestada por patrocinadores com histórico de crédito deficiente.
|
|
Experiência anterior e capacidade financeira do empreiteiro na execução de projetos similares.
|
O empreiteiro tem experiência anterior e capacidade financeira comprovadas.
|
O empreiteiro tem experiência anterior e capacidade financeira comprovadas.
|
Há limitação na experiência anterior ou capacidade financeira do empreiteiro.
|
Não há evidência da experiência anterior ou da capacidade financeira do empreiteiro.
|
|
Alcance e natureza dos contratos de Operação e Manutenção (O&M).
|
Há contrato de longo prazo bem estruturado para O&M, preferencialmente contemplando incentivos de desempenho.
Há contas de reserva para O&M.
|
Há contrato de longo prazo para O&M.
Há contas de reserva para O&M.
|
Há contrato com prazo limitado para O&M.
Há conta de reserva para O&M.
|
Não há contrato para O&M.
Há risco de os altos custos operacionais excederem a cobertura dos mitigadores.
|
|
Capacidade técnica, histórico e capacidade financeira do operador do projeto
|
Muito forte.
Há total compromisso de assistência técnica dos patrocinadores.
|
Forte.
Há compromisso limitado de assistência técnica dos operadores
|
Razoável.
Não há registro da capacidade dos operadores para assistência técnica.
|
Limitada ou fraca.
O operador depende das autoridades locais.
|
|
Contrato de compra garantida com preço fixo ou cláusula de "consumo ou pagamento".
|
O comprador contratual tem excelente histórico de crédito.
As cláusulas de cancelamento contratual são muito bem definidas e o prazo do contrato excede com folga o de vencimento da dívida.
|
O comprador contratual tem bom histórico de crédito.
As cláusulas de cancelamento contratual são muito bem definidas e o prazo do contrato excede o de vencimento da dívida.
|
O comprador contratual tem histórico de crédito razoável.
As cláusulas de cancelamento contratual são usuais e o prazo do contrato iguala o de vencimento da dívida.
|
O comprador contratual tem histórico de crédito deficiente.
As cláusulas de cancelamento contratual são fracas e o prazo do contrato é menor do que o de vencimento da dívida.
|
|
Contrato de compra garantida sem preço fixo ou sem cláusula de "consumo ou pagamento".
|
O projeto produz serviços essenciais ou commodity largamente vendida em escala mundial.
A produção é prontamente absorvível aos preços projetados, mesmo com taxas de crescimento do mercado abaixo das históricas.
|
O projeto produz serviços essenciais ou commodity largamente vendida em escala regional.
A produção é regionalmente absorvível aos preços projetados, dadas as taxas históricas de crescimento do mercado.
|
A commodity é vendida em um mercado limitado, que pode absorver a produção somente a preços abaixo do projetado.
|
A produção estimada é demandada por apenas um comprador ou poucos compradores, ou não é costumeiramente vendida em mercados organizados.
|
|
Preço, volume e risco de transporte de insumos básicos.
Histórico e capacidade financeira do fornecedor.
|
O contrato de fornecimento é de longo prazo e o fornecedor tem excelente capacidade financeira.
|
O contrato de fornecimento é de longo prazo e o fornecedor tem boa capacidade financeira.
|
O contrato de fornecimento é de longo prazo e o fornecedor tem boa capacidade financeira, embora com algum risco de variação do preço.
|
O contrato de fornecimento é de curto prazo ou o contrato de fornecimento é de longo prazo, mas com fornecedor de baixa capacidade financeira.
Há alto risco de variação do preço.
|
|
Risco de insumos.
|
Há reservas de insumo independentemente auditadas, confirmadas e operadas, excedendo amplamente o prazo de vencimento do projeto.
|
Há reservas de insumo independentemente auditadas, confirmadas e operadas, excedendo o tempo de vida do projeto.
|
As reservas de insumos comprovadas são suficientes até o vencimento da dívida.
|
O projeto depende, em algum grau, de reservas de insumos não comprovadas ou não exploradas.
|
Aspecto V - Solidez da empresa líder do projeto
|
Critérios
|
Requisitos a serem atendidos para o grau de avaliação
|
|||
|
Forte
|
Bom
|
Satisfatório
|
Fraco
|
|
|
Histórico e capacidade financeira ou reputação do patrocinador do projeto.
|
O patrocinador do projeto tem excelente histórico e elevada solidez financeira.
|
O patrocinador do projeto tem bom histórico e boa solidez financeira.
|
O patrocinador do projeto tem histórico adequado e boa solidez financeira.
|
O patrocinador do projeto é deficiente em termos de histórico e de solidez financeira.
|
|
Capacidade de suporte ao projeto pelo patrocinador, evidenciado por capital próprio, grau de controle acionário e incentivo para injeção de recursos adicionais, quando necessário.
