RESOLUÇÃO CMN Nº 4.883, DE 23.12.2020
Dispõe sobre a consolidação dos dispositivos inseridos nos Capítulos 1, 2 e 3 do Manual de Crédito Rural (MCR), acerca de princípios, conceitos básicos e operação aplicáveis ao crédito rural.
O Banco Central do Brasil, na forma do art. 9º da Lei nº 4.595, de 31 de dezembro de 1964, torna público que o Conselho Monetário Nacional, em sessão realizada de 18 a 23 de dezembro de 2020, tendo em vista as disposições dos arts. 4º, inciso VI, da referida Lei, 4º, 5º e 14 da Lei nº 4.829, de 5 de novembro de 1965, e do art. 5º do Decreto nº 10.139, de 28 de novembro de 2019, resolveu:
Art. 1º Ficam consolidados no Manual de Crédito Rural (MCR), conforme anexos a esta Resolução:
I - o Capítulo 1 (Disposições Preliminares);
II - as Seções 1 (Disposições Gerais), 2 (Orçamento, Plano e Projeto), 3 (Despesas), 4 (Metodologia de cálculo das Taxas de Juros do Crédito Rural - TCR), 4-A (Metodologia de cálculo das Taxas de Juros Rurais dos Fundos Constitucionais de Financiamento - TRFC), 5 (Utilização) e 6 (Reembolso) do Capítulo 2 (Condições Básicas); e
III - as Seções 1 (Formalização), 2 (Créditos de Custeio), 3 (Créditos de Investimento), 4 (Créditos de Comercialização), 5 (Créditos de Industrialização) e 7 (Normas Transitórias) do Capítulo 3 (Operações).
Art. 2º Esta Resolução entra em vigor em 1º de maio de 2021.
BRUNO SERRA FERNANDES
Presidente do Banco Central do BrasilSubstituto
(DOU de 24.12.2020 – pág. 101 a 108 – Seção 1)
ANEXOS
TÍTULO: CRÉDITO RURAL
CAPÍTULO: Disposições Preliminares - 1
SEÇÃO: Autorização para Operar em Crédito Rural e Estrutura Operativa - 1 (*)
1 - Para atuar em crédito rural, a instituição financeira deve obter autorização do Banco Central do Brasil, cumprindo-lhe:
a) comprovar a existência de setor especializado, representado por carteira de crédito rural, com estrutura, direção e regulamento próprio e com elementos capacitados, observado o disposto no item 2, quando for o caso;
b) difundir normas básicas entre suas dependências e mantê-las atualizadas, com o objetivo de ajustar as operações aos critérios legais pertinentes e às instruções do Banco Central do Brasil, sistematizando métodos de trabalho compatíveis com as peculiaridades do crédito e uniformizando a conduta em suas operações;
c) manter serviços de assessoramento técnico em nível de carteira, à sua conta exclusiva, visando à adequada administração do crédito rural, bem como assegurar a prestação de assistência técnica em nível de imóvel ou empresa, quando devida;
d) indicar previsão dos recursos livres que serão destinados às modalidades de crédito rural; e
e) designar, entre os administradores homologados pelo Banco Central do Brasil, o responsável pela área de crédito rural.
2 - No caso de cooperativa de crédito, o setor especializado referido no item 1 pode ser organizado, em comum acordo e em maior escala, na cooperativa central de crédito ou na confederação de cooperativas centrais de crédito a que é filiada.
3 - O pedido de autorização para operar em crédito rural deve ser protocolizado no Banco Central do Brasil, acompanhado de declaração, firmada por administradores cuja representatividade seja reconhecida pelo estatuto social, de que a instituição atende as exigências estabelecidas no item 1.
4 - As exigências estabelecidas no item 1 podem ser dispensadas para as instituições que desejarem operar exclusivamente em créditos de comercialização concedidos mediante negociação ou conversão em espécie de títulos oriundos da venda de produção comprovadamente própria de produtores rurais e de suas cooperativas.
5 - As instituições autorizadas a receber depósitos de poupança rural podem captar depósitos de poupança no âmbito do Sistema Brasileiro de Poupança e Empréstimo (SBPE), desde que:
a) possuam autorização do Banco Central do Brasil para constituir carteira de crédito imobiliário;
b) comuniquem ao Banco Central do Brasil o início da captação de depósitos de poupança no âmbito do SBPE, com, no mínimo, 2 (dois) dias úteis de antecedência, em relação ao dia da primeira captação.
6 - Com relação ao disposto no item 5, deve ser observado:
a) o saldo total diário de depósitos de poupança no âmbito do SBPE não pode ultrapassar 10% (dez por cento) do saldo total de depósitos de poupança verificado no dia anterior, consideradas ambas as modalidades;
b) caso o percentual de que trata a alínea "a" seja ultrapassado, as instituições ficam impedidas de captar referidos depósitos de poupança até que seja restabelecido o cumprimento do mencionado limite.
7 - As instituições integrantes do SBPE podem captar depósitos de poupança rural, desde que possuam autorização do Banco Central do Brasil para operar em crédito rural e comuniquem à Autarquia o início da captação de depósitos de poupança rural, com, no mínimo, 2 (dois) dias úteis de antecedência, em relação ao dia da primeira captação, observado que:
a) o saldo total diário de depósitos de poupança rural não pode ultrapassar 10% (dez por cento) do saldo total de depósitos de poupança verificado no dia anterior, consideradas ambas as modalidades;
b) caso o percentual de que trata a alínea "a" seja ultrapassado, as instituições ficam impedidas de captar depósitos de poupança rural até que seja restabelecido o cumprimento do mencionado limite.
8 - As instituições referidas nos itens 5 e 7 devem:
a) observar o direcionamento obrigatório estabelecido para os recursos captados em depósitos de poupança no âmbito do SBPE, conforme normas próprias, e o direcionamento em depósitos de poupança rural, de que trata o Capítulo 6 deste manual, na forma da regulamentação em vigor;
b) manter controles internos que possibilitem a identificação do saldo diário de cada modalidade de depósito de poupança;
c) prestar informações ao Banco Central do Brasil, na forma da regulamentação em vigor, sobre os saldos de depósitos de poupança de ambas as modalidades, bem como sobre as operações de crédito imobiliário e de crédito rural contratadas;
d) manter à disposição do Banco Central do Brasil, pelo prazo de 5 (cinco) anos, os dados relativos aos depósitos de ambas as modalidades.
9 - Constatado o descumprimento do disposto nos itens 5 a 8, o Banco Central do Brasil convocará os representantes legais da instituição e, caso entendido necessário, seus controladores, para informarem acerca das medidas que serão adotadas com vistas à regularização da situação, observado que:
a) o comparecimento dos representantes legais da instituição ou de seus controladores deverá ocorrer no prazo máximo de 5 (cinco) dias contados da data da convocação, que poderá ser formalizado mediante lavratura de termo específico por parte do Banco Central do Brasil;
b) deverá ser apresentado à mencionada Autarquia, em prazo por ela fixado, não superior a 60 (sessenta) dias, contado da data da convocação referida na alínea "a" ou da lavratura do termo de comparecimento, para aprovação, plano de regularização referendado pela diretoria da instituição e pelo conselho de administração, se houver, contendo as medidas previstas para enquadramento e respectivo cronograma de execução, o qual não poderá ser superior a 6 (seis) meses, prorrogáveis, a critério da referida Autarquia, por mais 2 (dois) períodos idênticos, mediante razões fundamentadas ao final de cada período.
10 - O assessoramento técnico em nível de carteira pode ser prestado:
a) por funcionários do quadro da própria instituição financeira, desde que detentores das imprescindíveis qualificações técnicas;
b) por outras pessoas físicas ou jurídicas legalmente habilitadas;
c) por órgãos públicos especializados.
11 - Os serviços de assessoramento técnico não podem ser prestados por pessoa física ou jurídica que exerça atividade remunerada de produção ou venda de insumos utilizáveis na agropecuária.
12 - Ficam as instituições financeiras autorizadas a contratar operações de crédito rural por intermédio de agentes de crédito rural, observadas as seguintes condições:
a) o agente de crédito rural atua por conta e sob as diretrizes da instituição financeira contratante, que assume inteira responsabilidade pelo atendimento prestado aos mutuários por meio do contratado;
b) é dever da instituição financeira contratante garantir a integridade, a confiabilidade, a segurança, o sigilo e a conformidade com a legislação e a regulamentação das operações de crédito rural contratadas por intermédio dos agentes de crédito rural;
c) são aptos a exercerem a função de agentes de crédito rural as pessoas físicas e jurídicas de direito público ou privado, comprovadamente capacitadas técnica e operacionalmente, a juízo e sob responsabilidade da instituição financeira contratante;
d) o agente de crédito rural contratado poderá prestar os seguintes serviços:
I - preenchimento de dados cadastrais do proponente, juntando documentação comprobatória, em formato e meio de envio determinado pela instituição financeira contratante;
II - recepção, análise prévia e encaminhamento à instituição financeira contratante de propostas, projetos técnicos, planos simples e documentação exigida para a contratação de operação de crédito rural;
III - orientação ao proponente da operação de crédito rural sobre as normas do crédito rural, do seguro rural, do Programa de Garantia da Atividade Agropecuária (Proagro) e das especificidades relacionadas ao programa ou à linha de crédito objeto do financiamento;
IV - realização de trabalho de fiscalização, sob a integral responsabilidade da instituição financeira contratante, desde que o agente de crédito rural não exerça cumulativamente a assistência técnica ao empreendimento financiado;
V - notificação ao mutuário, pessoalmente e sob recibo, e envio de avisos de cobrança não judicial;
VI - guarda da documentação relativa à operação de crédito rural, na forma definida pela instituição financeira contratante, na qualidade de fiel depositário, observado o prazo regulamentar, em dossiê específico para cada operação contratada;
e) as atribuições e as atividades do agente de crédito rural devem estar explícitas no contrato firmado com a instituição financeira contratante, bem como as demais obrigações das partes e a remuneração do contratado;
f) nenhum custo relativo à contratação e às atividades do agente de crédito pode ser repassado ao mutuário do crédito rural, salvo no caso de despesas imprevistas causadas pelo próprio mutuário;
g) quando o serviço de agente de crédito rural for prestado por entidade de assistência técnica e extensão rural, é vedada a obrigatoriedade de vinculação da contratação do crédito rural à contratação dos serviços de assistência técnica e extensão rural prestados por aquela entidade, devendo o mutuário ser orientado nesse sentido;
h) é vedado ao agente de crédito operar com sistema próprio de registro das operações de crédito rural, distinto daquele utilizado pela instituição financeira contratante;
i) fica o Banco Central do Brasil autorizado a baixar normas e a adotar medidas necessárias à preservação das boas práticas bancárias nos processos de contratação de operações de crédito rural por intermédio dos agentes de crédito rural.
TÍTULO: CRÉDITO RURAL
CAPÍTULO: Disposições Preliminares - 1
SEÇÃO: Beneficiários - 2 (*)
1 - É beneficiário do crédito rural:
a) produtor rural (pessoa física ou jurídica);
b) cooperativa de produtores rurais;
c) aqueles de que tratam o art. 49 da Lei nº 8.171, de 17 de janeiro de 1991, e o art. 3º do Decreto-Lei nº 784, de 25 de agosto de 1969;
d) o silvícola, desde que, não estando emancipado, seja assistido pela Fundação Nacional do Índio (Funai), que também deve assinar o instrumento de crédito.
2 - Não é beneficiário do crédito rural:
a) estrangeiro residente no exterior;
b) sindicato rural;
c) parceiro, se o contrato de parceria restringir o acesso de qualquer das partes ao financiamento;
d) pessoa estranha aos grupos tribais ou comunidades indígenas que exerça atividade agropecuária ou extrativa em áreas indígenas.
3 - Na concessão de crédito rural, deve ser observada a seguinte classificação do produtor rural, pessoa física ou jurídica, de acordo com a Receita Bruta Agropecuária Anual (RBA):
a) pequeno produtor: até R$415.000,00 (quatrocentos e quinze mil reais);
b) médio produtor: acima de R$415.000,00 (quatrocentos e quinze mil reais) até R$2.000.000,00 (dois milhões de reais); e
c) grande produtor: acima de R$2.000.000,00 (dois milhões de reais).
