CIRCULAR BACEN Nº 3.810, DE 25.08.2016
Altera a Circular nº 3.648, de 4 de março de 2013, que estabelece os requisitos mínimos para o cálculo da parcela relativa às exposições ao risco de crédito sujeitas ao cálculo do requerimento de capital mediante sistemas internos de classificação do risco de crédito (abordagens IRB) (RWACIRB), de que trata a Resolução nº 4.193, de 1º de março de 2013.
A Diretoria Colegiada do Banco Central do Brasil, em sessão realizada em 10 de agosto de 2016, com base no disposto nos arts. 9º, 10, inciso IX, e 11, inciso VII, da Lei nº 4.595, de 31 de dezembro de 1964, e nos arts. 3º, § 2º, e 15 da Resolução nº 4.193, de 1º de março de 2013,
RESOLVE:
Art. 1º Os arts. 4º, 7º, 9º, 39, 40, 62, 69, 74, 80, 83, 87, 88, 89, 91, 100, 101, 106, 107, 118, 139 e 162 da Circular nº 3.648, de 4 de março de 2013, passam a vigorar com a seguinte redação:
“Art. 4º ............................................................................................................
§ 1º ..................................................................................................................
..........................................................................................................................
III - decorrentes de operações interdependências e demais operações realizadas com instituições que integrem o conglomerado prudencial;
IV - relativas aos elementos patrimoniais deduzidos na apuração do Patrimônio de Referência (PR), conforme definido nos arts. 5º a 7º da Resolução nº 4.192, de 1º de março de 2013, brutos dos passivos fiscais diferidos a eles associados subtraídos no cálculo do PR;
V - relativas ao risco do ativo objeto decorrente de aplicações em ações e mercadorias (commodities), se cobertas pela parcela relativa às exposições ao risco de mercado sujeitas ao cálculo do requerimento de capital mediante abordagem padronizada (RWAMPAD) ou pela parcela relativa às exposições ao risco de mercado sujeitas ao cálculo do requerimento de capital mediante modelo interno autorizado pelo Banco Central do Brasil (RWAMINT) do montante RWA, de que trata a Resolução nº 4.193, de 1º de março de 2013;
..........................................................................................................................
XIII - relativas a exposições decorrentes de operações a serem liquidadas em sistemas de liquidação de câmaras ou prestadores de serviços de compensação e de liquidação, nas quais uma entidade interponha-se como contraparte central; e
XIV - relativas a operações ativas vinculadas, realizadas segundo o disposto na Resolução nº 2.921, de 17 de janeiro de 2002.
...............................................................................................................” (NR)
“Art. 7º ............................................................................................................
..........................................................................................................................
III - ...................................................................................................................
a) as exposições a pessoas naturais e a pessoas jurídicas com receita bruta anual inferior a R$15.000.000,00 (quinze milhões de reais), geridas de forma não individualizada por meio de grupos homogêneos de risco, que assumam a forma de instrumentos financeiros tipicamente voltados para o varejo; e
...............................................................................................................” (NR)
“Art. 9º ............................................................................................................
I - “exposições a pessoas naturais não enquadradas na categoria “varejo” e a pequenas e médias empresas (SME)”, compreendendo as exposições a pessoas jurídicas de direito privado integrantes de grupo econômico com receita bruta anual consolidada inferior a R$60.000.000,00 (sessenta milhões de reais);
...............................................................................................................” (NR)
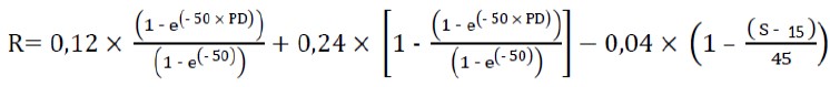
“Art. 39. Para as exposições classificadas nas categorias “atacado”, “entidades soberanas” e “instituições financeiras”, o fator K de que trata o inciso II, do art. 34, deve corresponder ao resultado da seguinte fórmula:

em que:
..........................................................................................................................
§ 2º ..................................................................................................................

em que:
I - S = receita bruta anual do grupo econômico do qual a pessoa jurídica faz parte, em milhões de reais, limitada ao valor mínimo de 15 (quinze inteiros) e valor máximo de 60 (sessenta inteiros), sendo o valor de S igual a 15 (quinze inteiros) para exposições a pessoas naturais e a pessoas jurídicas de direito privado integrantes de grupo econômico com receita bruta anual consolidada inferior a R$15.000.000,00 (quinze milhões de reais); e
...............................................................................................................” (NR)
“Art. 40. ..........................................................................................................