|
O projeto é altamente estratégico para o patrocinador, considerando sua área principal de atuação e sua estratégia de longo prazo.
|
O projeto é estratégico para o patrocinador, considerando sua área principal de atuação e sua estratégia de longo prazo.
|
O projeto é importante para o patrocinador, considerando sua área principal de atuação.
|
O projeto não é essencial para a estratégia de longo prazo do patrocinador ou para sua área principal de atuação.
|
Aspecto VI - Estrutura das garantias
|
Critérios
|
Requisitos a serem atendidos para o grau de avaliação
|
|||
|
Forte
|
Bom
|
Satisfatório
|
Fraco
|
|
|
Abrangência de contratos e registros contábeis.
|
Os contratos e registros contábeis são totalmente abrangentes.
|
Os contratos e registros contábeis são totalmente abrangentes.
|
Há lacunas na abrangência dos contratos, as quais não comprometem a execução do projeto.
Os registros contábeis são abrangentes.
|
Há lacunas graves na abrangência dos contratos e deficiências nos registros contábeis.
|
|
Empenho de ativos, considerando sua qualidade, valor e liquidez.
|
Há total certeza quanto à capacidade de apropriação dos ativos dados em garantia, inclusive a prevalência sobre qualquer terceiro relativa a contratos, ativos e contas necessários ao funcionamento do projeto.
|
Há robusta certeza quanto à capacidade de apropriação dos ativos dados em garantia, inclusive a prevalência sobre a maior parte de terceiros, relativa a contratos, ativos e contas necessários ao funcionamento do projeto.
|
Há aceitável certeza quanto à capacidade de apropriação dos ativos dados em garantia, inclusive a prevalência sobre parte relevante de terceiros, relativa a contratos, ativos ou contas necessários ao funcionamento do projeto.
|
Há poucas garantias reais ou fiduciárias.
As cláusulas contratuais não são capazes de evitar inequivocamente que o tomador contraia nova dívida que possa colocar em risco o pagamento das obrigações relativas ao projeto.
|
|
Controle do emprestador sobre os fluxos de caixa do projeto (retiradas de recursos, contas vinculadas independentes, etc).
|
O emprestador tem total controle sobre os fluxos de caixa do projeto.
|
O emprestador tem controle limitado sobre os fluxos de caixa do projeto.
|
O emprestador tem controle limitado sobre os fluxos de caixa do projeto.
|
O emprestador não tem controle sobre os fluxos de caixa do projeto.
|
|
Poder vinculante das cláusulas contratuais (prépagamentos obrigatórios, postergação de pagamentos, restrição de dividendos etc).
|
A vinculação é robusta para o tipo de projeto.
O projeto está impedido de contrair nova dívida.
|
A vinculação é satisfatória para o tipo de projeto.
O projeto somente pode contrair nova dívida sob condições muito restritas.
|
A vinculação é razoável para o tipo de projeto.
O projeto somente pode contrair nova dívida em condições restritas.
|
A vinculação é insuficiente para o tipo de projeto.
Não há restrição a que o projeto contraia nova dívida.
|
|
Fundos de reserva (destinados ao serviço da dívida, operação & manutenção, reforma, mudança, eventos fortuitos, etc).
|
O período de cobertura dos fundos de reserva é maior do que a média.
Os fundos são constituídos em moeda ou carta de crédito provida por banco com excelente classificação de crédito.
|
O período de cobertura dos fundos de reserva corresponde à média.
Os recursos dos fundos de reserva são integralizados.
|
O período de cobertura dos fundos de reserva corresponde à média.
Os recursos dos fundos de reserva são integralizados.
|
O período de cobertura dos fundos de reserva é inferior à média.
Os recursos dos fundos de reserva dependem das receitas operacionais.
|
|
Presença de SPE.
|
Presença de SPE desde a fase préoperacional do projeto.
|
Presença de SPE desde a fase operacional do projeto.
|
Ausência de SPE, mas inclusão de outras cláusulas que garantam a separação do patrimônio do projeto e o do patrocinador (patrimônio de afetação, por exemplo).
|
Ausência de SPE, bem como de outras cláusulas que garantam a separação do patrimônio do projeto e o do patrocinador (patrimônio de afetação, por exemplo).
|
ANEXO II
Aspecto I - Solidez financeira do empreendimento
|
Critérios
|
Requisitos a serem atendidos para o grau de avaliação
|
|||
|
Forte
|
Bom
|
Satisfatório
|
Fraco
|
|
|
Condições de mercado.
|
Há bom equilíbrio entre oferta e demanda para o tipo e localização do empreendimento.
A quantidade de empreendimentos competidores é igual ou menor do que a demanda prevista.
|
Há bom equilíbrio entre oferta e demanda para o tipo e localização do empreendimento.
