Selecionar tag(s):
Normativo inserido em:
Voltar Marcar no calendário a norma atual pela data:
Selecione uma agência:
Descrição/resumo da norma:

RESOLUÇÃO CMN Nº 4.664, DE 06.06.2018

Dispõe sobre metodologia de cálculo das taxas de juros aplicáveis às operações de crédito rural com recursos controlados, com exceção das operações com recursos dos Fundos Constitucionais de Financiamento.

O Banco Central do Brasil, na forma do art. 9º da Lei nº 4.595, de 31 de dezembro de 1964, torna público que o Conselho Monetário Nacional, em sessão realizada em 25 de maio de 2018, de acordo com os arts. 4º, inciso VI, da Lei nº 4.595, de 1964, 4º e 14 da Lei nº 4.829, de 5 de novembro de 1965, e 8º da Lei nº 11.524, de 24 de setembro de 2007,

RESOLVEU:

Art. 1º Esta Resolução dispõe sobre a metodologia para definição das taxas de juros aplicáveis às operações de crédito rural realizadas com recursos controlados, com exceção das operações com recursos dos Fundos Constitucionais de Financiamento, denominadas: Taxas de Juros do Crédito Rural (TCR).

Parágrafo único. A apuração do saldo devedor das operações de crédito rural referidas no caput, mediante a aplicação das TCR, deve observar o disposto na Seção 4 (Despesas) do Capítulo 2 (Condições Básicas) do Manual de Crédito Rural (MCR), para fins de apuração dos respectivos saldos diários.

Art. 2º Ficam estabelecidas as seguintes metodologias de cálculo das TCR aplicáveis às operações de crédito rural com recursos controlados, à exceção das operações com recursos dos Fundos Constitucionais de Financiamento:

I - TCRpós = FAM x [1 + (FP x Jm) - FA]DU/252 – 1; e

II - TCRpré = { FIIDU/252 x [1 + (FP x Jm)]DU/252} – 1.

§ 1º As siglas mencionadas nas metodologias de que trata o caput possuem as seguintes definições:

I - TCRpós corresponde à Taxa de Juros do Crédito Rural pós-fixada;

II - TCRpré corresponde à Taxa de Juros do Crédito Rural prefixada;

III - FAM corresponde ao Fator de Atualização Monetária, apurado conforme metodologia definida no art. 3º desta Resolução;

IV - FII corresponde ao Fator de Inflação Implícita, apurado conforme metodologia definida no art. 4º desta Resolução;

V - FP corresponde ao Fator de Programa (FP), a ser definido em resolução;

VI - FA corresponde ao Fator de Ajuste (FA), a ser definido em resolução;

VII - Jm corresponde à taxa de juros prefixada calculada e divulgada conforme os arts. 2º e 5º da Resolução nº 4.600, de 25 de setembro de 2017, e terá vigência de 1º de julho a 30 de junho do ano subsequente; e

VIII - DU corresponde ao número de dias úteis do mês de referência do cálculo em que incorrem encargos financeiros.

§ 2º O tomador da operação de crédito rural poderá optar pela utilização da taxa de juros, no ato da contratação:

I - pós-fixada descrita no inciso I do caput do art. 2º; ou II - prefixada descrita no inciso II do caput do art. 2º.

§ 3º A TCRpós não se aplica às operações de crédito rural contratadas com recursos da poupança rural.

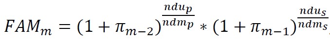
Art. 3º O FAM, de que trata o inciso I do caput do art. 2º, será apurado levando em consideração cada dia útil de vigência da operação de crédito, utilizando como referência a variação acumulada, para o mesmo período, do Índice Nacional de Preços ao Consumidor Amplo (IPCA), apurado e divulgado pela Fundação Instituto Brasileiro de Geografia e Estatística (IBGE).