4 - A classificação do produtor é de responsabilidade da instituição financeira, que deve:
a) efetuá-la pelos meios ao seu alcance como parte integrante da ficha cadastral do mutuário;
b) observar o limite de receita bruta de R$3.600.000,00 (três milhões e seiscentos mil reais) para efeito da aplicação do disposto nos §§ 1º e 2º do art. 4º da Lei nº 10.522, de 19 de julho de 2002.
5 - Para os efeitos da classificação prevista no item 3:
a) a RBA deve corresponder ao somatório das receitas provenientes de todas as atividades rurais exploradas pelo produtor;
b) entende-se por atividade rural a exploração agropecuária e extrativista vegetal e animal, bem como os serviços afins prestados pelo produtor, de acordo com as disposições legais em vigor;
c) a RBA deve ser representativa de 1 (um) ano civil de produção normal, a critério da instituição financeira, verificada entre os 3 (três) últimos anos e apurada:
I - por meio da Escrituração Contábil Fiscal ou registros contábeis equivalentes, no caso de pessoa jurídica;
II - por meio do Livro Caixa do Produtor Rural, da Declaração do Imposto sobre a Renda da Pessoa Física (DIRPF) ou balanço patrimonial, no caso de pessoa física;
III - pela receita estimada, no caso de produtor iniciante na atividade, quando houver expansão da atividade rural, ou não puderem ser utilizados os documentos previstos nos incisos I e II;
d) em crédito concedido a condomínio ou grupo de produtores em regime de parceria, a classificação utilizada será a do produtor rural condômino ou parceiro com a maior RBA calculada conforme alínea "c";
e) é considerado pequeno produtor rural o beneficiário enquadrado na alínea "a" do item 3 ou detentor de Declaração de Aptidão ao Pronaf (DAP);
f) é considerado médio produtor rural o beneficiário que for enquadrado nas condições do Programa Nacional de Apoio ao Médio Produtor Rural (Pronamp);
g) é considerado grande produtor rural o beneficiário cujos rendimentos provenientes de atividades não rurais representem mais de 20% (vinte por cento) de sua receita bruta total, independentemente do montante de suas receitas e sem prejuízo da observância das normas estabelecidas nas alíneas "e" e "f".
6 - É vedada a concessão de crédito rural por instituição financeira oficial ou de economia mista, para investimentos fixos:
a) a filial de empresa sediada no exterior;
b) a empresa cuja maioria de capital com direito a voto pertença a pessoas físicas ou jurídicas residentes, domiciliadas ou com sede no exterior.
7 - A restrição do item 6:
a) não se aplica a recursos externos que tenham sido colocados à disposição de instituição financeira por governo estrangeiro, suas agências ou órgãos internacionais, para repasse a pessoas previamente indicadas;
b) estende-se à instituição financeira privada, quanto às aplicações com recursos de fundos e programas de fomento;
c) não se aplica quando o crédito rural se destinar a atividade econômica prevista no art. 1º do Decreto nº 2.233, de 23 de maio de 1997.
8 - A concessão de crédito a arrendatários ou similares depende da apresentação da documentação comprobatória da relação contratual entre o proprietário da terra e o beneficiário do crédito.
9 - A carta de anuência é documento hábil para comprovação da relação contratual entre o proprietário da terra e o beneficiário do crédito, desde que no formulário adotado pela instituição financeira tenha a concordância do mutuário e nele fique caracterizado o tipo de contrato, o seu objeto e o imóvel rural.
10 - É vedada às instituições financeiras a contratação ou renovação, ao amparo de recursos de qualquer fonte, de operação de crédito rural, inclusive a prestação de garantias, bem como a operação de arrendamento mercantil no segmento rural, a pessoas físicas e jurídicas inscritas no Cadastro de Empregadores que mantiveram trabalhadores em condições análogas à de escravo, gerido por órgão da administração pública federal, em razão de decisão administrativa final relativa ao auto de infração.
TÍTULO: CRÉDITO RURAL
CAPÍTULO: Disposições Preliminares - 1
SEÇÃO: Assistência Técnica - 3 (*)
1 - A assistência técnica e extensão rural compreende:
a) elaboração de plano ou projeto;
b) orientação técnica ao nível de imóvel ou empresa.
2 - Cabe ao produtor decidir sobre a contratação de serviços de assistência técnica, salvo quando considerados indispensáveis pelo financiador ou quando exigidos em regulamento de operações com recursos do orçamento público.
3 - A assistência técnica e extensão rural deve ser prestada por profissionais registrados no Conselho Regional de Engenharia, Arquitetura e Agronomia (Crea), Conselho Federal ou Regional dos Técnicos Agrícolas, Conselho Regional de Medicina Veterinária (CRMV) ou no Conselho Regional de Biologia (CRB).
4 - A assistência técnica e extensão rural é prestada diretamente ao produtor, em regra no local de suas atividades, com o objetivo de orientá-lo na condução eficaz do empreendimento financiado.
5 - O prestador de assistência técnica e extensão rural deve manter permanente acompanhamento do empreendimento, fornecendo laudos à instituição financeira, em até 15 (quinze) dias da visita, com registro de, no mínimo:
a) estágio da execução das obras e serviços;
b) recomendações técnicas ministradas ao produtor;
c) produção prevista e razões para eventuais alterações em relação ao previsto no plano ou projeto;
d) identificação dos estágios de desenvolvimento de culturas e de criações;
e) eventos prejudiciais à produção ou que inviabilizem a utilização da tecnologia recomendada no plano ou projeto;
f) quantificação de insumos efetivamente aplicados;
g) ocorrências relevantes, inclusive eventuais irregularidades.
6 - Os serviços de assistência técnica não podem ser prestados por pessoas físicas ou jurídicas que exerçam a atividade de produção ou venda de insumos utilizáveis na agropecuária, exceto quando se tratar de:
a) cooperativa, na prestação de assistência técnica a seus cooperados;
b) produtor de sementes ou mudas fiscalizadas ou certificadas (pessoa física ou jurídica), na prestação de assistência técnica a seus clientes;
c) empresa integradora, na prestação de assistência técnica a seus produtores integrados.
7 - Admite-se a assistência técnica grupal, em crédito rural deferido a pequenos produtores, observado que:
a) deve ser prestada a grupos de, no máximo, 20 (vinte) pequenos produtores rurais que apresentem características comuns em termos de tamanho médio de suas explorações, culturas ou criações, padrão de produção e nível de tecnologia e de renda; e
b) o relatório de orientação técnica pode ser feito de forma grupal.
8 - O mutuário pode contratar diretamente ou substituir a empresa ou profissional, para elaboração do plano ou projeto ou para prestação da orientação técnica.
9 - A instituição financeira pode impugnar a contratação do técnico ou empresa, se houver restrições ou se não satisfizer às exigências legais e regulamentares para exercício da profissão.
10 - Para as localidades não abrangidas pelo Zoneamento Agrícola de Risco Climático (Zarc), admite-se à instituição financeira, em função das peculiaridades climáticas que antecedem cada safra, definir eventual prorrogação do prazo habitual para plantio na região, desde que fundamentada em recomendação formal de entidade pública de assistência técnica e extensão rural.
TÍTULO: CRÉDITO RURAL
CAPÍTULO: Condições Básicas - 2
SEÇÃO: Disposições Gerais - 1 (*)
1 - A concessão de crédito rural subordina-se à observância das recomendações e restrições do zoneamento agroecológico e do Zoneamento Ecológico-Econômico (ZEE).
2 - É obrigatória a apresentação das coordenadas geodésicas (CG) para as operações de crédito rural de custeio e de investimento que estejam vinculadas a uma área delimitada do imóvel rural, que devem:
a) ser entregues, em meio físico ou eletrônico, juntamente com o orçamento, plano ou projeto relativo ao empreendimento e informadas no Sistema de Operações do Crédito Rural e do Proagro (Sicor);
b) compreender os pontos necessários à identificação do perímetro que define a área ou as áreas objeto da operação de financiamento;
c) ser registradas no Sicor pelo agente financeiro, após verificação da consistência dos dados quanto à:
I - localização da gleba no(s) município(s) onde situado o respectivo imóvel;
II - compatibilidade entre a área calculada por meio das CG e a área financiada prevista no contrato de crédito.
3 - O mutuário deve comunicar à instituição financeira eventual alteração da área inicialmente apresentada, com as novas CG, cabendo à instituição financeira efetuar os devidos ajustes no Sicor, vedada a alteração de área no Sicor após 30 (trinta) dias da data de término do plantio.
4 - A instituição financeira deve utilizar-se do cadastro normal do cliente para concessão de crédito rural.
5 - A ficha cadastral deve permanecer em poder da instituição financeira concedente do crédito ao beneficiário final, à disposição da fiscalização do Banco Central do Brasil necessariamente em formato digital.
6 - O produtor rural que industrializar seus produtos ou vendê-los diretamente ao consumidor, no varejo, ou a adquirente domiciliado no exterior, obriga-se a apresentar a Certidão Negativa de Débito (CND), fornecida pela Previdência Social.
7 - O financiamento só pode ser concedido se o executado depositar em juízo a quantia sob litígio, quando a cobrança judicial se referir a dívidas oriundas de contribuições ao Instituto Nacional de Colonização e Reforma Agrária (Incra).
8 - Para as operações de crédito rural objeto de renegociação ao amparo de decisões do Conselho Monetário Nacional, desde que o devedor se mantenha na atividade regular de produção agropecuária, ficam facultadas em relação às regras previstas na Resolução nº 2.682, de 21 de dezembro de 1999:
a) a classificação em categoria de menor risco, conforme previsão do seu art. 3º, sem considerar a existência de outras operações de natureza diversa classificadas em categoria de maior risco;
b) a observância ao disposto no seu art. 8º, podendo a instituição, em atendimento a critérios consistentes e previstos naquela Resolução, reclassificar a operação para categoria de menor risco.
9 - Com relação ao disposto no item 8, deve ser observado que:
a) aplica-se também às operações de crédito rural realizadas com recursos do Fundo Constitucional de Financiamento do Centro-Oeste (FCO) e do Fundo de Amparo ao Trabalhador (FAT) abrangidas por autorizações de refinanciamentos, renegociações ou prorrogações específicas dos respectivos Órgãos ou Conselhos Gestores, desde que as referidas operações sejam realizadas com risco dos agentes financeiros;
b) considera-se renegociação a composição de dívida, a prorrogação, a novação, a concessão de nova operação para liquidação parcial ou integral de operação anterior ou qualquer outro tipo de acordo que implique alteração nos prazos de vencimento ou nas condições de pagamento originalmente pactuadas.
10 - As operações de custeio e investimento rural que tenham sido objeto de cobertura parcial das perdas pelo Programa de Garantia da Atividade Agropecuária (Proagro) ou por modalidade de seguro rural, somente podem ser renegociadas mediante a exclusão do valor referente à indenização recebida pelo beneficiário, conforme o caso.
