CONTEÚDO
RESOLUÇÃO CMN Nº 4.881, DE 23.12.2020
Dispõe sobre o cálculo e a informação do Custo Efetivo Total (CET) relativo a operações de crédito e de arrendamento mercantil financeiro.
O Banco Central do Brasil, na forma do art. 9º da Lei nº 4.595, de 31 de dezembro de 1964, torna público que o Conselho Monetário Nacional, em sessão realizada de 18 a 23 de dezembro de 2020, com base nos arts. 4º, incisos VI e VIII, da referida Lei, e 7º e 23, alínea "a", da Lei nº 6.099, de 12 de setembro de 1974, resolveu:
CAPÍTULO I
DO OBJETO E DO ÂMBITO DE APLICAÇÃO
Art. 1º Esta Resolução dispõe sobre o cálculo e a informação do Custo Efetivo Total (CET) pelas instituições financeiras e pelas sociedades de arrendamento mercantil na oferta ou na contratação de operação de crédito e de arrendamento mercantil financeiro com pessoas naturais, inclusive empresários individuais, ou com pessoas jurídicas classificadas como microempresas e empresas de pequeno porte, nos termos da Lei Complementar nº 123, de 14 de dezembro de 2006.
CAPÍTULO II
DA DEFINIÇÃO E DO CÁLCULO DO CET
Art. 2º O CET é uma taxa que representa, na data de seu cálculo, de forma consolidada, os encargos e as despesas das operações de que trata o art. 1º.
Art. 3º O cálculo do CET deve abranger o valor do crédito a ser concedido e os valores a serem cobrados do interessado na operação, considerando amortizações, juros, tarifas, tributos, seguros e outras despesas vinculadas à operação, conforme as condições pactuadas, inclusive as relativas ao pagamento de serviços de terceiros contratados pela instituição de responsabilidade do tomador, mesmo quando essas despesas não forem inseridas no valor do crédito concedido.
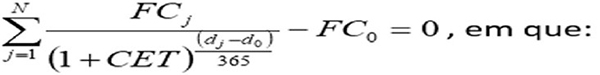
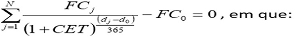
Art. 4º O CET deve ser calculado de acordo com a seguinte fórmula:
![]()

I - FC0 = valor do crédito a ser concedido, deduzido, se for o caso, das despesas e tarifas pagas antecipadamente;
II - FCj = valores a serem cobrados do interessado na operação, periódicos ou não, incluindo as amortizações, juros, tarifas, tributos e seguros, quando for o caso, bem como qualquer outro custo ou encargo cobrado vinculado à operação;
III - j = j-ésimo intervalo existente entre a data do pagamento dos valores periódicos e a data do desembolso inicial, expresso em dias corridos;
IV - N = prazo do contrato, expresso em dias corridos;
V - dj = data do pagamento dos valores cobrados (FCj); e
VI - d0 = data da liberação do crédito pela instituição (FC0).
Parágrafo único. O CET deve ser:
I - expresso na forma de taxa percentual anual; e
II - divulgado com duas casas decimais, utilizando-se as Regras de Arredondamento na Numeração Decimal (NBR 5891), estabelecidas pela Associação Brasileira de Normas Técnicas (ABNT).
Art. 5º Nas operações de que trata o art. 1º que utilizarem referenciais de remuneração cujo valor se altere no decorrer do prazo da operação, como taxas flutuantes ou índices de preços, esses parâmetros:
I - não devem ser considerados no cálculo do CET; e
II - devem ser informados no demonstrativo de que trata o art. 7º.
Art. 6º O CET relativo a operações de adiantamento a depositantes, de desconto, de cheque especial e com características de crédito rotativo deve considerar no cálculo os seguintes parâmetros:
I - o prazo de trinta dias; e
II - o valor do limite de crédito pactuado.
CAPÍTULO III
DAS MEDIDAS DE TRANSPARÊNCIA
Art. 7º As instituições devem, previamente à contratação das operações de que trata o art. 1º, informar o CET ao pretendente ao crédito e apresentar o demonstrativo de cálculo.
§ 1º O demonstrativo de que trata o caput deve informar o valor em reais de cada componente do fluxo de recebimentos e de pagamentos relacionados à operação, na forma definida no art. 3º, e os respectivos percentuais em relação ao valor total devido, bem como o valor do somatório das parcelas que compõem a operação.
§ 2º O demonstrativo de que trata o caput deve permanecer à disposição do Banco Central do Brasil pelo prazo mínimo de cinco anos, contado da data de sua apresentação ao cliente.
§ 3º No caso de contratação da operação, o demonstrativo deve ser inserido de forma destacada no respectivo contrato.
Art. 8º As instituições devem informar o CET nos informes publicitários das operações de que trata o art. 1º em relação às quais sejam apresentadas as taxas de juros do crédito ofertado.
CAPÍTULO IV
DISPOSIÇÕES FINAIS
Art. 9º O disposto nesta Resolução não se aplica a operações de repasses de recursos externos e a operações de crédito rural.
Art. 10. Fica o Banco Central do Brasil autorizado a baixar as normas e a adotar as medidas necessárias à execução do disposto nesta Resolução.
Art. 11. Ficam revogados:
I - a Resolução nº 3.517, de 6 de dezembro de 2007;
II - a Resolução nº 3.909, de 30 de setembro de 2010;
III - a Resolução nº 4.197, de 15 de março de 2013; e
IV - o art. 3º da Resolução nº 4.699, de 27 de novembro de 2018.
Art. 12. Esta Resolução entra em vigor em 1º de fevereiro de 2021.
BRUNO SERRA FERNANDES
Presidente do Banco Central do Brasil Substituto
(DOU de 24.12.2020 – pág. 100 – Seção 1)