A quantidade de empreendimentos competidores é próxima da demanda prevista.
|
Há equilíbrio precário entre oferta e demanda para o tipo e localização do empreendimento.
Há oferta de empreendimentos competidores e outros estão em planejamento.
A configuração e a funcionalidade do empreendimento podem ser inferiores às de novos competidores.
|
As condições de mercado são fracas e há incerteza quanto à sua melhora e ao retorno ao equilíbrio.
O empreendimento perde inquilinos no vencimento dos contratos.
Os termos das novas locações são menos favoráveis se comparados aos das expiradas.
|
|
Indicadores financeiros (cobertura do serviço da dívida, cobertura da extensão do empréstimo, cobertura da extensão do empreendimento, razão entre dívida e valor do empreendimento).
|
O indicador de cobertura do serviço da dívida é forte e a razão entre dívida e valor do empreendimento é baixa, dado o tipo do imóvel.
Caso exista mercado secundário, a transação é padronizada.
|
O indicador de cobertura do serviço da dívida e a razão entre dívida e valor do empreendimento são satisfatórios.
Caso exista mercado secundário, a transação é padronizada.
|
O indicador de cobertura do serviço da dívida é declinante e a razão entre dívida e valor do empreendimento é crescente.
|
Há significativo declínio do indicador de cobertura do serviço da dívida e a razão entre dívida e valor do empreendimento está bem abaixo do padrão para novos financiamentos.
|
|
Análise de estresse.
|
Os recursos do empreendimento, incluindo os recursos contingentes, e sua estrutura de passivos permitem honrar as suas obrigações financeiras, mesmo diante de severo cenário de estresse econômico (como altas taxas de juros e baixo crescimento).
|
O empreendimento é capaz de honrar suas obrigações financeiras diante de cenário normal de estresse econômico.
O descumprimento é provável apenas diante de condições econômicas severamente adversas.
|
Diante de condições econômicas adversas, o declínio nas receitas do empreendimento comprometeria sua capacidade de custear gastos, aumentando significativamente o risco de descumprimento.
|
A situação financeira do empreendimento é tensionada.
Há elevado risco de descumprimento, caso as condições econômicas ou setoriais não apresentem rápida melhora.
|
|
Previsibilidade do fluxo de caixa para imóveis concluídos e estabilizados.
|
Os contratos são de longo prazo, com inquilinos solventes e dispersão das datas de vencimento.
Há histórico de permanência dos inquilinos ao final do contrato e a taxa de desocupação é baixa.
As despesas com manutenção, segurança, seguros e impostos são previsíveis.
|
A maioria dos contratos é de longo prazo, com inquilinos com grau de solvência variável.
A rotatividade dos inquilinos ao final do contrato é normal e a taxa de desocupação é baixa.
As despesas são previsíveis.
|
A maioria dos contratos é de médio prazo, com inquilinos com grau de solvência variável.
A rotatividade dos inquilinos ao final do contrato e a taxa de desocupação são moderadas.
As despesas são relativamente previsíveis, mas variam em relação às receitas.
|
Os contratos têm prazos variáveis e os inquilinos têm grau de solvência variável.
A rotatividade dos inquilinos ao final do contrato é elevada e a taxa de desocupação é alta.
Há despesas elevadas para preparar o lugar para novos inquilinos.
|
|
não estabilizados.
|
As locações e seus valores se igualam ou excedem as projeções.
O empreendimento deve alcançar a estabilização em futuro próximo.
|
As locações e seus valores se igualam ou excedem as projeções.
O empreendimento deve alcançar a estabilização em futuro próximo.
|
As locações e seus valores atingem as projeções.
O empreendimento não deve alcançar a estabilização em um futuro próximo.
|
As locações e seus valores são inferiores às projeções.
Mesmo sendo atingida a taxa de ocupação projetada, o fluxo de caixa é restrito devido à receita reduzida.
|
|
Previsibilidade do fluxo de caixa para a fase de construção.
|
O imóvel foi prévia e inteiramente alugado até o vencimento do financiamento ou previamente vendido a comprador classificado como grau de investimento ou a instituição tem um compromisso firme de instituição classificada como grau de investimento para o financiamento da fase de comercialização do empreendimento.
|
O imóvel foi prévia e inteiramente alugado ou vendido a inquilino ou comprador com bom histórico de crédito, ou a instituição tem compromisso firme para financiamento por emprestador com bom histórico de crédito.
|
As locações e seus valores atingem as projeções, mas o imóvel pode não estar previamente alugado e pode não haver financiamento para comercialização.
A própria instituição é o único financiador de todas as fases do empreendimento.
|
O imóvel sofre deterioração devido a custos excessivos, piora das condições de mercado, cancelamento de aluguéis ou outros fatores.