11 - A concessão de crédito rural para o financiamento de atividades agropecuárias nos municípios que integram o Bioma Amazônia, ressalvado o contido no item 14, ficará condicionada à:
a) apresentação, pelos interessados, de um dos documentos abaixo:
I - documento emitido por cartório de registro de imóveis há até 1 (um) ano que comprove a dominialidade do imóvel rural;
II - requerimento de regularização fundiária, no caso de ocupação em área da União, nos termos da Lei nº 11.952, de 25 de junho de 2009;
III - documento comprobatório de ocupação regular de áreas dos Estados, conforme regulamentação estadual específica, ou, na ausência desse, protocolo de requerimento de regularização fundiária, emitidos pelo órgão estadual competente;
IV - Termo de Autorização de Uso (TAU) ou Concessão de Direito Real de Uso (CDRU), expedido pela Secretaria do Patrimônio da União, ou documento correlato expedido pelo respectivo Governo Estadual, quando se tratar de áreas sob domínio deste, no caso de ocupantes regulares de áreas de várzea;
V - declaração do órgão responsável pelas Reservas de Desenvolvimento Sustentável, Reservas Extrativistas e Florestas Nacionais, integrantes das Unidades de Conservação de Uso Sustentável, no caso de habitantes ou usuários em situação regular;
VI - relação fornecida pelo Incra de beneficiários do projeto de assentamento, no caso de beneficiários do Programa Nacional de Reforma Agrária (PNRA) enquadrados nos Grupos "A" e "A/C" do Programa Nacional de Fortalecimento da Agricultura Familiar (Pronaf); ou
VII - Declaração de Aptidão ao Pronaf (DAP), quando se tratar de beneficiários enquadrados no Pronaf;
b) apresentação, pelos interessados, do recibo de inscrição no Cadastro Ambiental Rural (CAR), instituído pela Lei nº 12.651, de 25 de maio de 2012;
c) verificação, pela instituição financeira:
I - da inexistência de embargos vigentes de uso econômico de áreas desmatadas ilegalmente no imóvel, conforme divulgado pelo Instituto Brasileiro do Meio Ambiente e dos Recursos Naturais Renováveis (Ibama);
II - da inexistência de restrições ao beneficiário assentado, por prática de desmatamento ilegal, conforme divulgado pelo Incra, no caso de financiamentos ao amparo do PNRA;
III - da veracidade e da vigência dos documentos referidos neste item, mediante conferência por meio eletrônico junto ao órgão emissor, dispensando-se essa verificação quando se tratar de documento não disponibilizado em meio eletrônico; e
d) inclusão, nos instrumentos de crédito das novas operações de investimento, de cláusula prevendo que, em caso de embargo do uso econômico de áreas desmatadas ilegalmente no imóvel, posteriormente à contratação da operação, será suspensa a liberação de parcelas até a regularização ambiental do imóvel e, caso não seja efetivada a regularização no prazo de 12 (doze) meses a contar da data da autuação, o contrato será considerado vencido antecipadamente pelo agente financeiro.
12 - A concessão de crédito rural para o financiamento de atividades agropecuárias ficará condicionada à apresentação de recibo de inscrição no CAR, instituído pela Lei nº 12.651, de 2012, que se constitui instrumento suficiente para atender à condição prevista no art. 78-A da referida Lei, ressalvado o disposto nos itens 11, 14 e 15, e observadas ainda as condições e exceções a seguir:
a) no caso de beneficiários do PNRA enquadrados nos Grupos "A" e "A/C" do Pronaf, será exigido o recibo da inscrição no CAR do lote individual do beneficiário, observado que, na falta desse documento, poderá ser apresentado o recibo da inscrição no CAR referente ao perímetro do projeto de assentamento, hipótese em que o mutuário deverá constar da relação de beneficiários do assentamento de reforma agrária objeto de registro no CAR;
b) no caso de povos e comunidades tradicionais habitantes ou usuários em situação regular nas Unidades de Conservação de Uso Sustentável, deverá ser apresentado o recibo da inscrição no CAR da Unidade, realizado pelo órgão responsável pela sua gestão;
c) no caso de quilombolas e outros povos e comunidades tradicionais em áreas e territórios de uso coletivo, deverá ser apresentado o recibo da inscrição no CAR da área ou território, realizado pelo órgão ou instituição competente pela sua gestão ou por sua entidade representativa;
d) no caso dos povos indígenas situados nas Terras Indígenas indicadas pela Funai para compor a base de dados do Sistema Nacional de Cadastro Ambiental Rural (Sicar), dispensa-se o recibo da inscrição no CAR, desde que não sejam proprietários de imóveis rurais; e
e) no caso de detentores ou possuidores de imóveis rurais localizados parcialmente ou integralmente no interior de Unidades de Conservação, integrantes do Sistema Nacional de Unidades de Conservação da Natureza (SNUC), nos termos da Lei nº 9.985, de 18 de julho de 2000, deverá ser apresentado o recibo da inscrição no CAR.
13 - Aplica-se o disposto nos itens 11 e 12 também aos financiamentos rurais a parceiros, meeiros e arrendatários.
14 - Ficam dispensados das exigências previstas nas alíneas "a" e "b" do item 11 os seguintes beneficiários do Pronaf, mediante apresentação de DAP:
a) pescadores artesanais, conforme documentação comprobatória emitida pelo órgão competente, que não sejam proprietários de imóvel rural e cujo projeto de financiamento esteja vinculado à atividade da pesca artesanal;
b) extrativistas que não sejam proprietários de imóvel rural e que não sejam ocupantes de Unidades de Conservação.
15 - Nos municípios parcialmente situados no Bioma Amazônia, não se aplica o disposto nos itens 11 a 14 às concessões de crédito rural para atividades agropecuárias nos imóveis localizados totalmente fora do referido Bioma, conforme declaração emitida pelo órgão ambiental competente com base no Mapa de Biomas do Brasil elaborado pelo Instituto Brasileiro de Geografia e Estatística (IBGE).
16 - A concessão de crédito rural a produtores rurais e suas cooperativas para plantio, renovação ou custeio de lavouras ou industrialização de cana-de-açúcar destinada à produção de etanol, demais biocombustíveis derivados da cana-de-açúcar e açúcar, exceto açúcar mascavo, deverá observar o seguinte:
a) fica restrita às áreas indicadas como aptas para a expansão do plantio, conforme disposto no Zoneamento Agroecológico da Cana-de-açúcar, instituído pelo Decreto nº 6.961, de 17 de setembro de 2009, observadas as recomendações do zoneamento agrícola de risco climático dessa cultura;
b) fica vedada, se o financiamento for destinado a novas áreas de plantio ou à expansão das existentes em 28/10/2009, nas áreas:
I - dos Biomas Amazônia e Pantanal e da Bacia do Alto Paraguai;
II - de terras indígenas;
III - com declividade superior a 12% (doze por cento), ou ocupadas com cobertura de vegetação nativa ou de reflorestamento;
IV - de remanescentes florestais, em áreas de proteção ambiental, de dunas, de mangues, de escarpas e de afloramentos de rocha, urbanas e de mineração.
17 - As disposições do item 16 não se aplicam à concessão de crédito rural para:
a) a produção de cana-de-açúcar em áreas ocupadas com essa cultura em 28/10/2009, observadas as disposições do zoneamento agrícola de risco climático;
b) o financiamento de projetos de ampliação da produção industrial já licenciados pelo órgão ambiental responsável.
18 - A exigência de qualquer forma de reciprocidade bancária na concessão de crédito rural sujeita a instituição financeira e os seus administradores às sanções previstas na legislação e regulamentação em vigor.
19 - Para concessão de financiamento direcionado à atividade pesqueira, exceto para aquicultura (cultivo), a instituição financeira deve exigir do beneficiário o comprovante de inscrição no Registro Geral da Atividade Pesqueira (RGP), sendo que, quando se tratar de financiamento de embarcações de pesca extrativa, deve ser exigida também a Permissão Prévia de Pesca (PPP), conforme normas específicas do órgão da administração pública federal responsável pela emissão desses documentos.
20 - A concessão de financiamento direcionado à bovinocultura e bubalinocultura fica condicionada a que o beneficiário entregue à instituição financeira, que deverá manter no dossiê da operação para fins de inspeção pelo Banco Central do Brasil:
a) nas operações de custeio e investimento destinadas à aquisição de bovinos e bubalinos:
I - nota fiscal de venda emitida com data igual ou posterior à da apresentação da proposta de financiamento, mesmo quando não existir previsão legal para o vendedor efetuar a emissão; e
II - Guia de Trânsito Animal (GTA), emitida com data igual ou posterior a da apresentação da proposta de financiamento a instituição financeira;
b) nas demais operações de custeio: ficha sanitária, ou documento equivalente, do rebanho beneficiado, emitido por órgão estadual competente em até 1 (um) ano antes da apresentação da proposta.
21 - A escolha das garantias é de livre convenção entre o financiado e o financiador, que devem ajustá-las de acordo com a natureza e o prazo do crédito, observada a legislação própria de cada tipo e eventual exigência específica da linha de financiamento.
22 - Considera-se ano agrícola, para os efeitos deste manual, o período de 1º de julho de cada ano a 30 de junho do ano seguinte.
TÍTULO: CRÉDITO RURAL
CAPÍTULO: Condições Básicas - 2
SEÇÃO: Orçamento, Plano e Projeto - 2 (*)
1 - A concessão de crédito rural subordina-se à apresentação de orçamento, plano ou projeto, salvo em operações de desconto.
2 - O orçamento de aplicação dos recursos deve discriminar a espécie, o valor e a época de todas as despesas e inversões programadas.
3 - O orçamento deve ser elaborado em valores correntes, sem qualquer acréscimo a título de reajuste.
4 - Exige-se que o orçamento relativo a mais de um empreendimento ou ao custeio de lavouras diversas registre separadamente as despesas de cada uma, para levantamento analítico dos custos e controle das aplicações.
5 - O orçamento de culturas consorciadas deve desdobrar as verbas de cada uma, agrupando somente os gastos comuns.
6 - O orçamento do custeio pecuário deve ser elaborado sob cuidados especiais, a fim de se difundir o uso de medicamentos, vacinas, antiparasitários, sais minerais, vitaminas e outros defensivos fundamentais para a preservação da sanidade dos rebanhos, elevação da produtividade e melhoria dos padrões dos produtos.
7 - As despesas de transporte e frete de insumos podem ser incorporadas ao orçamento, para fins de crédito.
8 - Cabe ao assessoramento técnico ao nível de carteira examinar a necessidade de apresentação de plano ou projeto, para concessão de crédito rural, de acordo com a complexidade do empreendimento e suas peculiaridades.
9 - O assessoramento técnico ao nível de carteira e o técnico incumbido de elaborar o plano ou projeto devem verificar a adequação do empreendimento às exigências de defesa do meio ambiente.
10 - O plano ou projeto deve estabelecer a duração da orientação técnica, estipulando as épocas mais adequadas à sua prestação, segundo as características do empreendimento.
11 - A instituição financeira pode exigir avaliação, vistoria prévia, medição de lavoura ou pastagem, exame de escrita, estudo de viabilidade, plano ou projeto sempre que julgar necessário.
12 - A instituição financeira não pode alterar o orçamento, plano ou projeto sem prévia anuência do responsável por sua elaboração, mas deve recusar o financiamento, quando, a seu juízo, não forem observadas a boa técnica bancária ou as normas aplicáveis ao caso.
13 - Cumpre à instituição financeira assegurar-se de que:
a) o crédito é oportuno, suficiente e adequado;
b) o tomador dispõe ou disporá oportunamente dos recursos próprios necessários ao atendimento global do orçamento, quando o crédito se destinar a satisfazer parte das despesas, a fim de evitar paralelismo de financiamentos ou futura paralisação do plano;
c) o empreendimento será conduzido com observância das normas referentes ao zoneamento agroecológico e ao Zoneamento Ecológico-Econômico (ZEE).
14 - As parcelas de recursos próprios exigíveis do mutuário devem ser aplicadas proporcional e concomitantemente às do crédito, admitindo-se excepcionalmente que o esquema de usos estabeleça a antecipação das verbas bancárias, quando se evidenciar que as poupanças só poderão estar disponíveis em fase posterior, mas em época oportuna e ainda na vigência da operação.
15 - É vedado o deferimento de crédito para cobertura de itens orçamentários atendidos por outra instituição financeira.
TÍTULO: CRÉDITO RURAL
CAPÍTULO: Condições Básicas - 2
SEÇÃO: Despesas - 3 (*)
1 - As seguintes despesas podem ser cobradas do mutuário do crédito rural:
a) remuneração financeira;
b) Imposto sobre Operações de Crédito, Câmbio e Seguro, ou relativas a Títulos ou Valores Mobiliários (IOF);
c) custo de prestação de serviços;
d) previstas no Programa de Garantia da Atividade Agropecuária (Proagro);
e) prêmio do seguro rural, observadas as normas divulgadas pelo Conselho Nacional de Seguros Privados;
f) sanções pecuniárias;
g) prêmios em contratos de opção de venda, do mesmo produto agropecuário objeto do financiamento de custeio ou comercialização, em bolsas de mercadorias e futuros nacionais, e taxas e emolumentos referentes a essas operações de contratos de opção.
2 - Nenhuma outra despesa pode ser exigida do mutuário, salvo o exato valor de gastos efetuados à sua conta pela instituição financeira ou decorrentes de expressas disposições legais.
