RESOLUÇÃO BCB Nº 241, DE 06.09.2022
Dispõe sobre o procedimento para o cálculo da taxa de juros "PRE" aplicável no cálculo das Taxas de Juros do Crédito Rural (TCRpré), das Taxas de Juros Rurais dos Fundos Constitucionais de Financiamento (TRFCpré) e da Taxas de Juros Não Rurais dos Fundos Constitucionais de Financiamento (TFCpré), de que trata, respectivamente, a alínea "a" do item 9 da Seção 4 do Capítulo 2 do Manual de Crédito Rural, anexo à Resolução CMN nº 4.883, de 23 de dezembro de 2020, e o art. 5º, parágrafo único, inciso I, da Resolução CMN nº 5.013, de 28 de abril de 2022.
A Diretoria Colegiada do Banco Central do Brasil, em sessão realizada em 6 de setembro de 2022, com base no disposto nos arts. 9º e 10, inciso VI, da Lei nº 4.595, de 31 de dezembro de 1964, e tendo em vista o disposto na alínea "a" do item 9 da Seção 4 do Capítulo 2 do Manual de Crédito Rural, anexo à Resolução CMN nº 4.883, de 23 de dezembro de 2020, e o art. 5º, parágrafo único, inciso I, da Resolução CMN nº 5.013, de 28 de abril de 2022, resolve:
Art. 1º A taxa "PRE" aplicável no cálculo das Taxas de Juros do Crédito Rural (TCRpré), das Taxas de Juros Rurais dos Fundos Constitucionais de Financiamento (TRFCpré) e da Taxas de Juros Não Rurais dos Fundos Constitucionais de Financiamento (TFCpré), de que trata, respectivamente, a alínea "a" do item 9 da Seção 4 do Capítulo 2 do Manual de Crédito Rural, anexo à Resolução CMN nº 4.883, de 23 de dezembro de 2020, e o art. 5º, parágrafo único, inciso I, da Resolução CMN nº 5.013, de 28 de abril de 2022, será calculada com base nas taxas relativas ao prazo de cinco anos (TDPRE), apuradas diariamente a partir da estrutura a termo da taxa de juros dos títulos de rentabilidade prefixada do Tesouro Nacional, Letras do Tesouro Nacional (LTN) e Notas do Tesouro Nacional - Série F (NTN-F), de acordo com a fórmula abaixo, e expressa sob a forma anual, em termos percentuais, considerando a convenção de 252 (duzentos e cinquenta e dois) dias úteis, com duas casas decimais:

I - TDPREi corresponde à i-ésima taxa de juros relativa ao prazo de cinco anos apurada diariamente a partir da estrutura a termo da taxa de juros dos títulos de rentabilidade prefixada do Tesouro Nacional, LTN e NTN-F, expressa sob a forma anual, em termos percentuais, considerando a convenção de 252 (duzentos e cinquenta e dois) dias úteis, com duas casas decimais, observando que serão consideradas as taxas disponíveis nos meses de:
a) fevereiro, março e abril para a determinação da taxa "PRE" que integrará o cálculo do Fator de Inflação Implícita (FII) da TCRpré, da TRFCpré e da TFCpré a ser divulgado em cada último dia de abril;
b) agosto, setembro e outubro para a determinação da taxa "PRE" que integrará o cálculo do Fator de Inflação Implícita (FII) da TFCpré a ser divulgado em cada último dia de outubro; e
II - n corresponde ao número de dias úteis com taxas TDPRE disponíveis.
Art. 2º As taxas TDPRE mencionadas no inciso I do art. 1º serão calculadas a partir da estrutura a termo de taxas de juros das LTN e das NTN-F a ser estimada diariamente com base na seguinte fórmula:
![]()
I - tcorresponde ao prazo, em anos, considerando a convenção de 252 (duzentos e cinquenta e dois) dias úteis;
II - b0, b1, b2, b3, l1el2correspondem aos parâmetros calculados a partir de metodologia de minimização de erros gerados no processo de estimação; e
III - r(t)corresponde à taxa de juros à vista, com capitalização contínua, relativa ao prazot, expressa sob a forma anual, considerando a convenção de 252 (duzentos e cinquenta e dois) dias úteis.