Pode haver litígio com a instituição responsável pelo financiamento da fase de comercialização do empreendimento.
|
Aspecto II - Características dos ativos
|
Critérios
|
Requisitos a serem atendidos para o grau de avaliação
|
|||
|
Forte
|
Bom
|
Satisfatório
|
Fraco
|
|
|
Localização.
|
O imóvel está situado em local altamente desejável e conveniente para os serviços demandados pelos inquilinos.
|
O imóvel está situado em local desejável e conveniente para os serviços demandados pelos inquilinos.
|
A localização do imóvel não constitui vantagem comparativa.
|
A localização, configuração ou manutenção do imóvel acarretam dificuldades para o empreendimento.
|
|
Configuração e condição.
|
O imóvel é favorecido em razão do seu projeto, configuração e manutenção.
O imóvel é altamente competitivo em relação a novos empreendimentos.
|
O projeto, configuração e manutenção do imóvel mostram-se adequados.
O imóvel é competitivo em relação a novos empreendimentos.
|
O projeto, configuração e manutenção do imóvel mostram-se adequados.
|
Há deficiências no projeto, configuração ou manutenção do imóvel.
|
|
Imóvel em construção.
|
O orçamento da construção é conservador e os riscos técnicos são limitados.
Os executantes são altamente qualificados.
|
O orçamento da construção é conservador e os riscos técnicos são limitados.
Os executantes são altamente qualificados.
|
O orçamento da construção é adequado e os executantes têm qualificação mediana.
|
O projeto extrapola o orçamento ou é irreal em decorrência de seus riscos técnicos.
Os executantes têm qualificação insuficiente.
|
Aspecto III - Solidez da empresa líder do empreendimento
|
Critérios
|
Requisitos a serem atendidos para o grau de avaliação
|
|||
|
Forte
|
Bom
|
Satisfatório
|
Fraco
|
|
|
Capacidade financeira e disposição para apoiar o empreendimento.
|
O patrocinador/incorporador empregou substanciais recursos financeiros na construção ou aquisição do empreendimento.
O patrocinador /incorporador possui substanciais recursos, e seus passivos direto e contingente são limitados.
Os imóveis do patrocinador /incorporador têm diversificação geográfica e de natureza.
|
O patrocinador /incorporador empregou recursos financeiros na construção ou aquisição do empreendimento.
O incorporador /empreendedor possui recursos suficientes para sustentar o empreendimento no evento de déficit no fluxo de caixa do mesmo.
Os empreendimentos do incorporador /empreendedor são diversificados apenas em termos geográficos.
|
A contribuição do patrocinador/incorporador pode ser irrelevante ou não financeira.
Os recursos do patrocinador /incorporador são módicos.
|
O patrocinador /incorporador não tem capacidade ou interesse em sustentar o empreendimento.
|
|
Reputação e histórico com empreendimentos similares.
|
A gerência é experiente e os patrocinadores têm alta qualificação.
Sua reputação é elevada, com histórico longo de sucesso em empreendimentos similares.
|
A qualificação da gerência e dos patrocinadores é apropriada, com histórico de sucesso em empreendimentos similares.
|
A qualificação da gerência e dos patrocinadores é mediana.
Seu histórico não é causa de maiores preocupações.
|
A gerência é ineficiente e a qualificação dos patrocinadores é deficiente.
Há histórico de dificuldades da gerência e patrocinadores em conduzir empreendimentos similares.
|
|
Relacionamento com os principais participantes do mercado imobiliário.
|
O relacionamento é robusto com os principais agentes do mercado de aluguel.
|
O relacionamento é bom com os principais agentes do mercado de aluguel.
|
Relações adequadas com os principais corretores do mercado de aluguel e outros provedores de serviços imobiliários.
|
O relacionamento é precário com os principais agentes do mercado de aluguel ou outros provedores de serviços imobiliários.
|
Aspecto IV - Estrutura das garantias
|
Critérios
|
Requisitos a serem atendidos para o grau de avaliação
|
|||
|
Forte
|
Bom
|
Satisfatório
|
Fraco
|
|
|
Grau de exequibilidade das garantias.
|
As garantias têm o maior grau de subordinação possível e prioridade em relação a outros credores.
|
As garantias têm o maior grau de subordinação possível e prioridade em relação a outros credores.
|
As garantias têm o maior grau de subordinação possível e prioridade em relação a outros credores.
|
Há restrições à capacidade de execução do colateral.
|
|
Apropriação dos aluguéis.
|
Os aluguéis estão comprometidos à instituição.
As informações sobre os inquilinos são atualizadas, de modo a permitir o pagamento direto e ininterrupto.
|
Os aluguéis estão comprometidos à instituição.