3 - Os bônus de adimplência concedidos em operações amparadas em recursos dos fundos constitucionais de financiamento aplicam-se exclusivamente sobre as parcelas pagas até a data do respectivo vencimento contratual.
4 - A apuração dos saldos diários das operações de crédito rural é obtida mediante a aplicação da taxa efetiva de juros anual e, quando houver, de taxa representativa de remuneração variável anual, conforme fórmula de cálculo abaixo:


em que:
St = saldo apurado no dia t;
St-1 = saldo apurado no dia anterior (t-1);
Trvat(1)= taxa de remuneração variável anual (pós-fixada), quando houver (TR, TJLP, etc.);
(1)quando a Trvat for expressa em unidade de tempo diferente de ano, deve-se calcular, previamente, a taxa equivalente anual para aplicação na fórmula;
Teja = taxa efetiva de juros anual (prefixada);
DAC = número de dias do ano civil (365 ou 366 dias);
Xt = pagamento efetuado pelo beneficiário do crédito rural no dia t;
Yt = valores liberados ao beneficiário no dia t, passíveis de financiamento e em conformidade com as normas estabelecidas neste manual.
5 - Para fins do cálculo referido no item 4:
a) deve ser excluído o dia da liberação dos recursos objeto de crédito na conta vinculada à operação e incluído o dia do pagamento efetuado pelo beneficiário (parcial ou total);
b) deve ser considerado o número de dias corridos do ano civil, assim entendido o período de 1º de janeiro a 31 de dezembro;
c) devem ser consideradas 5 (cinco) casas decimais, desprezando-se as 3 (três) últimas, na apresentação final do valor a ser exigido do beneficiário ou a ser levado a registro na conta vinculada à operação.
6 - A Taxa Referencial (TR) é utilizada na forma da regulamentação aplicável às operações ativas e passivas praticadas no âmbito do mercado financeiro, baixada pelo Banco Central do Brasil, e a época e forma de cálculo da parcela fixa de juros é de livre convenção entre financiado e financiador.
7 - O pagamento dos seguintes serviços e produtos é de livre negociação entre o mutuário, ou grupo de mutuários, e o prestador/fornecedor do serviço e produto, sendo vedado o seu financiamento com recursos controlados do crédito rural, salvo quando houver expressa autorização na linha de crédito ou programa:
a) assistência técnica ao nível de imóvel ou empresa;
b) estudo técnico (plano ou projeto), avaliação, exame de escrita, perícia não vinculados ao Proagro e vistoria prévia;
c) outros serviços de terceiros.
8 - Não podem ser cobradas do mutuário despesas de cadastro, de assessoramento técnico ao nível de carteira e de fiscalização ou medição de lavouras e pastagens, salvo permissão explícita contida neste manual.
9 - O pagamento de serviço a terceiros depende de:
a) evidência de sua necessidade;
b) prévia autorização do mutuário.
10 - Pode ser capitalizado na conta vinculada à operação, na data em que for exigido, o custo do prêmio do seguro rural.
11 - Salvo disposição expressa em contrário, quando exigíveis das instituições financeiras, as sanções pecuniárias no crédito rural consistem em:
a) atualizar diariamente os valores em débito, com base na TR;
b) aplicar sobre os valores atualizados na forma da alínea "a" taxa efetiva de juros de 24% a.a. (vinte e quatro por cento ao ano).
12 - As despesas relativas a prêmios em contratos de opção de venda, a taxas e a emolumentos referentes a essas operações são passíveis de financiamento ao amparo de recursos controlados, respeitado o limite de 10% (dez por cento) do valor orçado para crédito de comercialização, por operação, e de R$50.000,00 (cinquenta mil reais) por produtor rural em cada ano agrícola, observadas as seguintes condições:
a) deve ser incluída cláusula específica no instrumento de crédito; e
b) os recursos para a finalidade serão debitados na conta gráfica do financiamento e liberados somente após a confirmação da compra junto à bolsa.
13 - Podem ser financiados ao amparo dos recursos controlados do crédito rural, na modalidade pré-comercialização, os seguintes itens referentes à compra de contratos de opção de venda:
a) o valor do prêmio;
b) as despesas acessórias relativas à aquisição;
c) as despesas com a classificação, armazenagem e outros gastos inerentes à fase imediata à colheita do produto.
14 - O financiamento previsto no item 13 não pode ultrapassar 6% (seis por cento) do valor das opções contratadas e não vencidas, ficando limitado, no caso de adquirente produtor rural, a R$60.000,00 (sessenta mil reais) por beneficiário.
15 - As instituições financeiras, previamente à contratação de operações de crédito rural, devem informar ao proponente o Custo Efetivo Total do Crédito Rural (CETCR), expresso na forma de taxa percentual anual, observadas as seguintes disposições:
a) somente podem ser incluídas no CETCR as despesas autorizadas nesta Seção;
b) o CETCR deve ser calculado considerando os fluxos referentes às liberações e aos pagamentos previstos e incluir na sua composição todas as despesas que serão cobradas do mutuário, inclusive quando essas despesas forem objeto de financiamento;
c) no cálculo do CETCR não devem ser consideradas, se utilizadas, taxas flutuantes, índices de preços ou outros referenciais de remuneração cujo valor se altere no decorrer do prazo da operação, os quais devem ser divulgados com o CETCR;
d) o CETCR será divulgado com 2 (duas) casas decimais, utilizando as Regras de Arredondamento na Numeração Decimal (NBR5891), estabelecidas pela Associação Brasileira de Normas Técnicas (ABNT);
e) nos casos de operações de crédito rural rotativo ou com renovação simplificada, o CETCR deve ser apresentado ao mutuário em cada renovação da operação;
f) nas operações em que houver previsão de mais de uma data de liberação de recursos para o mutuário, deve ser calculada uma taxa para cada liberação, com base no cronograma inicialmente previsto;
g) nos casos de renegociações de operações de crédito rural que ensejem alteração nos encargos financeiros, o CETCR deverá ser recalculado e apresentado ao mutuário na formalização da renegociação;
h) a instituição financeira deve assegurar-se de que o mutuário, na data da contratação, ficou ciente dos fluxos considerados no cálculo do CETCR e de que essa taxa percentual anual representa as condições vigentes na data do cálculo;
i) a planilha utilizada para o cálculo do CETCR deve ser fornecida ao proponente previamente à contratação da operação de crédito rural e constar, de forma destacada, dos respectivos contratos, explicitando os fluxos considerados e os referenciais de remuneração; e
j) nos informes publicitários das operações de crédito rural destinadas à aquisição de bens e de serviços, deve ser informado o CETCR correspondente às condições ofertadas.
TÍTULO: CRÉDITO RURAL
CAPÍTULO: Condições Básicas - 2
SEÇÃO: Metodologia de Cálculo das Taxas de Juros do Crédito Rural (TCR) - 4 (*)
1 - Esta Seção dispõe sobre a metodologia para definição das taxas de juros aplicáveis às operações de crédito rural realizadas com recursos controlados, com exceção das operações com recursos dos Fundos Constitucionais de Financiamento, denominadas: Taxas de Juros do Crédito Rural (TCR).
2 - A apuração do saldo devedor das operações de crédito rural referidas no item 1, mediante a aplicação das TCR, deve observar o disposto na Seção do MCR que trata de Despesas, para fins de apuração dos respectivos saldos diários.
3 - Ficam estabelecidas as seguintes metodologias de cálculo das TCR aplicáveis às operações de crédito rural com recursos controlados, à exceção das operações com recursos dos Fundos Constitucionais de Financiamento:


4 - As siglas mencionadas nas metodologias de que trata esta Seção possuem as seguintes definições:
a) TCRpóscorresponde à Taxa de Juros do Crédito Rural pós-fixada;
b) TCRprécorresponde à Taxa de Juros do Crédito Rural prefixada;
c) FAM corresponde ao Fator de Atualização Monetária, apurado conforme metodologia definida nesta Seção;
d) FII corresponde ao Fator de Inflação Implícita, apurado conforme metodologia definida nesta Seção;
e) FP corresponde ao Fator de Programa, a ser definido em resolução do Conselho Monetário Nacional (CMN);
f) FA corresponde ao Fator de Ajuste (FA), a ser definido em resolução do CMN;
g) Jm corresponde à taxa de juros prefixada calculada e divulgada conforme os arts. 2º e 5º da Resolução nº 4.600, de 25 de setembro de 2017, e terá vigência de 1º de julho a 30 de junho do ano subsequente; e
h) DU corresponde ao número de dias úteis do mês de referência do cálculo em que incorrem encargos financeiros.
5 - Para as linhas de crédito rural com recursos controlados em que forem estabelecidas taxas de juros nas modalidades TCRprée TCRpós, cabe ao tomador, no ato da contratação, optar pela modalidade a ser utilizada.
6 - A TCRpósnão se aplica às operações de crédito rural contratadas com recursos da poupança rural.
7 - O FAM será apurado levando em consideração cada dia útil de vigência da operação de crédito, utilizando como referência a variação acumulada, para o mesmo período, do Índice Nacional de Preços ao Consumidor Amplo (IPCA), apurado e divulgado pela Fundação Instituto Brasileiro de Geografia e Estatística (IBGE).
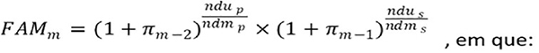
8 - Para cálculo do FAM, será utilizada a seguinte fórmula:

a) FAMm corresponde ao fator a ser aplicado durante o mês de referência "m", expresso com 6 (seis) casas decimais e arredondamento matemático;
b) pm-1corresponde à variação percentual do IPCA, apurado e divulgado pelo IBGE, referente ao primeiro mês anterior ao mês de referência "m", expressa em forma unitária com 4 (quatro) casas decimais;
c) pm-2corresponde à variação percentual do IPCA, apurado e divulgado pelo IBGE, referente ao segundo mês anterior ao mês de referência "m", expressa em forma unitária com 4 (quatro) casas decimais;
d) ndup corresponde ao número de dias úteis entre o dia 1º (inclusive) e o dia 15 (exclusive) do mês de referência "m";
e) ndus corresponde ao número de dias úteis entre o dia 15 (inclusive) e o último dia (inclusive) do mês de referência "m";
f) ndmp corresponde ao número total de dias úteis entre o dia 15 do primeiro mês anterior ao mês de referência "m" (inclusive) e o dia 15 do mês de referência "m" (exclusive); e
g) ndms corresponde ao número total de dias úteis entre o dia 15 do mês de referência "m" (inclusive) e o dia 15 do primeiro mês posterior ao mês de referência "m" (exclusive).
9 - Para fins de cálculo do FII, será aplicada a seguinte fórmula:


a) PRE corresponde à média aritmética simples das taxas apuradas a cada dia útil, relativas aos vértices de 5 (cinco) anos da estrutura a termo da taxa de juros dos títulos prefixados do Tesouro Nacional, Letras do Tesouro Nacional (LTN) e Notas do Tesouro Nacional, Série F (NTN-F), dos meses de fevereiro, março e abril de cada ano, expressa em forma anual, considerando a convenção de 252 dias úteis; e
b) Jm corresponde à taxa de juros, conforme alínea "g" do item 4.
10 - A estrutura a termo da taxa de juros, de que trata o item 9, para as taxas PRE, será estimada diariamente, no período de apuração da TCRpré, por meio de modelo paramétrico que utilize metodologia de minimização de erros em relação a preços de mercado das LTN e NTN-F.
11 - A base de dados para a apuração dos preços de mercado mencionados no item 10 será composta pelas operações definitivas realizadas no mercado secundário, registradas no Sistema Especial de Liquidação e de Custódia (Selic), para todos os vencimentos de LTN e NTN-F disponíveis.
12 - Serão excluídas da base de dados, segundo critérios do Banco Central do Brasil:
a) as LTN e NTN-F de determinada data de vencimento que sistematicamente não forem negociadas no mercado secundário; e
b) as operações realizadas com preços irrazoavelmente divergentes do preço médio de mercado.
13 - Caso não seja possível estimar adequadamente o preço de LTN ou NTN-F de um ou mais vencimentos por não haver, a critério do Banco Central do Brasil, negociações suficientes no mercado secundário, serão utilizados preços indicativos que tenham ampla aceitação como referência de preços no mercado financeiro nacional.
