CIRCULAR BACEN Nº 3.638, DE 04.03.2013
Estabelece os procedimentos para o cálculo da parcela dos ativos ponderados pelo risco (RWA) referente às exposições sujeitas à variação do preço de ações cujo requerimento de capital é calculado mediante abordagem padronizada (RWAACS), de que trata a Resolução nº 4.193, de 1º de março 2013.
A Diretoria Colegiada do Banco Central do Brasil, em sessão extraordinária realizada em 1º de março de 2013, com base no disposto nos arts. 9º, 10, inciso IX, e 11, inciso VII, da Lei nº 4.595, de 31 de dezembro de 1964, e nos arts. 3º, § 2º, e 15 da Resolução nº 4.193, de 1º de março 2013,
RESOLVE:
Art. 1º O cálculo diário da parcela dos ativos ponderados pelo risco (RWA), relativa às exposições sujeitas à variação do preço de ações cujo requerimento de capital é calculado mediante abordagem padronizada (RWAACS), de que trata a Resolução nº 4.193, de 1º de março 2013, deve corresponder à soma algébrica das frações RWAACS relativas a cada país onde a instituição apresenta exposição dessa natureza.
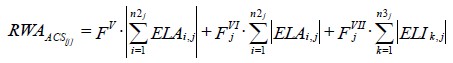
Parágrafo único. O cálculo referido no caput aplica-se às operações classificadas na carteira de negociação, na forma da Resolução nº 3.464, de 26 de junho de 2007, e deve ser efetuado com base na seguinte fórmula:
em que:
I - F = fator estabelecido no art. 4º da Resolução 4.193, de 2013;
II - n = número de países em que a instituição realiza operações sujeitas à variação do preço de ações;
III - RWAACS[j] = parcela referente ao risco das operações sujeitas à variação do preço de ações, no país "j", calculada com base na seguinte fórmula:

em que:
a) n2j = número de emitentes aos quais está exposta a instituição no país "j";
b) n3j = número de índices de ações aos quais está exposta a instituição no país "j";
c) ELAi,j = exposição líquida em ações do emitente "i" no país "j", observados os procedimentos descritos no art. 2º;
d) ELIk,j = exposição líquida em contratos referenciados ao índice de ações "k" no país "j", observados os procedimentos descritos no art. 2º;
e) FV = fator de risco geral, aplicável ao valor absoluto do somatório das exposições líquidas em ações (ELAi,j), igual a 0,08 (oito centésimos);
f) FjVI = fator de risco específico no país "j", aplicável ao somatório dos valores absolutos das exposições líquidas em ações (ELAi,j), igual a 0,08 (oito centésimos); e
g) FjVII = fator de risco específico no país "j", aplicável ao somatório dos valores absolutos das exposições líquidas em contratos referenciados a índices de ações (ELIk,j), igual a 0,02 (dois centésimos).
(Nota: Inciso III com redação dada, a partir de 01.01.2014, pela Circular nº 3.677, de 31.10.2013.)
Art. 2º O cálculo do valor diário da parcela RWAACS, de que trata o art. 1º, aplica-se às exposições em ações e aos instrumentos financeiros derivativos nelas referenciados no dia a que se refira a apuração. (Nota: Redação dada, a partir de 1º/10/2019, pela Circular nº 3.947, de 25/6/2019.)
§ 1º As exposições relativas a recibos de depósito (Depositary Receipts) devem ser consideradas como exposições nas ações que esses representam, considerando-se o país de origem dessas ações para fins da apuração de que trata o caput.
§ 2º A exposição líquida em ações e instrumentos financeiros derivativos nelas referenciados – ELAi, j – deve ser obtida, para cada emitente "i" em determinado país "j", pelo valor absoluto do somatório, em reais, dos valores de mercado de todas as posições compradas menos o valor absoluto do somatório, em reais, dos valores de mercado de todas as posições vendidas.
§ 3º No caso de contratos de opções, o valor representativo da posição deve ser obtido multiplicando-se o valor de mercado do ativo subjacente pela quantidade de contratos, pelo seu tamanho e pelo delta da opção, que é definido como a variação do preço da opção em relação à variação do preço de seu ativo objeto.
§ 4º Na apuração da exposição líquida em ações ELAi,j, as posições referenciadas em um mesmo índice de ações devem ser consideradas, a critério da instituição e desde que adotado de forma consistente, como: (Nota: Redação dada, a partir de 01.01.2014, pela Circular nº 3.677, de 31.10.2013.)
I - uma posição de um emitente; ou
II - posições nas ações do índice, de forma proporcional à sua composição.
§ 5º Na apuração da exposição líquida em contratos referenciados a índices de ações ELIk,j, as posições referenciadas em um mesmo índice de ações devem ser consideradas como uma posição de um índice. (Nota: Incluído, a partir de 01.01.2014, pela Circular nº 3.677, de 31.10.2013.)
§ 6º Os valores das posições detidas em decorrência de aplicações em cotas de fundos de investimento devem ser tratados de forma consistente com base na composição proporcional de suas carteiras ou, na sua impossibilidade, como uma posição de um emitente. (Nota: Renumerado de § 5º para § 6º, a partir de 01.01.2014, pela Circular nº 3.677, de 31.10.2013.)
§ 7º Não integram a base de cálculo as operações nas quais a instituição atue exclusivamente como intermediadora, não assumindo quaisquer direitos ou obrigações para com as partes. (Nota: Renumerado de § 6º para § 7º, a partir de 01.01.2014, pela Circular nº 3.677, de 31.10.2013.)
Art. 3º A metodologia de apuração do valor de mercado das exposições sujeitas à variação do preço de ações deve ser estabelecida com base em critérios consistentes e passíveis de verificação, em conformidade com as normas em vigor.
Parágrafo único. Cabe à instituição do conglomerado responsável pela remessa de informações contábeis ao Banco Central do Brasil a apuração consolidada da parcela RWAACS .
Art. 4º Deve ser encaminhado ao Banco Central do Brasil, na forma a ser estabelecida, relatório detalhando a apuração da parcela RWAACS.
Parágrafo único. As instituições devem manter à disposição do Banco Central do Brasil, pelo prazo de cinco anos, as informações utilizadas para a apuração diária da parcela RWAACS, assim como a metodologia utilizada para apuração do valor de mercado das respectivas operações.
Art. 5º Esta Circular entra em vigor em 1º de outubro de 2013.
Art. 6º Fica revogada, a partir de 1º de outubro de 2013, a Circular nº 3.366, de 12 de setembro de 2007.
Parágrafo único. As citações à Circular nº 3.366, de 2007, passam a ter como referência esta Circular.
Luiz Awazu Pereira da Silva
Diretor de Regulação do Sistema Financeiro
(DOU de 06.03.2013 - pág. 17 - Seção 1)