..........................................................................................................................
§ 5º ..................................................................................................................
I - F = fator mencionado no art. 34, inciso IV; e
...............................................................................................................” (NR)
“Art. 62. As garantias fidejussórias e os derivativos de crédito associados aos recebíveis devem receber o tratamento estabelecido nos arts. 87 a 107.
...............................................................................................................” (NR)
“Art. 69. O parâmetro PD poderá ser ajustado com base na existência de garantias fidejussórias, de acordo com os critérios previstos nos arts. 87 a 107.” (NR)
“Art. 74. ..........................................................................................................
I - 85% (oitenta e cinco por cento), para exposições a pessoas naturais e empresas com faturamento inferior ou igual a R$15.000.000,00 (quinze milhões de reais) não enquadradas na categoria “varejo”;
II - 70% (setenta por cento), para exposições a empresas com faturamento superior ou igual a R$60.000.000,00 (sessenta milhões de reais);
III - o resultado da seguinte fórmula, para exposições a empresas com faturamento superior a R$15.000.000,00 (quinze milhões de reais) e inferior a R$60.000.000,00 (sessenta milhões de reais):
LGD = 0,70 + 0,15 x [1 - (S - 15) / 45], em que S é igual ao valor da receita bruta anual da pessoa jurídica em milhões de reais, limitado ao mínimo de 15 (quinze inteiros) e ao máximo de 60 (sessenta inteiros); e
...............................................................................................................” (NR)
“Art. 80. ..........................................................................................................
..........................................................................................................................
§ 3º ..................................................................................................................
I - a exposição de referência utilizada para apuração do valor de liquidação do derivativo de crédito, na ocorrência de descumprimento, deve ser a mesma exposição sujeita ao instrumento de mitigação do risco de crédito, salvo quando atendidos os requisitos previstos no art. 24, § 1º, da Circular nº 3.809, de 25 de agosto de 2016;
II - a exposição utilizada para determinação do descumprimento do derivativo de crédito deve ser idêntica à exposição sujeita ao instrumento de mitigação do risco de crédito, salvo no caso previsto no art. 24, § 2º, da Circular nº 3.809, de 2016;
...............................................................................................................” (NR)
“Art. 83. ..........................................................................................................
..........................................................................................................................
III - os previstos nos incisos I a III do art. 11 da Circular nº 3.644, de 2013, para aval, fiança, coobrigação e outras garantias fidejussórias do cumprimento de obrigações financeiras de terceiros.
§ 1º Para utilizar o FCC de 0% (zero por cento), a instituição deve demonstrar capacidade de monitorar ativamente as condições financeiras do tomador e a possibilidade de cancelamento imediato do limite de crédito oferecido, diante de evidente deterioração dessas condições, para limites canceláveis incondicional e unilateralmente.
§ 2º O valor da exposição relativa à prestação de garantia, de que trata o inciso III, relacionada a uma operação não contabilizada no Balanço Patrimonial deve corresponder ao valor da garantia prestada, deduzida eventual parcela já honrada, multiplicado pelo menor dos FCCs aplicáveis à garantia ou à operação garantida.” (NR)
“Art. 87. ..........................................................................................................
..........................................................................................................................
§ 2º O uso da faculdade prevista no caput é condicionado ao atendimento dos requisitos estabelecidos no art. 2º, § 1º, da Circular nº 3.809, de 2016.
§ 3º O instrumento de mitigação do risco de crédito deve estar associado a uma operação específica, salvo nos casos previstos no art. 2º, § 2º, da Circular nº 3.809, de 2016.
...............................................................................................................” (NR)
“Art. 88. São considerados colaterais financeiros aqueles reconhecidos no art. 4º da Circular nº 3.809, de 2016.” (NR)
“Art. 89. No caso de utilização de colateral financeiro como instrumento de mitigação do risco de crédito, o valor da exposição, considerada a mitigação do risco de crédito, deve ser calculado conforme as disposições do art. 9º da Circular nº 3.809, de 2016.
..........................................................................................................................