14 - Na eventual impossibilidade da estimação mencionada no item 10, inclusive em virtude de insuficiência de informações sobre negociações no mercado secundário e, simultaneamente, ausência dos preços indicativos mencionados no item 13, poderão ser adotados parâmetros estimados com base nos dados do dia útil imediatamente anterior.
15 - Os componentes FP, FA, Jm e FII, aplicados a cada contrato, serão mantidos constantes durante toda a vigência da operação de crédito rural.
16 - O Banco Central do Brasil, nos termos do inciso I do art. 6º da Lei nº 4.829, de 5 de novembro de 1965, deverá divulgar a taxa FII no último dia útil do mês de abril de cada ano, para vigência de 1º de julho a 30 de junho do ano subsequente.
17 - Fica o Banco Central do Brasil autorizado a baixar as normas e a adotar as medidas julgadas necessárias à execução do disposto na Resolução nº 4.664, de 6 de junho de 2018.
18 - Os Fatores de Programa aplicados na definição das taxas efetivas de juros de que trata esta Seção são os seguintes:
a) taxa efetiva de juros de 2,75% a.a.: -0,3770178;
b) taxa efetiva de juros de 4,0% a.a.: 0,0437610;
c) taxa efetiva de juros de 4,5% a.a.: 0,2120725;
d) taxa efetiva de juros de 5,0% a.a.: 0,3803840;
e) taxa efetiva de juros de 6,0% a.a.: 0,7170071;
f) taxa efetiva de juros de 7,0% a.a.: 1,0536301;
g) taxa efetiva de juros de 7,5% a.a.: 1,2219416.
19 - Na ausência de resolução do CMN estabelecendo valor específico, o Fator de Ajuste aplicado na definição das taxas efetivas de juros de que trata esta Seção será 0 (zero) para todas as operações.
TÍTULO: CRÉDITO RURAL
CAPÍTULO: Condições Básicas - 2
SEÇÃO: Metodologia de Cálculo das Taxas de Juros Rurais dos Fundos Constitucionais de Financiamento (TRFC) - 4-A (*)
1 - Esta Seção dispõe sobre a metodologia para definição das taxas de juros aplicáveis às operações de crédito rural realizadas com recursos dos Fundos Constitucionais de Financiamento, denominadas Taxas de Juros Rurais dos Fundos Constitucionais de Financiamento (TRFC).
2 - A apuração do saldo devedor das operações de crédito rural referidas no item 1, mediante a aplicação das TRFC, deve observar o disposto na Seção do MCR que trata de Despesas, para fins de apuração dos respectivos saldos diários.
3 - Ficam estabelecidas as seguintes metodologias de cálculo das TRFC incidentes em operações de crédito rural realizadas com recursos do Fundos Constitucionais de Financiamento do Norte (FNO), do Nordeste (FNE) e do Centro-Oeste (FCO), exceto as do Programa Nacional de Fortalecimento da Agricultura Familiar (Pronaf):


4 - As siglas mencionadas nas metodologias de que trata esta Seção possuem as seguintes definições:
a) TRFCpóscorresponde à Taxa de Juros Rural dos Fundos Constitucionais de Financiamento pós-fixada;
b) TRFCprécorresponde à Taxa de Juros Rural dos Fundos Constitucionais de Financiamento prefixada;
c) FAM corresponde ao Fator de Atualização Monetária, apurado conforme metodologia definida nesta Seção;
d) FII corresponde ao Fator de Inflação Implícita, apurado conforme metodologia definida nesta Seção;
e) BA corresponde ao Bônus de Adimplência aplicado aos encargos financeiros, da seguinte forma:
I - oitenta e cinco centésimos, desde que a parcela da dívida seja paga até a data do respectivo vencimento; e
II - um inteiro, nos demais casos;
f) CDR corresponde ao Coeficiente de Desequilíbrio Regional, a que se refere o § 9º do art. 1º e o art. 1º-D da Lei nº 10.177, de 12 de janeiro de 2001, devendo ser utilizado o coeficiente mais recente divulgado antes do início de cada ano agrícola, conforme § 1º do art. 4º do Decreto nº 9.291, de 21 de fevereiro de 2018, e que terá vigência de 1º de julho a 30 de junho do ano subsequente;
g) FP corresponde ao Fator de Programa, a ser definido em resolução do Conselho Monetário Nacional (CMN);
h) FA corresponde ao Fator de Ajuste, a ser definido em resolução do CMN;
i) Jm corresponde à taxa de juros prefixada calculada e divulgada conforme os arts. 2º e 5º da Resolução nº 4.600, de 25 de setembro de 2017, e que terá vigência de 1º de julho a 30 de junho do ano subsequente; e
j) DU corresponde ao número de dias úteis do mês de referência do cálculo em que incorrem encargos financeiros.
5 - No caso de desvio na aplicação dos recursos, o mutuário perderá, sem prejuízo das medidas judiciais cabíveis, inclusive de natureza executória, todo e qualquer benefício, especialmente os relativos ao bônus de adimplência.
6 - Para as linhas de crédito rural com recursos controlados em que forem estabelecidas taxas de juros nas modalidades TRFCprée TRFCpós, cabe ao tomador, no ato da contratação, optar pela modalidade a ser utilizada.
7 - O FAM será apurado levando em consideração cada dia útil de vigência da operação de crédito, utilizando como referência a variação acumulada, para o mesmo período, do Índice Nacional de Preços ao Consumidor Amplo (IPCA), apurado e divulgado pela Fundação Instituto Brasileiro de Geografia e Estatística (IBGE).
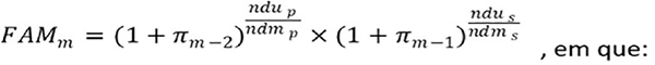
8 - Para cálculo do FAM, será utilizada a seguinte fórmula:


a) FAMm corresponde ao fator a ser aplicado durante o mês de referência "m", expresso com 6 (seis) casas decimais e arredondamento matemático;
b)pm-1corresponde à variação percentual do IPCA, apurado e divulgado pelo IBGE, referente ao primeiro mês anterior ao mês de referência m, expressa em forma unitária com 4 (quatro) casas decimais;
c)pm-2corresponde à variação percentual do IPCA, apurado e divulgado pelo IBGE, referente ao segundo mês anterior ao mês de referência m, expressa em forma unitária com 4 (quatro) casas decimais;
d) ndup corresponde ao número de dias úteis entre o dia 1º (inclusive) e o dia 15 (exclusive) do mês de referência "m";
e) ndus corresponde ao número de dias úteis entre o dia 15 (inclusive) e o último dia (inclusive) do mês de referência "m";
f) ndmp corresponde ao número total de dias úteis entre o dia 15 do primeiro mês anterior ao mês de referência m (inclusive) e o dia 15 do mês de referência m (exclusive); e
g) ndms corresponde ao número total de dias úteis entre o dia 15do mês de referência m (inclusive) e o dia 15 do primeiro mês posterior ao mês de referência m (exclusive).
9 - Os componentes FP, FA, Jm, FII e CDR aplicados a cada contrato serão mantidos constantes durante toda a vigência da operação de crédito rural.
10 - Para a definição das taxas de juros das operações de crédito rural ao amparo do Pronaf, realizadas com recursos dos Fundos Constitucionais de Financiamento do Norte, do Nordeste e do Centro-Oeste, deverão ser observadas as metodologias definidas nesta Seção.
11 - Fica o Banco Central do Brasil autorizado a baixar as normas e a adotar as medidas julgadas necessárias à execução do disposto na Resolução nº 4.673, de 26 de junho de 2018.
12 - Os Fatores de Programa aplicados na definição das taxas efetivas de juros de que trata esta Seção são os seguintes:
|
Tipo de Operação |
Receita Bruta Anual |
Fatores de Programa |
|
Investimento, inclusive com custeio ou capital de giro associado |
Até R$16 milhões |
0,3352245 |
|
de R$16 a R$90 milhões |
0,4585643 |
|
|
Acima de R$90 milhões |
0,5787417 |
|
|
Custeio ou capital de giro e comercialização |
Até R$16 milhões |
0,3731746 |
|
de R$16 a R$90 milhões |
0,5091665 |
|
|
Acima de R$90 milhões |
0,6419899 |
|
|
Operações florestais destinadas ao financiamento de projetos de conservação e proteção do meio ambiente, recuperação de áreas degradadas ou alteradas, recuperação de vegetação nativa e desenvolvimento de atividades sustentáveis, e no financiamento de projetos para inovação tecnológica nas propriedades rurais e para ampliação, modernização, reforma e construção de novos armazéns |
Qualquer valor |
0,1707757 |
13 - O bônus de adimplência será aplicado sobre a parcela da dívida paga até a data do respectivo vencimento, observada a metodologia definida nesta Seção.
14 - Os encargos financeiros e o bônus de adimplência estabelecidos nesta Seção não se aplicam às operações contratadas ao amparo do Pronaf.
15 - O Banco Central do Brasil, nos termos do inciso I do art. 6º da Lei nº 4.829, de 5 de novembro de 1965, deverá divulgar o Fator de Inflação Implícita no último dia útil do mês de abril de cada ano, para vigência de 1º de julho a 30 de junho do ano subsequente.
16 - Na ausência de resolução do CMN estabelecendo valor específico, o Fator de Ajuste aplicado na definição das taxas efetivas de juros de que trata esta Seção será 0 (zero) para todas as operações.
TÍTULO: CRÉDITO RURAL
CAPÍTULO: Condições Básicas - 2
SEÇÃO: Utilização - 5 (*)
1 - O crédito rural deve ser liberado diretamente ao mutuário de uma só vez ou em parcelas, por caixa ou em conta de depósitos, de acordo com as necessidades do empreendimento, devendo as utilizações obedecer a cronograma de aquisições e serviços.
2 - É lícita a liberação de parcelas do crédito para cobertura de gastos já realizados com recursos próprios do mutuário, sem que se configure recuperação de capital investido, quando preenchidas as seguintes condições cumulativas:
a) que os itens pertinentes constituam despesas que integrem o orçamento considerado para concessão do crédito;
b) que os gastos tenham sido realizados após a apresentação da proposta ou, inexistindo esta, após a formalização do crédito.
3 - A instituição financeira não pode retardar as liberações por omissão de providência de sua alçada ou da assistência técnica.
4 - As utilizações podem ser antecipadas ou adiadas, quando houver justificada conveniência para o empreendimento assistido.
5 - O crédito formalizado em instrumento de crédito de vários emitentes pode ser utilizado por qualquer deles individualmente, salvo se em cláusula especial se dispuser em contrário.
6 - Cumpre à instituição financeira abrir conta vinculada a cada crédito, exceto no desconto.
7 - As parcelas de crédito sujeitas a encargos financeiros diferentes devem ser registradas em contas vinculadas distintas.
8 - As utilizações, despesas e reembolsos devem ser registrados na conta vinculada, mesmo no caso de transferência para conta de depósitos.
9 - A liberação mediante transferência para conta de depósitos condiciona-se a que:
a) esteja prevista no instrumento de crédito;
b) ocorra à época ajustada para utilização de cada parcela;
c) não gere disponibilidade ociosa na conta de depósitos;
d) o mutuário tenha à sua disposição talonário ou meio eletrônico de transferência de fundos equivalente para livre movimentação da conta de depósitos.
10 - Comprova-se o uso adequado de recursos pela verificação de que o empreendimento foi correta e tempestivamente executado, devendo o produtor:
a) reter os comprovantes de aplicação na aquisição de insumos e no pagamento de mão de obra, para apresentá-los ao financiador, quando solicitados;
b) entregar ao financiador, no prazo de 30 (trinta) dias a contar da liberação, os documentos comprobatórios da aquisição de veículos, máquinas, equipamentos e animais.
11 - Relativamente aos comprovantes referidos na alínea "a" do item 10, em operações contratadas no âmbito do Programa Nacional de Fortalecimento da Agricultura Familiar (Pronaf), está dispensada a sua apresentação quando se tratar de insumos de produção própria ou de mão de obra própria da unidade familiar, desde que prevista no projeto ou proposta de crédito do empreendimento financiado.