Parágrafo único. Para cálculo do FAM, será utilizada a seguinte fórmula:

res 4664 formula, emque:

I - FAMm corresponde ao fator a ser aplicado durante o mês de referência “m” às operações de crédito a que se refere o art. 2º, expresso com seis casas decimais e arredondamento matemático;

II - πm−1 corresponde à variação percentual do IPCA, apurado e divulgado pela IBGE, referente ao primeiro mês anterior ao mês de referência “m”, expressa em forma unitária com quatro casas decimais;

III - πm−2 corresponde à variação percentual do IPCA, apurado e divulgado pela IBGE, referente ao segundo mês anterior ao mês de referência “m”, expressa em forma unitária com quatro casas decimais;

IV - ndup corresponde ao número de dias úteis entre o dia 1º (inclusive) e o dia 15 (exclusive) do mês de referência “m” das operações de crédito a que se refere o caput do art. 1º;

V - ndus corresponde ao número de dias úteis entre o dia 15 (inclusive) e o último dia (inclusive) do mês de referência “m” das operações de crédito a que se refere o caput do art. 1º;

VI - ndmp corresponde ao número total de dias úteis entre o dia 15 do primeiro mês anterior ao mês de referência “m” (inclusive) e o dia 15 do mês de referência “m” (exclusive); e

VII - ndms corresponde ao número total de dias úteis entre o dia 15 do mês de referência “m” (inclusive) e o dia 15 do primeiro mês posterior ao mês de referência “m” (exclusive).

Art. 4º Para fins de cálculo do FII, de que trata o inciso II do art. 2º, será aplicada a seguinte fórmula:

FII = (1 + PRE) / (1 + Jm), em que:

I - PRE corresponde à média aritmética simples das taxas apuradas a cada dia útil, relativas aos vértices de cinco anos da estrutura a termo da taxa de juros dos títulos prefixados do Tesouro Nacional, Letras do Tesouro Nacional (LTN) e Notas do Tesouro Nacional, Série F (NTN-F), dos meses de fevereiro, março e abril de cada ano, expressa em forma anual, considerando a convenção de 252 dias úteis; e

II - Jm corresponde à taxa de juros, conforme o inciso VII do § 1º do art. 2º.

Art. 5º A estrutura a termo da taxa de juros, de que trata o art. 4º, para as taxas PRE, será estimada diariamente, no período de apuração da TCRpré, por meio de modelo paramétrico que utilize metodologia de minimização de erros em relação a preços de mercado das LTN e NTN-F.

§ 1º A base de dados para a apuração dos preços de mercado mencionados no caput deste artigo será composta pelas operações definitivas realizadas no mercado secundário, registradas no Sistema Especial de Liquidação e de Custódia (Selic), para todos os vencimentos de LTN e NTN-F disponíveis.

§ 2º Serão excluídas da base de dados, segundo critérios do Banco Central do Brasil:

I - as LTN e NTN-F de determinada data de vencimento que sistematicamente não forem negociadas no mercado secundário; e

II - as operações realizadas com preços irrazoavelmente divergentes do preço médio de mercado.

§ 3º Caso não seja possível estimar adequadamente o preço de LTN ou NTN-F de um ou mais vencimentos, por não haver, a critério do Banco Central do Brasil, negociações suficientes no mercado secundário, serão utilizados preços indicativos que tenham ampla aceitação como referência de preços no mercado financeiro nacional.

§ 4º Na eventual impossibilidade da estimação mencionada no caput deste artigo, inclusive em virtude de insuficiência de informações sobre negociações no mercado secundário e, simultaneamente, ausência dos preços indicativos mencionados no § 3º, poderão ser adotados parâmetros estimados com base nos dados do dia útil imediatamente anterior.

Art. 6º Os componentes FP, FA, Jm e FII, aplicados a cada contrato, serão mantidos constantes durante toda a vigência da operação de crédito rural.

Art. 7º O Banco Central do Brasil, nos termos do inciso I do art. 6º da Lei nº 4.829, de 5 de novembro de 1965, deverá divulgar a taxa FII no último dia útil do mês de abril de cada ano, para vigência de 1º de julho a 30 de junho do ano subsequente.

Art. 8º As taxas de juros vigentes entre 1º de julho de 2018 e 30 de junho de 2019, excepcionalmente, serão definidas utilizando para o cálculo da FII preços indicativos que tenham ampla aceitação como referência de preços no mercado financeiro nacional.

Art. 9º Fica o Banco Central do Brasil autorizado a baixar as normas e a adotar as medidas julgadas necessárias à execução do disposto nesta Resolução.

Art. 10. Esta Resolução entra em vigor na data de sua publicação.

Ilan Goldfajn
Presidente do Banco Central do Brasil 

(DOU de 07.06.2018 - Seção 1 - pág. 22/23)


Tags Legismap:
CMN Normas (BCB/CMN) Resolução CMN