RESOLUÇÃO CMN Nº 4.624, DE 18.01.2018
Altera e consolida as normas relativas à metodologia de cálculo da Taxa Básica Financeira (TBF) e da Taxa Referencial (TR).
O Banco Central do Brasil, na forma do art. 9º da Lei nº 4.595, de 31 de dezembro de 1964, torna público que o Conselho Monetário Nacional, em sessão extraordinária realizada em 18 de janeiro de 2018, com base nos arts. 1º da Lei nº 8.177, de 1º de março de 1991, 1º da Lei nº 8.660, de 28 de maio de 1993, e 5º da Lei nº 10.192, de 14 de fevereiro de 2001,
RESOLVEU:
Art. 1º A Taxa Básica Financeira (TBF), de que trata o art. 5º da Lei nº 10.192, de 14 de fevereiro de 2001, e a Taxa Referencial (TR), de que tratam os arts. 1º da Lei nº 8.177, de 1º de março de 1991, e 1º da Lei nº 8.660, de 28 de maio de 1993, serão calculadas a partir de taxas de juros negociadas no mercado secundário com Letras do Tesouro Nacional (LTN).
Art. 2º Será constituída, a cada dia útil, base de dados composta por todas as operações definitivas realizadas no mercado secundário, registradas no Sistema Especial de Liquidação e de Custódia (Selic), com LTNs de prazo de vencimento imediatamente anterior, ou coincidente, e imediatamente posterior ao prazo de um mês.
§ 1º Da base de dados referida no caput, serão excluídas, de cada vencimento de LTN, as operações que apresentarem taxa com variação superior a 15% (quinze por cento) em relação à taxa média apurada no dia anterior para o respectivo vencimento.
§ 2º Observado o disposto no § 1º, as operações remanescentes serão submetidas a tratamento estatístico baseado na ferramenta box-plot, de tal forma que sejam eliminadas as que apresentarem taxas:
I - superiores à taxa referente ao terceiro quartil acrescida de uma vez e meia o intervalo entre o primeiro e o terceiro quartis; e
II - inferiores à taxa referente ao primeiro quartil deduzida de uma vez e meia o intervalo entre o primeiro e o terceiro quartis.
§ 3º Para fins do disposto no § 2º, a definição dos quartis e de suas respectivas taxas será baseada nos montantes financeiros das operações.
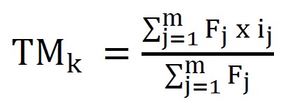
Art. 3º Para cada vencimento de LTN que compõe a base de dados de que trata o art. 2º, será calculada a taxa de juros média (TM), de acordo com a seguinte fórmula:

, em que:
I - Fj corresponde ao montante financeiro da j-ésima operação definitiva do k-ésimo vencimento de LTN;
II - ij corresponde à taxa de juros da j-ésima operação definitiva do k-ésimo vencimento de LTN, expressa sob a forma anual, com quatro casas decimais, considerando a convenção de 252 dias úteis; e
III - “m” corresponde ao número de operações definitivas com o k-ésimo vencimento de LTN.
§ 1º Se um dos vencimentos de LTN, depois de aplicado o tratamento estatístico previsto nos §§ 1º e 2º do art. 2º, não apresentar ao menos seis negócios no mercado secundário no dia, será utilizada taxa de juros indicativa que tenha ampla aceitação como referência de preços no mercado financeiro nacional para ambos os vencimentos de LTN.
§ 2º Na hipótese de não haver LTN com prazo de vencimento inferior ou coincidente ao prazo de um mês, será utilizada a taxa Selic como taxa indicativa de LTN com prazo de vencimento de um dia útil.
Art. 4º Para cada dia do mês - dia de referência -, o Banco Central do Brasil deve calcular a TBF, para o período de um mês, com início no próprio dia de referência e término no dia correspondente ao dia de referência no mês seguinte, considerada a hipótese prevista no § 1º do art. 5º.
Parágrafo único. Quando inexistente o dia correspondente ao dia de referência no mês seguinte, será considerado como término do período o dia primeiro do segundo mês posterior ao do dia de referência.
Art. 5º A TBF será calculada a partir das taxas de juros das LTNs apuradas conforme o art. 3º, de acordo com a seguinte metodologia:
I - em se tratando o dia de referência de dia útil, a TBF deve ser obtida por interpolação, de acordo com a seguinte fórmula:

que:
a) TJANT corresponde à taxa de juros da LTN com prazo de vencimento imediatamente anterior ou coincidente ao prazo de um mês, caso existente, ou à taxa Selic efetiva
apurada no dia, expressa sob a forma anual, conforme a convenção de 252 dias úteis;
b) TJPOS corresponde à taxa de juros da LTN com prazo de vencimento imediatamente posterior ao prazo de um mês, expressa sob a forma anual, conforme a convenção de 252 dias úteis;
c) DUTBF corresponde ao prazo, em dias úteis, da TBF;
d) DUANT corresponde ao prazo, em dias úteis, da LTN com prazo de vencimento imediatamente anterior ou coincidente ao prazo de um mês, caso existente, ou um dia útil; e
e) DUPOS corresponde ao prazo, em dias úteis, da LTN com prazo de vencimento imediatamente posterior ao prazo de um mês;
II - em se tratando o dia de referência de dia não útil, a TBF deve ser obtida de acordo com a fórmula apresentada no inciso I, considerando as taxas de juros das LTNs apuradas conforme disposto no art. 3º, para o dia útil imediatamente posterior ao dia de referência; e
III - em se tratando o dia de referência do último dia útil do ano, a TBF deve ser obtida de acordo com a seguinte fórmula:
TBFz = 100 x [(1 + TBFu /100) nz/nu - 1] (%), em que:
a) TBFz corresponde à TBF relativa ao último dia útil do ano;
b) TBFu corresponde à TBF relativa ao penúltimo dia útil do ano, calculada de acordo com o inciso I;
c) “nz” corresponde ao número de dias úteis compreendidos no período do último dia útil do ano, inclusive, ao dia correspondente de janeiro, exclusive; e
d) “nu” corresponde ao número de dias úteis compreendidos no período de vigência da TBFu.