12 - A aplicação irregular ou o desvio de parcelas do crédito sujeitam o mutuário à sua reposição, com as sanções pecuniárias pactuadas, contadas desde a data de sua liberação, sem prejuízo de demais sanções previstas neste Manual e na legislação aplicável.
13 - Admite-se a liberação de parcelas referentes a fertilizantes, corretivos, defensivos agrícolas ou sementes fiscalizadas ou certificadas, adquiridos até 180 (cento e oitenta) dias antes da formalização do crédito e destinados à lavoura financiada, desde que a aquisição dos produtos, comprovada por nota fiscal, seja compatível com o empreendimento financiado.
TÍTULO: CRÉDITO RURAL
CAPÍTULO: Condições Básicas - 2
SEÇÃO: Reembolso - 6 (*)
1 - Deve-se estabelecer o prazo e o cronograma de reembolso em função da capacidade de pagamento do beneficiário, de maneira que os vencimentos coincidam com as épocas normais de obtenção dos rendimentos da atividade assistida.
2 - Entende-se por carência o período em que o beneficiário fica desobrigado de amortizações, por falta de rendimentos ou pela recomendação técnica de aplicá-los no empreendimento.
3 - A soma da carência com o período de reembolso não pode exceder o prazo máximo previsto para o crédito.
4 - Independentemente de consulta ao Banco Central do Brasil, é autorizada a prorrogação da dívida, aos mesmos encargos financeiros antes pactuados no instrumento de crédito, desde que se comprove incapacidade de pagamento do mutuário, em consequência de:
a) dificuldade de comercialização dos produtos;
b) frustração de safras, por fatores adversos;
c) eventuais ocorrências prejudiciais ao desenvolvimento das explorações.
5 - O disposto no item 4:
a) é aplicável aos financiamentos contratados com equalização de encargos financeiros pelo Tesouro Nacional (TN), desde que as operações sejam previamente reclassificadas, pela instituição financeira, para recursos obrigatórios ou outra fonte não equalizável;
b) não é aplicável:
I - aos créditos de comercialização sujeitos a normas próprias aplicáveis à Política de Garantia de Preços Mínimos (PGPM);
II - aos financiamentos com recursos de fundos e programas de fomento, que estão sujeitos a normas próprias.
6 - A permanência de estoques de bens não entregues a cooperados pela cooperativa não constitui causa de prorrogação.
7 - A instituição financeira poderá renegociar operação de crédito rural em curso irregular, exceto por desvio de finalidade, desde que:
a) a operação seja reclassificada para fonte de recursos livres;
b) a operação não seja computada para fins de cumprimento de qualquer forma de direcionamento;
c) seja observado o disposto no MCR 6-1-14.
8 - A prorrogação de parcelas amparadas por recursos de fundos e programas de fomento e já recolhidas ao Tesouro Nacional corre à conta dos recursos próprios da instituição financeira.
9 - O atraso no cumprimento de qualquer obrigação pecuniária sujeita o mutuário ao pagamento de sanções nas bases pactuadas, contadas a partir da data do inadimplemento.
10 - A operação de crédito de custeio rural pendente de providências na esfera administrativa no âmbito do Programa de Garantia da Atividade Agropecuária (Proagro) deve ser prorrogada pelo prazo de até 180 (cento e oitenta) dias do vencimento, desde que:
a) esteja em curso normal;
b) a comunicação de perdas e o recurso à Comissão Especial de Recursos (CER) tenham sido apresentados tempestivamente.
TÍTULO: CRÉDITO RURAL
CAPÍTULO: Operações - 3
SEÇÃO: Formalização - 1 (*)
1 - O crédito rural pode ser formalizado nos títulos abaixo, observadas as disposições do Decreto-Lei nº 167, de 14 de fevereiro de 1967, e da Lei nº 10.931, de 2 de agosto de 2004:
a) Cédula Rural Pignoratícia (CRP);
b) Cédula Rural Hipotecária (CRH);
c) Cédula Rural Pignoratícia e Hipotecária (CRPH);
d) Nota de Crédito Rural (NCR);
e) Cédula de Crédito Bancário (CCB).
2 - Faculta-se a formalização do crédito rural mediante contrato no caso de peculiaridades insuscetíveis de adequação aos títulos descritos no item 1.
3 - Podem ser formalizados no mesmo instrumento ou separadamente, a critério do financiador, créditos:
a) para finalidades diversas;
b) relativos aos limites normais de financiamento e os excedentes.
4 - Os títulos de crédito devem ser utilizados de acordo com a natureza das garantias, a saber:
a) com garantia real:
I - penhor: CRP;
II - hipoteca: CRH;
III - penhor e hipoteca: CRPH;
b) com ou sem garantia real ou fidejussória: CCB e contrato;
c) sem garantia real: NCR.
5 - Os instrumentos de crédito podem ser aditados, retificados ou ratificados por meio de menções adicionais ou aditivos.
6 - Dispensa-se a lavratura de aditivo ou menção adicional aos instrumentos de crédito para:
a) efetivar prorrogação prevista no instrumento de crédito, sob as condições pactuadas;
b) reduzir encargos do emitente, desde que a vantagem lhe seja comunicada formalmente;
c) liberar bens vinculados em garantia.
7 - Cabe à instituição financeira, nos financiamentos contratados com recursos controlados:
a) informar ao mutuário sobre suas operações de crédito rural constantes no Sistema de Operações do Crédito Rural e do Proagro (Sicor), inclusive as contratadas por meio de cooperativas de produção agropecuária para atendimento a cooperado e de custeio das atividades exploradas sob regime de integração;
b) entregar ao mutuário, quando solicitado, cópia das informações referidas na alínea "a";
c) prestar, ao mutuário, os esclarecimentos necessários sobre:
I - os conceitos de recursos controlados do crédito rural e de ano agrícola;
II - os limites do crédito rural e a situação do mutuário em relação a eles; e
III - as ocorrências que configuram irregularidade na aplicação de recursos do crédito rural;
d) incluir cláusula, no instrumento de crédito, ou colher declaração do mutuário, nos termos do item 8; e
e) incluir, no dossiê da operação, a declaração referida na alínea "d", quando colhida.
8 - Na cláusula ou na declaração referida no item 7, o mutuário deve confirmar:
a) ter tomado ciência da existência de outros financiamentos "em ser" com recursos controlados, no mesmo ano agrícola, em qualquer instituição financeira integrante do Sistema Nacional de Crédito Rural (SNCR), com a informação dos valores já financiados, se for o caso;
b) ter recebido da instituição financeira os esclarecimentos referidos no item 7; e
c) ter ciência de que qualquer declaração falsa prestada à instituição financeira implica substituição, desde a data da contratação, da taxa de juros pactuada por taxa de mercado, sem prejuízo das demais sanções e penalidades previstas na legislação, inclusive no que se refere à obrigação da instituição financeira de comunicar indícios de crime de ação penal pública ou de fraude fiscal.
TÍTULO: CRÉDITO RURAL
CAPÍTULO: Operações - 3
SEÇÃO: Créditos de Custeio - 2 (*)
1 - O custeio rural classifica-se como agrícola e pecuário.
2 - O crédito de custeio pode se destinar ao atendimento das despesas normais:
a) do ciclo produtivo de lavouras periódicas, da entressafra de lavouras permanentes ou da extração de produtos vegetais espontâneos ou cultivados;
b) de exploração pecuária.
3 - Admite-se financiar como itens de custeio:
a) agrícola:
I - despesas de soca e ressoca de cana-de-açúcar, abrangendo os tratos culturais, a colheita e os replantios parciais;
II - a aquisição antecipada de insumos;
III - aquisição de silos (bags), limitada a 5% (cinco por cento) do valor do custeio;
b) pecuário:
I - aquisição de animais para recria e engorda, quando se tratar de empreendimento conduzido por produtor rural independente;
II - aquisição de insumos, em qualquer época do ano;
c) agrícola e pecuário: despesas de aquisição de insumos para a restauração e recuperação das áreas de reserva legal e das áreas de preservação permanente, inclusive controle de pragas e espécies invasoras, manutenção e condução de regeneração natural de espécies nativas e prevenção de incêndios.
4 - Para efeito de crédito de custeio, a apicultura, a avicultura, a piscicultura, a sericicultura, a aquicultura e a pesca comercial são consideradas exploração pecuária.
5 - Não são incluídos na apuração do limite de custeio rural com recursos controlados os créditos concedidos:
a) com recursos dos fundos constitucionais de financiamento regional; e
b) com recursos captados mediante emissão de Letras de Crédito do Agronegócio.
6 - Respeitado o limite de custeio rural com recursos controlados, o valor do crédito de custeio poderá ser ampliado em até 10% (dez por cento), desde que:
a) o valor adicional do crédito de custeio seja utilizado no financiamento de que trata a alínea "c" do item 3;
b) o plano ou projeto do financiamento de que trata a alínea "a" seja apresentado de forma separada do custeio para a atividade produtiva;
c) o beneficiário apresente o Cadastro Ambiental Rural (CAR) validado pelo órgão competente na respectiva unidade federativa do imóvel rural onde for realizado o empreendimento objeto do financiamento de custeio.
7 - O beneficiário pode obter financiamentos, ao amparo de recursos controlados, para custeio agrícola de mais de um produto e para custeio pecuário, desde que o valor dos financiamentos não ultrapasse o limite por produtor.
8 - Até 15% (quinze por cento) do valor total do orçamento, quando destinado a pequenos e médios produtores, pode incluir verbas para atendimento de pequenas despesas conceituadas como investimento, desde que possam ser liquidadas com o produto da exploração no mesmo ciclo, tais como: reparos ou reformas de bens de produção e de instalações, aquisição de animais de serviço, desmatamento, destoca e similares, inclusive aquisição, transporte, aplicação e incorporação de calcário agrícola.
9 - Admite-se que a cooperativa de crédito, com recursos não controlados do crédito rural, conceda a pequeno produtor financiamento isolado de custeio, para compra de medicamentos, agasalhos, roupas, utilidades domésticas e satisfação de outros gastos fundamentais ao bem-estar familiar.
10 - Nos financiamentos de itens de custeio para a aquisição antecipada de insumos devem ser observadas as seguintes condições:
a) o instrumento de crédito deve conter a identificação das lavouras a que se destinam os insumos adquiridos, especificando-se o valor correspondente a cada uma delas;
b) o valor do financiamento deve ser computado, para fins de verificação do limite de crédito por beneficiário, no ano agrícola em que ocorrer a contratação da operação;
c) o financiamento referido no caput deve ser computado para fins de definição do prazo máximo da operação.
11 - É vedado o deferimento de crédito para atender despesas cujas épocas ou ciclos de realização já tenham decorrido, admitindo-se, porém, considerar como recursos próprios do mutuário os gastos já realizados.
12 - O orçamento de custeio pecuário pode incluir verbas para limpeza e restauração de pastagens, fenação, silagem e formação de forragens periódicas de ciclo não superior a 2 (dois) anos, para consumo de rebanho próprio.
13 - Os prazos máximos para o reembolso dos créditos de custeio com recursos controlados, exceto os dos fundos constitucionais, são os seguintes:
a) agrícola:
I - 3 (três) anos para as culturas de açafrão e palmeira real (palmito);
II - 2 (dois) anos para as culturas bienais;
III - 14 (quatorze) meses para culturas permanentes;
IV - 1 (um) ano para as demais culturas;
b) pecuário:
I - 6 (seis) meses, no financiamento para aquisição de bovinos e bubalinos para engorda em regime de confinamento;
II - 2 (dois) anos quando o financiamento envolver a aquisição de bovinos e bubalinos para recria e engorda em regime extensivo e o crédito abranger as duas finalidades na mesma operação;
III - 1 (um) ano nos demais financiamentos.
14 - O vencimento do crédito de custeio agrícola deve ser fixado por prazo não superior a 60 (sessenta) dias após o término da colheita, ressalvado o disposto no item 15.
15 - Admite-se o alongamento e a reprogramação do reembolso de operações de crédito destinadas ao custeio agrícola, observadas as seguintes condições:
a) o mutuário deverá solicitar o alongamento após a colheita e até a data fixada para o vencimento;
b) o reembolso deve ser pactuado em observância ao prazo adequado à comercialização do produto e ao fluxo de receitas do beneficiário;
c) o produtor deve apresentar comprovante de que o produto está armazenado, mantendo-o como garantia do financiamento;
d) em caso de operações classificadas com fonte de recursos controlados, deve ser realizada a reclassificação para recursos não controlados.