§ 12. Para os efeitos do previsto no caput, o parâmetro E, definido no art. 9º, inciso II, da Circular nº 3.809, de 2016, deve corresponder ao valor corrente da exposição, não considerada a mitigação do risco de crédito.” (NR)
“Art. 91. Para as exposições relativas a operações compromissadas, é facultada aplicação do tratamento para a Abordagem Abrangente previsto no art. 10 da Circular nº 3.809, de 2016, desde que atendidas todas as disposições nele estabelecidas.” (NR)
“Art. 100. Os acordos bilaterais para compensação e liquidação de obrigações são elegíveis para utilização como instrumentos de mitigação do risco de crédito, desde que atendam aos requisitos estabelecidos no art. 13 da Circular nº 3.809, de 2016.
§ 1º ..................................................................................................................
I - E* = valor da exposição efetiva, calculado com base no disposto nos arts. 14, 15 e 16 da Circular nº 3.809, de 2016, ressalvado o cálculo do parâmetro E, que deve observar o disposto no inciso II deste parágrafo;
...............................................................................................................” (NR)
“Art. 101. As garantias fidejussórias e os derivativos de crédito são elegíveis como instrumentos de mitigação do risco de crédito, desde que atendam aos requisitos estabelecidos nos arts. 19, 22, 23 e 24 da Circular nº 3.809, de 2016, conforme o caso.
Parágrafo único. Deve ser aplicado às garantias elencadas nos arts. 27, 28, 29 e 30 da Circular nº 3.809, de 2016, o mesmo tratamento previsto nos arts. 105 a 107 aplicado às garantias fidejussórias.” (NR)
“Art. 106. Para os instrumentos de mitigação do risco de crédito de que trata o art. 101, no caso de a obrigação subjacente ser referenciada em moeda distinta da moeda de referência do instrumento utilizado, o valor do instrumento deve ser ajustado conforme o art. 20 da Circular nº 3.809, de 2016.” (NR)
“Art. 107. As disposições contidas nos arts. 25 e 26 da Circular nº 3.809, de 2016, devem ser aplicadas aos prazos efetivos de vencimento do instrumento de mitigação do risco de crédito e da exposição objeto de mitigação.
§ 4º O disposto no caput não se aplica quando o instrumento de mitigação do risco de crédito consistir em recebíveis financeiros com prazo efetivo inferior a 1 (um) ano, conforme definidos no art. 96, cujos recursos financeiros permaneçam sob a guarda da instituição até que haja a reposição de novos recebíveis ou a quitação do crédito.” (NR)
“Art. 118. Em processo de securitização sintética, é facultado o reconhecimento de instrumentos de mitigação do risco de crédito segundo o previsto nos arts. 87 a 107 para os respectivos ativos subjacentes, desde que atendidos os seguintes requisitos:
..........................................................................................................................
Parágrafo único. Na hipótese de ocorrência de descasamento de prazos em processo de securitização sintética, a contraparte originadora deve observar o disposto no art. 107.” (NR)
“Art. 139. A utilização das abordagens SF ou RBA implica o tratamento dos instrumentos de mitigação do risco de crédito segundo o disposto nos arts. 87 a 107.
...............................................................................................................” (NR)
“Art. 162. ........................................................................................................
..........................................................................................................................
§ 3º ..................................................................................................................
I - ......................................................................................................................
..........................................................................................................................
c) utilização prévia, pelo prazo mínimo de 3 (três) anos, da abordagem IRB especificada para classificação de risco e estimação de parâmetros de risco, segundo o disposto no art. 159 para, no mínimo, 60% (sessenta por cento) das exposições do escopo de aplicação ponderadas pelos respectivos FPRs; e
...............................................................................................................” (NR)
Art. 2º Esta Circular entra em vigor em 1º de janeiro de 2017.
Art. 3º Ficam revogados o art. 87, § 2º, incisos I a IX, e § 3º, incisos I e II, o art. 88, incisos I a VIII, o art. 89, incisos I a VI do caput e §§ 1º, 2º, 4º, 5º, 6º e 10, o art. 91, incisos I a VI do caput e parágrafo único, o art. 100, incisos I a V do caput e § 1º, incisos III a VII, o art. 101, incisos I a III, os arts. 102 a 104, o art. 106, incisos I e II do caput e o parágrafo único, o art. 107, §§ 1º, 2º e 3º, e o art. 108 da Circular nº 3.648, de 4 de março de 2013.
Otávio Ribeiro Damaso
Diretor de Regulação
(DOU de 26.08.2016 - pág. 24 - Seção 1)