§ 1º Quando a data de referência for o dia primeiro de um mês com número de dias maior que o número de dias do mês anterior, devem ser calculadas, de acordo com os incisos I e II do caput, tantas TBFs adicionais quanto for a diferença entre os números de dias desses meses, válidas para os períodos compreendidos entre o dia primeiro do mês em curso (data de referência) e os dias do próprio mês que não tenham correspondência no mês anterior.
§ 2º Na eventual impossibilidade de estimar a TBF para determinada data de referência, inclusive em virtude de insuficiência de informações sobre negociações no mercado secundário e, simultaneamente, ausência dos preços indicativos mencionados no § 1º do art. 3º, a taxa será determinada de acordo com a seguinte fórmula:
TBFi = 100 x [(1 + TBFj /100) ni/nj - 1] (%), em que:
I - TBFi corresponde à TBF relativa à data de referência;
II - TBFj corresponde à TBF relativa ao último dia útil para o qual tenha sido calculada a TBF;
III - ni corresponde ao número de dias úteis do período de vigência da TBFi; e
IV - nj corresponde ao número de dias úteis do período de vigência da TBFj.
§ 3º A TBF será expressa sob a forma mensal, com quatro casas decimais.
Art. 6º Para cada TBF obtida, segundo a metodologia descrita no art. 5º, deve ser calculada a correspondente TR, pela aplicação de um redutor “R”, de acordo com a seguinte fórmula:
TR = max { 0 ; 100 x {[ (1 + TBF/100) / R ] - 1}} (%)
§ 1º O valor do redutor “R” deve ser calculado para todos os dias, inclusive não úteis, de acordo com a seguinte fórmula:
R = (a + b x TBF/100), em que:
I - TBF corresponde à TBF relativa ao dia de referência;
II - “a” corresponde a 1,005; e
III - “b” corresponde ao valor obtido na tabela abaixo, em função da TBF relativa ao dia de referência, expressa em termos percentuais ao ano, considerando a convenção de 252 dias úteis:
§ 2º O Banco Central do Brasil deve calcular o redutor “R” utilizando, no processo, todas as casas decimais dos valores envolvidos, procedendo ao arredondamento do valor final para quatro casas decimais, com utilização das Regras de Arredondamento na Numeração Decimal (NBR 5891) estabelecidas pela Associação Brasileira de Normas Técnicas (ABNT).
|
TBF (% a.a) |
b |
|
TBF maior que 16,0 |
0,48 |
|
TBF menor ou igual a 16,0 e maior que 15,0 |
0,44 |
|
TBF menor ou igual a 15,0 e maior que 14,0 |
0,40 |
|
TBF menor ou igual a 14,0 e maior que 13,0 |
0,36 |
|
TBF menor ou igual a 13,0 e maior ou igual a 10,5 |
0,32 |
|
TBF menor que 10,5 e maior ou igual a 10,0 |
0,31 |
|
TBF menor que 10 e maior ou igual a 9,5 |
0,26 |
|
TBF menor que 9,5 |
0,23 |
§ 3º Os valores do redutor “R” devem ser divulgados pelo Banco Central do Brasil quando da divulgação da TR.
§ 4º A TR será expressa sob a forma mensal, com quatro casas decimais.
Art. 7º O Banco Central do Brasil deve divulgar as TBFs e as correspondentes TRs no primeiro dia útil posterior ao dia de referência mencionado no caput do art. 4º.
Parágrafo único. Caso o dia de referência seja dia não útil, a divulgação de que trata o caput deve ocorrer até o segundo dia útil posterior ao dia de referência.
Art. 8º Esta Resolução entra em vigor na data de sua publicação, produzindo efeitos a partir do cálculo da TBF e da TR relativas ao dia 1º de fevereiro de 2018.
Art. 9º Ficam revogados:
I - na data de publicação desta Resolução, o § 2º do art. 1º da Resolução nº 3.354, de 31 de março de 2006; e
II - em 1º de fevereiro de 2018, as Resoluções nºs 3.354, de 31 de março de 2006, 3.446, de 5 de março de 2007, 3.530, de 31 de janeiro de 2008, e 4.240, de 28 de junho de 2013.
Ilan Goldfajn
Presidente do Banco Central do Brasil
(DOU de 19.01.2018 - Seção 1 - pág. 19/20, e retificado em 25.01.2018 - Seção 1 - pág. 99)