Selecionar tag(s):
Normativo inserido em:
Voltar Marcar no calendário a norma atual pela data:
Selecione uma agência:
Descrição/resumo da norma:

CIRCULAR BACEN Nº 3.677, DE 31.10.2013

Altera dispositivos da Circular nº 3.638, de 4 de março de 2013.

A Diretoria Colegiada do Banco Central do Brasil, em sessão extraordinária realizada em 31 de outubro de 2013, com base no disposto nos arts. 9º, 10, inciso IX, e 11, inciso VII, da Lei nº 4.595, de 31 de dezembro de 1964, e nos arts. 3º, § 2º, e 15 da Resolução nº 4.193, de 1º de março de 2013,

RESOLVE:

Art. 1º O inciso III do art. 1º da Circular nº 3.638, de 4 de março de 2013, passa a vigorar com a seguinte redação:

“Art. 1º ............................................................................................................

..........................................................................................................................

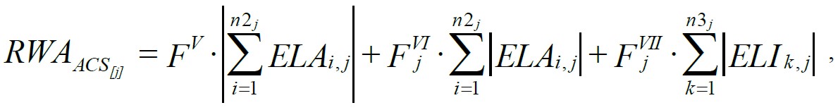
III - RWAACS[J] = parcela referente ao risco das operações sujeitas à variação do preço de ações, no país "j", calculada com base na seguinte fórmula:

anexo 3677 formulaem que:

a) n2j = número de emitentes aos quais está exposta a instituição no país "j";

b) n3j = número de índices de ações aos quais está exposta a instituição no país "j";

c) ELAi,j = exposição líquida em ações do emitente "i" no país "j", observados os procedimentos descritos no art. 2º;

d) ELIk,j = exposição líquida em contratos referenciados ao índice de ações "k" no país "j", observados os procedimentos descritos no art. 2º;

e) FV = fator de risco geral, aplicável ao valor absoluto do somatório das exposições líquidas em ações (ELAi,j), igual a 0,08 (oito centésimos);

f) FjVI = fator de risco específico no país "j", aplicável ao somatório dos valores absolutos das exposições líquidas em ações (ELAj), igual a 0,08 (oito centésimos); e

g) FjVII = fator de risco específico no país "j", aplicável ao somatório dos valores absolutos das exposições líquidas em contratos referenciados a índices de ações (ELIk,j), igual a 0,02 (dois centésimos).” (NR)

Art. 2º O § 4º do art. 2º da Circular nº 3.638, de 2013, passa a vigorar com a seguinte redação:

“Art. 2º ............................................................................................................

..........................................................................................................................

§ 4º Na apuração da exposição líquida em ações ELAi,j, as posições referenciadas em um mesmo índice de ações devem ser consideradas, a critério da instituição e desde que adotado de forma consistente, como:

I - uma posição de um emitente; ou

II - posições nas ações do índice, de forma proporcional à sua composição.” (NR)

Art. 3º O art. 2º da Circular nº 3.638, de 2013, fica acrescido do § 5º, com a seguinte redação, renumerando-se os §§ 5º e 6º para 6º e 7º, respectivamente:

“Art. 2º ............................................................................................................

..........................................................................................................................

§ 5º Na apuração da exposição líquida em contratos referenciados a índices de ações ELIk,j, as posições referenciadas em um mesmo índice de ações devem ser consideradas como uma posição de um índice.

§ 6º Os valores das posições detidas em decorrência de aplicações em cotas de fundos de investimento devem ser tratados de forma consistente com base na composição proporcional de suas carteiras ou, na sua impossibilidade, como uma posição de um emitente.

§ 7º Não integram a base de cálculo as operações nas quais a instituição atue exclusivamente como intermediadora, não assumindo quaisquer direitos ou obrigações para com as partes.” (NR)

Art. 4º Esta Circular entra em vigor em 1º de janeiro de 2014.

Luiz Awazu Pereira da Silva
Diretor de Regulação 

(DOU de 04.11.2013 - pág. 53 - Seção 1)


Tags Legismap:
BACEN Normas (BCB/CMN)