16 - As operações destinadas ao financiamento de custeio de leite podem ser pactuadas com previsão de reembolso em parcelas mensais, iguais e sucessivas, vencendo a primeira até 90 (noventa) dias após a liberação do financiamento.
17 - O penhor do financiamento de custeio deve vincular somente a produção prevista para a área financiada, de forma a permitir ao produtor a obtenção de crédito de comercialização para a produção da mesma safra colhida em área não financiada.
18 - Caso a comercialização do produto vinculado em garantia do financiamento ocorra antes da data de vencimento pactuada, o saldo devedor do financiamento de custeio deve ser imediatamente amortizado ou liquidado pelo mutuário, proporcionalmente ao volume do produto comercializado.
19 - Admite-se a contratação de financiamento de custeio com previsão de renovação simplificada, observado o disposto nesta Seção e as seguintes condições específicas:
a) prazo: os previstos nesta Seção, com renovação automática a partir do dia seguinte ao pagamento do crédito referente à safra anterior;
b) a cada renovação, a instituição financeira fica obrigada a exigir do mutuário, no mínimo, orçamento simplificado contendo a localização do empreendimento, as atividades para o novo ciclo e o cronograma de desembolso, ou a autorização para a manutenção da localização, da atividade e do orçamento originais, efetuando, em todos os casos, o devido registro no Sistema de Operações do Crédito Rural e do Proagro (Sicor).
20 - No caso de atividades exploradas sucessivamente, cujos períodos de safra não são claramente definidos, a exemplo de hortigranjeiros, suinocultura e avicultura, o vencimento do crédito de custeio fica limitado a 1 (um) ano, devendo a instituição financeira, para esse efeito:
a) estabelecer a dispensa de amortizações periódicas na vigência do empréstimo, desde que sejam renovadas, ao término de cada ciclo de produção, as aquisições dos insumos para a etapa subsequente, de acordo com o orçamento;
b) fiscalizar a atividade assistida, em cada ciclo, para certificar-se do efetivo emprego dos recursos nas finalidades previstas.
TÍTULO: CRÉDITO RURAL
CAPÍTULO: Operações - 3
SEÇÃO: Créditos de Investimento - 3 (*)
1 - Classifica-se como crédito de investimento rural o financiamento com predominância de verbas para inversões fixas e semifixas em bens e serviços relacionados com a atividade agropecuária, ainda que o orçamento consigne recursos para custeio.
2 - São financiáveis os seguintes investimentos fixos:
a) construção, reforma ou ampliação de benfeitorias e instalações permanentes;
b) aquisição de máquinas e equipamentos de provável duração útil superior a 5 (cinco) anos;
c) obras de irrigação, açudagem, drenagem;
d) florestamento, reflorestamento, desmatamento e destoca;
e) formação de lavouras permanentes;
f) formação ou recuperação de pastagens;
g) eletrificação e telefonia rural;
h) proteção, correção e recuperação do solo, inclusive a aquisição, transporte e aplicação dos insumos para estas finalidades.
3 - São financiáveis os seguintes investimentos semifixos:
a) aquisição de animais para reprodução ou cria;
b) instalações, máquinas e equipamentos de provável duração útil não superior a 5 (cinco) anos;
c) aquisição de veículos, tratores, colheitadeiras, implementos, embarcações e aeronaves;
d) aquisição de equipamentos empregados na medição de lavouras.
4 - O orçamento ou plano de investimento pode prever verbas para:
a) despesas com projeto ou plano de custeio e de administração;
b) recuperação ou reforma de máquinas, tratores, embarcações, veículos e equipamentos, bem como aquisição de acessórios ou peças de reposição, salvo se decorrente de sinistro coberto por seguro;
c) o processo de georreferenciamento de propriedades rurais;
d) financiar a regularização ambiental da propriedade rural, podendo incluir custos referentes à inscrição no Cadastro Ambiental Rural (CAR) e à implementação das medidas previstas no termo de compromisso firmado pelo produtor quando da adesão ao Programa de Regularização Ambiental (PRA), inclusive a aquisição de Cotas de Reserva Ambiental (CRA), desde que definida no projeto técnico a viabilidade econômica das atividades desenvolvidas na propriedade para pagamento do crédito.
5 - As máquinas, tratores, veículos, embarcações, aeronaves, equipamentos e implementos financiados devem destinar-se especificamente à atividade agropecuária, observado que o crédito de investimento para aquisição desses bens, de forma isolada ou não, somente pode ser concedido para itens novos produzidos no Brasil que constem da relação de Credenciamento de Fabricantes Informatizado (CFI) do Banco Nacional de Desenvolvimento Econômico e Social (BNDES) e atendam aos parâmetros relativos aos índices mínimos de nacionalização definidos nos normativos do BNDES aplicáveis ao Finame Agrícola, exceto quando inexistir similar de fabricação nacional.
6 - São financiáveis os seguintes tipos de veículos:
a) caminhões, inclusive frigoríficos, isotérmicos ou graneleiros;
b) caminhonetes de carga, exceto veículos de cabine dupla, observado que o financiamento:
I - somente será concedido aos beneficiários que desenvolvam atividades de olericultura e fruticultura, observado que, no cálculo da capacidade de pagamento, especificado em projeto técnico, deve ficar comprovado que, no mínimo, 50% (cinquenta por cento) da receita gerada pela unidade de produção tenha origem em ao menos uma dessas atividades;
II - fica condicionado à apresentação da nota fiscal referente à aquisição do bem emitida pelo fabricante;
c) motocicletas adequadas às condições rurais, quando técnica e economicamente recomendável para o desenvolvimento da atividade rural.
7 - O crédito para aquisição de caminhões fica condicionado à comprovação da possibilidade de seu pleno emprego nas atividades agropecuárias do comprador durante, no mínimo, 120 (cento e vinte) dias por ano.
8 - É vedado o financiamento de veículo que se classifique como de passeio, pelo tipo ou acabamento.
9 - Conceitua-se como de investimento o crédito destinado a:
a) fundação ou ampliação de lavouras de cana, compreendendo os trabalhos preliminares, o plantio e os tratos subsequentes até a primeira safra (cana-planta);
b) renovação de lavouras de cana em áreas antes ocupadas por canaviais com ciclo produtivo esgotado (cana-planta, soca e ressoca), compreendendo todos os gastos necessários até a primeira safra, de acordo com a alínea "a".
10 - O beneficiário de crédito para investimento relativo à pecuária deve:
a) adotar medidas profiláticas e sanitárias em defesa dos rebanhos;
b) efetuar a marcação dos animais, com observância das normas legais.
11 - O financiamento está sujeito aos seguintes prazos máximos, que incluem a carência:
a) investimento fixo: 12 (doze) anos;
b) investimento semifixo: 6 (seis) anos, exceto quando se tratar de aquisição de animais para reprodução ou cria, cujo prazo será de até 5 (cinco) anos, incluído até 12 (doze) meses de carência.
12 - Admite-se que as instituições financeiras autorizadas a captar poupança rural utilizem os recursos da referida fonte para aplicação em operações de crédito rural de investimento nas condições vigentes para os programas com recursos do BNDES, cabendo ao Ministério da Economia definir os limites e a metodologia de equalização desses recursos, com base nos limites propostos pelo Ministério da Agricultura, Pecuária e Abastecimento (Mapa) por programa, observado o disposto no art. 4º da Lei nº 8.427, de 27 de maio de 1992.
TÍTULO: CRÉDITO RURAL
CAPÍTULO: Operações - 3
SEÇÃO: Créditos de Comercialização - 4 (*)
1 - O crédito de comercialização tem o objetivo de viabilizar ao produtor rural ou às suas cooperativas agropecuárias os recursos necessários à comercialização de seus produtos no mercado.
2 - O crédito de comercialização compreende:
a) pré-comercialização;
b) desconto de Duplicata Rural (DR) e de Nota Promissória Rural (NPR);
c) empréstimos a cooperativas para adiantamentos a associados, por conta de produtos entregues para venda, observados os preços de comercialização;
d) Financiamento Especial para Estocagem de Produtos Agropecuários (FEE);
e) financiamento de proteção de preços e/ou prêmios de risco de equalização de preços;
f) financiamento para garantia de preços ao produtor (FGPP).
3 - O crédito de pré-comercialização:
a) consiste no suprimento de recursos a produtores rurais ou a suas cooperativas para atender as despesas inerentes à fase imediata à colheita da produção própria ou de cooperados;
b) visa a permitir a venda da produção sem precipitações nocivas aos interesses do produtor, nos melhores mercados, mas não pode ser utilizado para favorecer a retenção especulativa de bens, notadamente em caso de escassez de produtos alimentícios para o abastecimento interno;
c) pode ser concedido isoladamente ou como extensão do custeio;
d) tem prazo máximo de 240 (duzentos e quarenta) dias.
4 - Podem ser objeto de desconto DR e NPR oriundas da venda ou entrega de produção comprovadamente própria, inclusive quando beneficiada ou industrializada pelo produtor rural ou por sua cooperativa.
5 - O endossatário ou portador de DR ou NPR não tem direito de regresso contra o primeiro endossante e seus avalistas.
6 - São nulas as garantias dadas no desconto de DR ou NPR, salvo quando prestadas pelas pessoas físicas participantes da empresa emitente, por esta ou por outras pessoas jurídicas.
7 - O disposto nos itens 5 e 6 não se aplica às transações realizadas entre produtores rurais ou entre estes e suas cooperativas.
8 - Relativamente ao desconto de títulos:
a) é vedado o desconto de título originário de contrato de compra e venda antecipada, com promessa de futura entrega dos bens;
b) devem ser observados os seguintes prazos máximos, contados da emissão ao vencimento:
I - até 90 (noventa) dias, quando referentes a algodão em caroço, feijão e feijão macacar;
II - até 180 (cento e oitenta) dias, quando referentes a açaí, alho, amendoim, arroz, borracha natural, café, castanha-do-pará, casulo de seda, farinha de mandioca, fécula de mandioca, goma e polvilho, girassol, guaraná, juta ou malva embonecada, mamona em baga, milho, milho pipoca, sisal, soja, sorgo e sementes;
III - até 240 (duzentos e quarenta) dias, quando referentes a algodão em pluma, caroço de algodão, castanha-de-caju, cera de carnaúba e pó cerífero e leite;
IV - até 120 (cento e vinte) dias, quando referentes aos demais produtos agropecuários.
9 - No caso de desconto de DR e NPR relativo a produtos vinculados a garantia de financiamento de custeio ou de estocagem, a instituição financeira deve transferir os recursos liberados ao credor da respectiva operação, até o valor necessário à liquidação do respectivo saldo devedor.
10 - As operações de desconto de DR e NPR representativas da comercialização de leite in natura para agroindústria, e a concessão de créditos a cooperativas para adiantamento a associados por conta de leite entregue para venda, exceto aquelas ao amparo dos recursos dos fundos constitucionais de financiamento regional, ficam restritas ao:
a) volume correspondente a até 20% (vinte por cento) da capacidade de recepção da respectiva agroindústria, por ano agrícola;
b) prazo de até 240 (duzentos e quarenta) dias.
11 - O FEE destina-se a financiar o armazenamento e a conservação dos produtos agropecuários, visando a comercialização em melhores condições de mercado, tendo como beneficiários os produtores rurais e suas cooperativas de produção agropecuária, bem como os produtores de sementes registrados no órgão da administração pública federal responsável.
12 - O FEE tem como base o preço mínimo dos produtos amparados pela Política de Garantia de Preços Mínimos (PGPM) e o preço de referência dos produtos constantes das tabelas dispostas ao final desta Seção, admitidos ágios e deságios definidos pela Companhia Nacional de Abastecimento (Conab) de acordo com o tipo e qualidade do produto.
13 - É vedada a concessão do FEE para o produto que tenha sido objeto de financiamento de custeio com alongamento e reprogramação do vencimento da operação.
14 - O limite do crédito, por tomador para as operações de FEE e de desconto de DR e NPR, não deve considerar os créditos de comercialização concedidos com recursos dos fundos constitucionais de financiamento regional.