As informações sobre os inquilinos são atualizadas, de modo a permitir o pagamento direto e ininterrupto.
|
Os aluguéis estão comprometidos à instituição.
As informações sobre os inquilinos são atualizadas, de modo a permitir o pagamento direto e ininterrupto.
|
Os aluguéis não estão comprometidos à instituição.
As informações sobre os inquilinos não são atualizadas, o que pode comprometer o pagamento direto e ininterrupto.
|
|
Qualidade da cobertura do seguro.
|
O valor do seguro é maior ou igual ao valor da exposição e o prazo de vencimento do seguro é igual ou posterior ao prazo de vencimento da exposição.
|
O valor do seguro é maior ou igual ao valor da exposição e o prazo de vencimento do seguro é igual ou posterior ao prazo de vencimento da exposição.
|
O valor do seguro é maior ou igual ao valor da exposição e o prazo de vencimento do seguro é igual ou posterior ao prazo de vencimento da exposição.
|
O valor do seguro é inferior ao valor da exposição ou o prazo de vencimento do seguro é anterior ao prazo de vencimento da exposição.
|
ANEXO III
Aspecto I - Solidez financeira do objeto
|
Critérios
|
Requisitos a serem atendidos para o grau de avaliação
|
|||
|
Forte
|
Bom
|
Satisfatório
|
Fraco
|
|
|
Condições de mercado.
|
A demanda é forte e crescente, com grandes barreiras à entrada e baixa sensibilidade a mudanças tecnológicas e a alterações do cenário econômico.
|
A demanda é forte e estável, com moderadas barreiras à entrada e moderada sensibilidade a mudanças tecnológicas e a alterações no cenário econômico.
|
A demanda é adequada e estável, com limitadas barreiras à entrada e significativa sensibilidade a mudanças tecnológicas e a alterações no cenário econômico.
|
A demanda é fraca e declinante, com vulnerabilidade a mudanças na tecnologia e a alterações no cenário econômico.
Há alto grau de incerteza.
|
|
Indicadores financeiros.
|
Os indicadores financeiros são robustos, considerando o nível de risco do objeto, e as premissas econômicas são muito robustas.
|
Os indicadores financeiros variam entre robusto e bom, considerando o nível de risco do objeto, e as premissas econômicas são robustas.
|
Os indicadores financeiros correspondem ao padrão, considerando o nível de risco do objeto.
|
Indicadores financeiros são deficientes, considerando o nível de risco do objeto.
|
|
Análise de estresse.
|
As receitas são estáveis no longo prazo e suficientes para honrar as obrigações financeiras, mesmo diante de severo cenário de estresse ao longo de um ciclo econômico.
|
As receitas são satisfatórias no curto prazo e suficientes para honrar as obrigações financeiras diante de cenário comum de estresse econômico.
O descumprimento é provável apenas diante de condições econômicas severa mente adversas.-
|
As receitas são incertas no curto prazo e vulneráveis a cenário de estresse usual ao longo de um ciclo econômico.
O descumprimento é altamente provável em condições adversas usuais.
|
As receitas são altamente incertas.
A probabilidade de descumprimento é elevada, caso as condições econômicas não apresentem rápida melhora.
|
|
Liquidez de mercado.
|
O mercado é global e os ativos têm alta liquidez.
|
O mercado é global ou regional e os ativos são relativamente líquidos.
|
O mercado é regional e as perspectivas limitadas no curto prazo restringem a liquidez.
|
O mercado é local ou pouco relevante, e os ativos são ilíquidos ou têm baixa liquidez, especialmente em mercados setorizados.
|
Aspecto II - Ambiente político e legal
|
Critérios
|
Requisitos a serem atendidos para o grau de avaliação
|
|||
|
Forte
|
Bom
|
Satisfatório
|
Fraco
|
|
|
Risco político, incluindo risco de transferência.
|
A exposição ao risco é muito baixa e dispõe de instrumentos mitigadores muito eficientes, se necessário.
|
A exposição ao risco é baixa e dispõe de instrumentos mitigadores satisfatórios, se necessário.
|
A exposição ao risco é moderada e dispõe de instrumentos mitigadores de eficácia moderada.
|
A exposição ao risco é alta e os instrumentos mitigadores do risco são fracos ou ausentes.
|
|
Riscos legais e regulatórios.
|
A jurisdição favorece a retomada de bens e o cumprimento dos contratos.
|
A jurisdição favorece a retomada de bens e o cumprimento dos contratos.
|
A jurisdição geralmente favorece a retomada de bens e o cumprimento dos contratos, embora o processo possa ser longo ou difícil.
|
A jurisdição pode dificultar, retardar ou impossibilitar a retomada de bens ou o cumprimento de contrato.