Parágrafo único. Para fins de apuração das taxas de juros a que se refere o caput, será aplicada conversão ao regime de capitalização anual, considerando a convenção de 252 (duzentos e cinquenta e dois) dias úteis.
Art. 3º A base de dados para a estimação da estrutura a termo de taxas de juros de que trata o art. 2º será composta por todas as operações definitivas com LTN e NTN-F realizadas no mercado secundário, registradas no Sistema Especial de Liquidação e de Custódia (Selic), excluídas as operações que apresentarem taxas discrepantes, de acordo com tratamento estatístico.
§ 1º O vencimento de LTN ou de NTN-F que sistematicamente não apresentar negociações no mercado secundário será excluído da base de dados.
§ 2º Se determinado vencimento de LTN ou de NTN-F não apresentar número suficiente de negócios que possibilite a estimação adequada de sua taxa, será utilizada taxa de juros indicativa que tenha ampla aceitação como referência de preços no mercado financeiro nacional, para a LTN ou a NTN-F daquele vencimento.
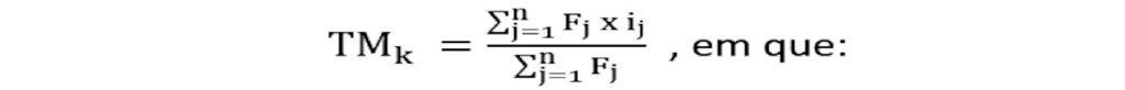
Art. 4º Para cada vencimento de LTN e de NTN-F que compõe a base de dados de que trata o art. 3º será calculada, a cada dia útil, a taxa de juros média (TM), de acordo com a fórmula abaixo, expressa sob a forma anual, em termos percentuais, considerando a convenção de 252 (duzentos e cinquenta e dois) dias úteis:
![]()
I - Fj corresponde ao montante financeiro da j-ésima operação definitiva do k-ésimo vencimento de LTN e de NTN-F;
II - ij corresponde à taxa de juros da j-ésima operação definitiva do k-ésimo vencimento de LTN e de NTN-F, expressa sob a forma anual, em termos percentuais, considerando a convenção de 252 (duzentos e cinquenta e dois) dias úteis; e
III - n corresponde ao número de operações definitivas com o k-ésimo vencimento de LTN e de NTN-F.
Art. 5º Os parâmetros b0, b1, b2, b3, l1 e l2 mencionados no art. 2º serão calculados diariamente a partir da minimização da média dos quadrados dos erros de estimação.
§ 1º Os erros de estimação consistem na diferença entre o preço médio de cada vencimento de LTN e de NTN-F que compõem a base de cálculo e o respectivo preço teórico.
§ 2º O preço médio de cada vencimento de LTN e de NTN-F corresponde ao somatório de seus pagamentos descontados pela taxa de juros média calculada de acordo com o art. 4º.
§ 3º O preço teórico de cada vencimento de LTN e de NTN-F corresponde ao somatório de seus pagamentos descontados pelas taxas de juros estimadas conforme a estrutura a termo de taxa de juros de que trata o art. 2º para cada prazo de pagamento.
§ 4º O quadrado do erro de estimação de cada vencimento de LTN e de NTN-F será ponderado pelo valor inverso da medida da duração do título a que se refere.
§ 5º Na eventual impossibilidade de estimar, para um determinado dia, os parâmetros mencionados no caput, inclusive em virtude de insuficiência de informações sobre negociações no mercado secundário e, simultaneamente, ausência das taxas indicativas mencionadas no § 2º do art. 3º, serão adotados no cálculo da taxa de juros relativa ao prazo de cinco anos os parâmetros utilizados no dia útil imediatamente anterior.
Art. 6º Fica o Departamento de Operações do Mercado Aberto (Demab) autorizado a adotar as medidas julgadas necessárias à execução do disposto neste normativo.
Art. 7º Fica revogada a Circular nº 3.933, de 26 de março de 2019.
Art. 8º Esta Resolução entra em vigor em 3 de outubro de 2022.
BRUNO SERRA FERNANDES
Diretor de Política Monetária
(DOU de 09.09.2022 – págs. 156 e 157 – Seção 1)