15 - O beneficiário pode contratar FEE para mais de um produto, desde que respeitado o limite por produtor para cada ano agrícola.
16 - O somatório dos créditos para estocagem com recursos controlados fica sujeito ao limite de crédito de comercialização com recursos controlados.
17 - Sem prejuízo da possibilidade de a instituição financeira antecipar a realização do financiamento, o FEE destinado a produtos classificados como semente fica limitado a 80% (oitenta por cento) da quantidade identificada no termo de conformidade ou certificado de semente, observado ainda o seguinte:
a) o mutuário dispõe de prazo de até 150 (cento e cinquenta) dias para efetuar a identificação do grão ou caroço como semente;
b) deverá ser desclassificada a parcela de valor da operação proporcional à quantidade não identificada como semente na forma da alínea "a";
c) o preço de referência do financiamento deverá ter como base, no mínimo, o preço mínimo dos produtos amparados pela PGPM ou aqueles definidos nas tabelas dispostas ao final no item 26.
18 - É vedada a concessão de FEE para as atividades de avicultura de corte, de piscicultura e de suinocultura exploradas sob regime de parceria.
19 - Admite-se a transferência de titularidade/responsabilidade em operações de FEE de algodão, de produtores para indústrias beneficiadoras de algodão ou consumidoras de pluma, quando as respectivas partes resolverem negociar o produto vinculado.
20 - Embora de livre convenção entre as partes, as garantias do FEE devem incorporar o penhor dos produtos estocados ou seus derivados.
21 - O saldo da operação de FEE deve ser amortizado ou liquidado na ocorrência de comercialização, parcial ou total, do produto vinculado em penhor, admitida a manutenção do curso normal da operação, desde que preservada a correspondência de valor da garantia em relação ao saldo devedor do financiamento, mediante substituição do produto apenhado por:
a) outro da mesma espécie ou por títulos representativos da venda desses bens, observado que os prazos de vencimento desses títulos não poderão ser superiores ao de vencimento do respectivo FEE;
b) algodão em pluma, nas operações que tenham por objeto algodão em caroço;
c) derivados do produto in natura objeto do financiamento.
22 - No caso do FEE relativo a produtos vinculados a financiamento de custeio, a instituição financeira deve transferir os recursos liberados ao credor da operação de custeio, até o valor necessário à liquidação do respectivo saldo devedor.
23 - O FEE para derivados de uva concedido a produtores rurais fica condicionado à apresentação de contrato formalizado entre o produtor e cooperativa ou indústria para processamento da uva e armazenamento de seus derivados.
24 - O FEE para a uva industrial fica sujeito, além das normas gerais do crédito rural, às seguintes condições:
a) vencimento máximo: 31 de dezembro do ano subsequente ao da contratação;
b) amortizações mensais de:
I - 15% (quinze por cento), nos meses de maio a agosto do ano subsequente ao da contratação;
II - 10% (dez por cento), nos meses de setembro a dezembro do ano subsequente ao da contratação.
25 - As operações de FEE relativas a produtos e sementes ficam sujeitas às seguintes condições específicas:
a) prazos máximos de vencimento:
I - 90 (noventa) dias para feijão, feijão caupi e algodão em caroço, sendo que, para este último, o prazo poderá ser estendido por mais 150 (cento e cinquenta) dias, desde que ocorra a substituição por algodão em pluma;
II - 180 (cento e oitenta) dias para açaí, arroz, borracha natural, café, castanha do Brasil, farinha de mandioca, fécula de mandioca, goma e polvilho, juta e malva embonecada e prensada, milho, soja, sorgo, sisal, trigo, sementes e os produtos constantes das tabelas do item 26;
III - 240 (duzentos e quarenta) dias para algodão em pluma, caroço de algodão, cera de carnaúba e pó cerífero e leite;
IV - 120 (cento e vinte) dias para andiroba (amêndoa), babaçu (amêndoa), baru (fruto), cacau (amêndoa), cacau cultivado (amêndoa), juçara (fruto), laranja, macaúba (fruto), mangaba (fruto), pequi (fruto), piaçava (fibra), pinhão (fruto), e umbu (fruto);
b) a critério da instituição financeira, podem ser estabelecidas amortizações intermediárias;
c) as operações devem se referir à produção própria obtida na safra vigente, observadas as regiões ou unidades da Federação e o período de vigência dos preços mínimos, de acordo com portaria do órgão da administração pública federal responsável;
d) admite-se o alongamento do prazo do vencimento inicial ou único, para até 60 (sessenta) dias após a colheita do respectivo produto, no caso de FEE de sementes de algodão, arroz, milho, soja, sorgo, trigo, amendoim, cevada e triticale contra a apresentação de comprovantes de venda a prazo de safra;
e) os preços mínimos para cada safra e as respectivas áreas de abrangência são definidos por deliberação do Conselho Monetário Nacional (CMN) e publicados por meio de portaria do órgão da administração pública federal responsável.
26 - As operações ao amparo do FEE, de produtos não integrantes da PGPM, devem observar os seguintes valores de referência a partir do ano agrícola 2020/2021:
|
a) Culturas de Inverno - Safra 2020/2021 |
||||
|
I - Grãos |
||||
|
Produtos |
Regiões e Estados amparados |
Unidade |
Tipo/Classe Básico |
Preços de Referência (R$/unidade) |
|
Alho |
Sul |
kg |
- |
7,13 |
|
Centro-Oeste, Nordeste e Sudeste |
6,06 |
|||
|
Aveia |
Sul |
60 kg |
1 |
36,30 |
|
Canola |
Centro-Oeste, Sudeste e Sul |
Único |
58,43 |
|
|
Cevada |
36,08 |
|||
|
Girassol |
57,12 |
|||
|
Triticale |
25,28 |
|||
|
II - Sementes(1) |
||||
|
Produtos |
Regiões e Estados amparados |
Unidade |
Tipo/Classe Básico |
Preços de Referência (R$/unidade) |
|
Aveia |
Sul |
kg |
Único |
1,03 |
|
Cevada |
Centro-Oeste, Sudeste e Sul |
0,94 |
||
|
Girassol |
1,32 |
|||
|
Triticale |
0,72 |
|||
|
(1) Genética, básica e certificada S1 e S2, de acordo com o artigo 35 do Decreto nº 5.153, de 23 de julho de 2004, que regulamentou a Lei nº 10.711, de 5 de agosto de 2003. |
||||
|
b) Culturas de Verão e Regionais - Safra 2020/2021 e 2021 |
||||
|
I - Grãos e gramínea |
||||
|
Produtos |
Regiões e Estados amparados |
Unidade |
Tipo/Classe Básico |
Preços de Referência (R$/unidade) |
|
Amendoim |
Brasil |
25 kg |
- |
30,41 |
|
Castanha de caju |
Nordeste e Norte |
kg |
Único |
3,98 |
|
Casulo de seda |
PR e SP |
15% Seda |
17,72 |
|
|
Guaraná |
Centro-Oeste e Norte |
1 |
18,35 |
|
|
Nordeste |
10,70 |
|||
|
Mamona (baga) |
Brasil |
60 kg |
Único |
108,21 |
|
Milho pipoca |
Centro-Oeste, Sudeste, Sul e BA-Sul |
kg |
- |
0,65 |
|
II - Sementes(1) |
||||
|
Produtos |
Regiões e Estados amparados |
Unidade |
Tipo/Classe Básico |
Preços de Referência (R$/unidade) |
|
Amendoim |
Brasil |
kg |
- |
4,58 |
|
(1) Genética, básica e certificada S1 e S2, de acordo com o artigo 35 do Decreto nº 5.153, de 23 de julho de 2004, que regulamentou a Lei nº 10.711, de 5 de agosto de 2003. |
||||
|
c) Demais Produtos |
||||
|
Produtos |
Regiões e Estados amparados |
Unidade |
Tipo/Classe Básico |
Preços de Referência (R$/unidade) |
|
Abacaxi |
Brasil |
kg |
- |
0,64 |
|
Acerola |
0,91 |
|||
|
Banana |
0,75 |
|||
|
Goiaba |
0,47 |
|||
|
Lã ovina |
||||
|
- Ideal e Merino |
23,00 |
|||
|
- Corriedale |
10,35 |
|||
|
- Romney e cruzamentos |
6,33 |
|||
|
- Demais |
4,60 |
|||
|
Maçã |
0,77 |
|||
|
Mamão |
0,37 |
|||
|
Manga |
1,21 |
|||
|
Maracujá |
1,89 |
|||
|
Mel de abelha |
8,50 |
|||
|
Morango |
3,05 |
|||
|
Pêssego |
0,70 |
|||
|
Suíno vivo |
4,15 |
|||
|
Tomate industrial |
0,21 |
|||
TÍTULO: CRÉDITO RURAL
CAPÍTULO: Operações - 3
SEÇÃO: Créditos de Industrialização - 5 (*)
1 - O crédito de industrialização se destina:
a) a produtor rural para industrialização de produtos agropecuários em sua propriedade rural, desde que, no mínimo, 50% (cinquenta por cento) da produção a ser beneficiada ou processada seja de produção própria; e
b) a cooperativas, na forma definida na seção Industrialização do capítulo deste manual que disciplina a concessão de Créditos a Cooperativas de Produção Agropecuária, desde que, no mínimo, 50% (cinquenta por cento) da produção a ser beneficiada ou processada seja de produção própria ou de associados.
2 - Admite-se financiar como itens de industrialização:
a) beneficiamento, a exemplo das ações de limpeza, secagem, pasteurização, refrigeração, descascamento e padronização dos produtos, entre outras;
b) aquisição de insumos, a exemplo de embalagens, rótulos, condimentos, conservantes, adoçantes, entre outros;
c) despesas com mão-de-obra, manutenção e conservação de equipamentos e aquisição de materiais secundários indispensáveis ao processamento industrial; e
d) seguro e impostos referentes ao processo de industrialização.
3 - O reembolso do crédito de industrialização deve ser adequado ao ciclo de comercialização dos produtos resultantes do processo, respeitado o prazo máximo de 2 (dois) anos para a uva e de 1 (um) ano para os demais produtos.
4 - O limite do crédito para as operações de industrialização não deve considerar os créditos de industrialização concedidos com recursos dos fundos constitucionais de financiamento regional.
TÍTULO: CRÉDITO RURAL
CAPÍTULO: Operações - 3
SEÇÃO: Normas Transitórias - 7 (*)
1 - Excepcionalmente, no ano agrícola 2020/2021, fica autorizada a contratação de Financiamento Especial para Estocagem de Produtos Agropecuários (FEE), para a comercialização de cana-de-açúcar, observados os preços de referência de R$94,08/t (noventa e quatro reais e oito centavos por tonelada) para a região Norte e Nordeste, e de R$78,82/t (setenta e oito reais e oitenta e dois centavos por tonelada) para a região Centro-Oeste, Sudeste e Sul, e as seguintes condições específicas quando se tratar de financiamento ao amparo de recursos controlados:
a) limite de crédito: os constantes na tabela que estabelece o limite de crédito, por tomador, para as operações de FEE e de desconto de Duplicata Rural (DR) e de Nota Promissória Rural (NPR);
b) encargos financeiros: os previstos na tabela que dispõe sobre taxas de juros do crédito rural;
c) prazo de reembolso: até 240 (duzentos e quarenta) dias;
d) garantias: livremente pactuada entre as partes, admitida a substituição do penhor por etanol e açúcar ou qualquer outra garantia aceita pela instituição financeira;
e) apresentação de contrato formal entre o beneficiário e a usina para o processamento da cana-de-açúcar e armazenamento de seus derivados.
2 - Excepcionalmente, no ano agrícola 2020/2021, admite-se que a contratação de FEE para a comercialização de produtos da pesca comercial por captura e da aquicultura, observe as seguintes condições específicas:
a) prazo de reembolso: até 240 (duzentos e quarenta) dias;
b) garantias: livremente pactuada entre as partes, admitida a substituição do penhor por qualquer outra garantia aceita pela instituição financeira;
c) apresentação de contrato formal entre o beneficiário e a empresa de conservação, beneficiamento, transformação ou industrialização de pescados e de produtos da aquicultura para o armazenamento do produto ou de seus derivados.