O ambiente legal e regulatório é fraco ou instável.
|
Aspecto III - Características das transações
|
Critérios
|
Requisitos a serem atendidos para o grau de avaliação
|
|||
|
Forte
|
Bom
|
Satisfatório
|
Fraco
|
|
|
Prazo de financiamento comparado à vida econômica do ativo.
|
O fluxo de pagamentos é estável.
A amortização apenas no vencimento é reduzida.
Não há período de carência.
|
A amortização apenas no vencimento mantémse em nível satisfatório.
|
A amortização apenas no vencimento é significativa, com potenciais períodos de carência.
|
A amortização apenas no vencimento é elevada ou total.
|
Aspecto IV - Risco de operação
|
Critérios
|
Requisitos a serem atendidos para o grau de avaliação
|
|||
|
Forte
|
Bom
|
Satisfatório
|
Fraco
|
|
|
Permissões e licenças.
|
Todas as licenças foram obtidas.
Os ativos satisfazem as normas de segurança atuais e previsíveis.
|
Todas as licenças foram obtidas ou estão em processo de obtenção.
Os ativos satisfazem as normas de segurança atuais e previsíveis.
|
A maioria das licenças foi obtida ou está em processo de obtenção.
A obtenção das licenças restantes é considerada rotineira.
Os ativos satisfazem as normas de segurança atuais.
|
Há problemas para obtenção de algumas licenças.
Parte da configuração ou das operações previstas pode necessitar revisão.
|
|
Natureza e escopo dos contratos de operação e manutenção (O&M).
|
O contrato de longo prazo relativo a O&M é bem estabelecido, preferencialmente incluindo incentivos de desempenho e a utilização de contas de reserva (se preciso).
|
O contrato relativo a O&M é de longo prazo e inclui a utilização de contas de reserva (se preciso).
|
O contrato relativo a O&M tem prazo limitado ou prevê a utilização limitada de contas de reserva (se preciso).
|
Não há contrato relativo a O&M, acarretando risco de alto custo operacional e da ocorrência de custos não cobertos por mitigadores.
|
|
Capacidade financeira, experiência prévia em gerenciar o tipo de ativo e capacidade de recolocação do ativo no mercado ao término do contrato.
|
O histórico é excelente e a capacidade de recolocação do ativo no mercado é forte.
|
O histórico é satisfatório e a capacidade de recolocação do ativo no mercado é certa.
|
O histórico é fraco ou curto e há incerteza quanto à capacidade de recolocação do ativo no mercado.
|
Não há histórico nem capacidade de recolocação do ativo no mercado.
|
Aspecto V - Características dos ativos
|
Critérios
|
Requisitos a serem atendidos para o grau de avaliação
|
|||
|
Forte
|
Bom
|
Satisfatório
|
Fraco
|
|
|
Configuração, tamanho, design e manutenção comparados a outros ativos no mesmo mercado.
|
Há grande vantagem do design e da manutenção.
A configuração padronizada acarreta liquidez de mercado para o objeto.
|
O design e a manutenção superam a média.
A configuração padronizada (com possíveis exceções limitadas) acarreta liquidez de mercado para o objeto.
|
O design e a manutenção são medianos.
A configuração tem especificidades que podem acarretar um mercado mais restrito para o objeto.
|
O design e a manutenção estão abaixo da média.
O ativo encontra-se próximo ao final de sua vida econômica.
A configuração é muito específica e o mercado para o objeto é muito restrito.
|
|
Valor de revenda.
|
O valor corrente de revenda é bastante superior ao valor da dívida.
|
O valor corrente de revenda é moderadamente superior ao valor da dívida.
|
O valor corrente de revenda é ligeiramente superior ao valor da dívida.
|
O valor corrente de revenda é inferior ao valor da dívida.
|
|
Sensibilidade do valor e da liquidez do ativo aos ciclos econômicos.
|
O valor e a liquidez do ativo são relativamente insensíveis aos ciclos econômicos.
|
O valor e a liquidez do ativo são sensíveis aos ciclos econômicos.
|
O valor e a liquidez do ativo são muito sensíveis aos ciclos econômicos.
|
O valor e a liquidez do ativo são extremamente sensíveis aos ciclos econômicos.
|
Aspecto VI - Solidez da empresa financiada
|
Critérios
|
Requisitos a serem atendidos para o grau de avaliação
|
|||
|
Forte
|
Bom
|
Satisfatório
|
Fraco
|
|
|
Capacidade financeira, experiência prévia em gerenciar o tipo de ativo e capacidade de comercializar o ativo ao término do contrato.
|
O histórico é excelente e a capacidade de comercialização é grande.
|
O histórico e a capacidade de comercialização são satisfatórios.
|
O histórico é fraco ou curto e a capacidade de comercialização é incerta.
|
Não há histórico nem capacidade de comercializar o ativo.
|
|
Histórico ou reputação da empresa incorporadora e capacidade financeira.
|
O histórico e a reputação são excelentes e a solidez financeira é elevada.
|
O histórico e a reputação são bons e solidez financeira é boa.
|
O histórico e a reputação são razoáveis e a solidez financeira é boa.
|
Não há histórico ou a reputação é questionável.
Não há solidez financeira.
|
Aspecto VII - Estrutura das garantias
|
Critérios
|
Requisitos a serem atendidos para o grau de avaliação
|
|||
|
Forte
|
Bom
|
Satisfatório
|
Fraco
|
|
|
Direitos e meios à disposição do emprestador para monitorar a localização e a condição do ativo.
|
O emprestador tem capacidade irrestrita de monitorar a localização e condição do ativo (relatórios regulares, possibilidade de realizar inspeções).
|
O emprestador tem capacidade irrestrita de monitorar a localização e condição do ati-vo.
|
O emprestador tem capacidade irrestrita de moni-torar a localização e condição do ati-vo.
|
Há limitações à capacidade do empresta-dor de monitorar a localiza-ção e condição do ativo.
|
|
Seguro contra danos.
|
A cobertura de seguro é ampla, incluindo danos a terceiros, e prestada por empresas da mais alta qualidade.
|
A cobertura de seguro é satisfatória (não inclui danos a terceiros) e prestada por empresas de seguro de boa qualidade.
|
A cobertura de seguro é mediana (não inclui danos a terceiros) e prestada por empresas de seguro de qualidade aceitável.
|
A cobertura de seguro é inadequada (não inclui danos a terceiros) ou prestada por empresas de seguros de qualidade baixa.
|
ANEXO IV
Critérios de classificação de financiamentos especializados do tipo "financiamento de mercadorias transacionáveis (commodities)"
Aspecto I - Solidez financeira do projeto
|
Critérios
|
Requisitos a serem atendidos para o grau de avaliação
|
|||
|
Forte
|
Bom
|
Satisfatório
|
Fraco
|
|
|
Grau de sobrecolateralização do negócio.
|
O valor do colateral empenhado excede amplamente o valor da exposição.
|
O valor do colateral empenhado excede o valor da exposição.
|
O valor do colateral empenhado é suficiente para cobrir a exposição.
|
O valor do colateral empenhado é insuficiente para cobrir a exposição.
|
Aspecto II - Ambiente político e legal
|
Critérios
|
Requisitos a serem atendidos para o grau de avaliação
|
|||
|
Forte
|
Bom
|
Satisfatório
|
Fraco
|
|
|
Risco país.
|
Não há risco país.
|
A exposição ao risco país é limitada (em particular, reservas externas localizadas em países emergentes).
|
A exposição ao risco país é mediana (em particular, reservas externas localizadas em países emergentes).
|
A exposição ao risco país é alta (em particular, reservas domésticas em países emergentes).
|
|
Mitigação do risco país.
|
A mitigação é muito elevada, mediante mecanismos robustos para obtenção de recursos no exterior.
As mercadorias têm valor estratégico e o comprador é de excelente qualidade.
|
A mitigação é forte, mediante mecanismos para obtenção de recursos no exterior.
As mercadorias têm valor estratégico e o comprador é de elevada qualidade.
|
A mitigação é aceitável, mediante mecanismos para obtenção de recursos no exterior.
As mercadorias têm valor moderadamente estratégico e o comprador é de qualidade aceitável.
|
A mitigação é parcial e não dispõe de mecanismos para obtenção de recursos no exterior.
As mercadorias não têm valor estratégico e o comprador é de baixa qualidade.
|
Aspecto III - Características dos ativos
|
Critérios
|
Requisitos a serem atendidos para o grau de avaliação
|
|||
|
Forte
|
Bom
|
Satisfatório
|
Fraco
|
|
|
Liquidez e suscetibilidade a danos.
|
A mercadoria é cotada em mercado organizado.
É possível o hedge em mercados de futuros ou mediante instrumentos de balcão.
A mercadoria não é suscetível a danos.
|
A mercadoria é cotada em mercado organizado.
É possível o hedge mediante instrumentos de balcão.
A mercadoria não é suscetível a danos.
|
A mercadoria não é cotada em mercado organizado, mas apresenta liquidez.
A possibilidade de hedge é incerta.
A mercadoria não é suscetível a danos.
|
A mercadoria não é cotada em mercado organizado e sua liquidez é limitada, dado o tamanho do mercado.
Não é possível o hedge.
A mercadoria é suscetível a danos.
|
Aspecto IV - Solidez da empresa negociadora
|
Critérios
|
Requisitos a serem atendidos para o grau de avaliação
|
|||
|
Forte
|
Bom
|
Satisfatório
|
Fraco
|
|
|
Capacidade financeira do intermediador.
|
Muito robusta, considerados os riscos e a filosofia de negócio.
|
O intermediador apresenta capacidade financeira sustentável no longo prazo.
|
O intermediador apresenta capacidade financeira sustentável no curto prazo.
|
Não há evidências da capacidade financeira do intermediador.
|
|
Experiência prévia, incluindo a capacidade de gerenciar o processo logístico.
|
Há extensa experiência com o tipo de transação.
O histórico de sucesso nas operações e a eficiência de custo são robustos.
|
Há experiência suficiente com o tipo de transação.
O histórico de sucesso nas operações e a eficiência de custo estão acima da média.
|
Há experiência limitada com o tipo de transação.
O histórico de sucesso nas operações e eficiência de custo são medianos.
|
A experiência com o tipo de transação é limitada ou incerta.
Os custos e lucros são voláteis.
|
|
Controles da intermediação e políticas de hedging.
|
Os padrões de seleção da contraparte, de hedging e de monitoramento são rígidos.
|
Os padrões de seleção da contraparte, de hedging e de monitoramento são adequados.
|
Acordos celebrados no passado não apresentaram problemas ou os problemas ocorridos não foram significativos.
|
Acordos celebrados no passado apresentaram problemas que resultaram em perdas consideráveis.
|
|
Qualidade das informações financeiras divulgadas.
|
As informações financeiras são abrangentes e claras.
|
As informações financeiras são claras, porém não abrangentes.
|
As informações financeiras são insuficientes ou pouco claras.
|
As informações financeiras são insuficientes ou pouco claras.
|
Aspecto V - Estrutura das garantias
|
Critérios
|
Requisitos a serem atendidos para o grau de avaliação
|
|||
|
Forte
|
Bom
|
Satisfatório
|
Fraco
|
|
|
Controle sobre o ativo.
|
Há total certeza quanto à capacidade de apropriação, a qualquer tempo, dos ativos dados em garantia, inclusive a prevalência sobre qualquer terceiro.
|
Há total certeza quanto à capacidade de apropriação a qualquer tempo dos ativos dados em garantia, inclusive a prevalência sobre qualquer terceiro.
|
Em algum momento do processo, o emprestador perde o controle legal do ativo.
A perda de controle é mitigada pelo conhecimento do processo de intermediação ou mediante a assunção da operação por terceiros.
|
Lacunas contratuais geram risco de perda do controle efetivo sobre o ativo.
A recuperação do controle pode não ocorrer.
|
|
Seguro contra danos.
|
A cobertura de seguro é ampla, incluindo danos a terceiros, e prestada por empresas da mais alta qualidade.
|
A cobertura de seguro é satisfatória (não inclui danos a terceiros) e prestada por empresas de seguro de boa qualidade.
|
A cobertura de seguro é mediana (não inclui danos a terceiros) e prestada por empresas de seguro de qualidade aceitável.
|
A cobertura de seguro é inadequada (não inclui danos a terceiros) ou prestada por empresas de seguros de qualidade baixa.
|
ANEXO V
Tabela 1 - Fator K* para classificação interna de longo prazo na abordagem RBA
|
Classificação Interna
|
Fator K* para exposição a classe com maior grau de senioridade e cujo conjunto de ativos subjacentes é granular
|
Fator K* para exposição a classe com menor grau de senioridade e cujo conjunto de ativos subjacentes é granular
|
Fator K* para exposição cujo conjunto de ativos subjacentes é não granular
|
|
NQL1
|
7%
|
12%
|
20%
|
|
NQL2
|
8%
|
15%
|
25%
|
|
NQL3
|
10%
|
18%
|
35%
|
|
NQL4
|
12%
|
20%
|
|
|
NQL5
|
20%
|
35%
|
|
|
NQL6
|
35%
|
50%
|
|
|
NQL7
|
60%
|
75%
|
|
|
NQL8
|
100%
|
|
|
|
NQL9
|
250%
|
|
|
|
NQL10
|
425%
|
|
|
|
NQL11
|
650%
|
|
|
ANEXO VI
Tabela 1 - Fator K* para classificação interna de curto prazo na abordagem RBA
|
Classificação Interna (ilustrativa)
|
Fator K* para exposição a classe com maior grau de senioridade e cujo conjunto de ativos subjacentes é granular
|
Fator K* para exposição a classe com menor grau de senioridade e cujo conjunto de ativos subjacentes é granular
|
Fator K* para exposição cujo conjunto de ativos subjacentes é não granular
|
|
NQC1
|
7%
|
12%
|
20%
|
|
NQC2
|
12%
|
20%
|
35%
|
|
NQC3
|
60%
|
75%
|
75%
|