RESOLUÇÃO CMN Nº 4.623, DE 02.01.2018
Altera a Resolução nº 4.171, de 20 de dezembro de 2012, que estabelece critérios, condições e prazos para a concessão de financiamentos ao amparo de recursos do Fundo de Desenvolvimento da Amazônia (FDA), do Fundo de Desenvolvimento do Nordeste (FDNE) e do Fundo de Desenvolvimento do Centro-Oeste (FDCO), entre outras condições.
O Banco Central do Brasil, na forma do art. 9º da Lei nº 4.595, de 31 de dezembro de 1964, torna público que o Conselho Monetário Nacional, em sessão extraordinária realizada em 2 de janeiro de 2018, com base no art. 4º, inciso VI, da Lei nº 4.595, de 1964, no art. 14 da Lei nº 12.712, de 30 de agosto de 2012, no art. 14 do Regulamento anexo ao Decreto nº 7.838, de 9 de novembro de 2012, no art. 14 do Regulamento anexo ao Decreto nº 7.839, de 9 de novembro de 2012, e no art. 13 do Regulamento anexo ao Decreto nº 8.067, de 14 de agosto de 2013,
RESOLVEU:
Art. 1º A Resolução nº 4.171, de 20 de dezembro de 2012, passa a vigorar com as seguintes alterações:
“Art. 1º ............................................................................................................
..........................................................................................................................
VIII - ................................................................................................................
..........................................................................................................................
g) taxa efetiva de juros de 7,35% a.a. (sete inteiros e trinta e cinco centésimos por cento ao ano) até 9,5% a.a. (nove inteiros e cinco décimos por cento ao ano), para as operações contratadas de 1º de abril de 2017 a 31 de dezembro de 2017, conforme o Anexo I; e
h) taxa efetiva de juros dos Fundos de Desenvolvimento (TFD), para as operações contratadas a partir de 1º de janeiro de 2018.
..........................................................................................................................
§ 6º A TFD de que trata a alínea “h” do inciso VIII do caput será apurada mensalmente de acordo com a seguinte fórmula:
TFD = {FAM * [1 + (CDR * FP * Juros Prefixados da TLP)]DU/252 - 1} + {[(1+REMAG)1/12] - 1}, em que:
I - FAM corresponde ao Fator de Atualização Monetária (FAM), de que trata o inciso I do art. 1º-A da Lei nº 10.177, de 12 de janeiro de 2001, apurado conforme metodologia definida no § 7º deste artigo;
II - CDR corresponde ao Coeficiente de Desequilíbrio Regional (CDR), mencionado nos arts. 1º-A, inciso III, e 1º-D da Lei nº 10.177, de 2001;
III - FP corresponde ao Fator de Programa (FP), calculado de acordo com o tipo de operação ou finalidade do projeto, conforme Anexo III desta Resolução, assim definido:
a) fator 0,65 (sessenta e cinco centésimos), para projeto tipo A;
b) fator 0,85 (oitenta e cinco centésimos), para projeto tipo B;
c) fator 1,05 (um inteiro e cinco centésimos), para projeto tipo C; e
d) fator 1,25 (um inteiro e vinco e cinco centésimos), para projeto tipo D;
IV - Juros Prefixados da TLP corresponde à taxa de juros prefixada mencionada no caput do art. 3º da Lei nº 13.483, de 21 de setembro de 2017, e apurada conforme metodologia definida no § 9º deste artigo;
V - DU corresponde ao número de dias úteis do mês a que se refere a TFD;
VI - REMAG corresponde à remuneração dos agentes operadores definida no art. 4º desta Resolução, expressa em forma unitária com quatro casas decimais.
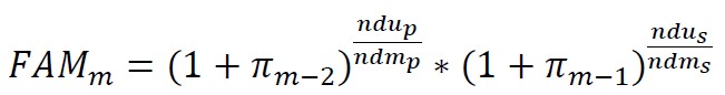
§ 7º Para fins de cálculo do FAM de que trata o art. 1º, § 6º, inciso I, desta Resolução será aplicada a seguinte fórmula:

, em que:
I - FAMm corresponde ao fator a ser aplicado durante o mês de referência m
às operações de crédito a que se refere o art. 1º, inciso VIII, alínea “h”, desta Resolução, expresso com seis casas decimais e arredondamento matemático;
II - πm-1 corresponde à variação percentual do Índice Nacional de Preços ao Consumidor Amplo (IPCA), apurado e divulgado pela Fundação Instituto Brasileiro de Geografia e Estatística (IBGE), referente ao primeiro mês anterior ao mês de referência m, expressa em forma unitária com quatro casas decimais;
III - πm-2 corresponde à variação percentual do Índice Nacional de Preços ao Consumidor Amplo (IPCA), apurado e divulgado pela Fundação Instituto Brasileiro de Geografia e Estatística (IBGE), referente ao segundo mês anterior ao mês de referência m, expressa em forma unitária com quatro casas decimais;
IV - ndup é igual ao número de dias úteis entre o dia 1º (inclusive) e o dia 15 (exclusive) do mês de referência m das operações de crédito a que se refere o art. 1º, inciso VIII, alínea “h”, desta Resolução;
V - ndus é igual ao número de dias úteis entre o dia 15 (inclusive) e o último dia (inclusive) do mês de referência m das operações de crédito a que se refere o art. 1º, inciso VIII, alínea “h”, desta Resolução;
VI - ndmp é igual ao número total de dias úteis entre o dia 15 do primeiro mês anterior ao mês de referência m (inclusive) e o dia 15 do mês de referência m (exclusive);
VII - ndms é igual ao número total de dias úteis entre o dia 15 do mês de referência m (inclusive) e o dia 15 do primeiro mês posterior ao mês de referência m (exclusive).
§ 8º O FAM deve ser apurado levando em consideração cada dia útil de vigência da operação de crédito, utilizando como referência a variação percentual do IPCA referente:
I - ao segundo mês anterior ao mês de referência m, pro rata die, para atualizações até o dia 14 (inclusive) de cada mês; e
II - ao segundo mês anterior ao mês de referência m, pro rata die, até o dia 14 (inclusive) de cada mês, conjugado ao primeiro mês anterior ao mês de referência m, pro rata die, a partir do dia 15 (inclusive), para atualizações posteriores ao dia 14 (exclusive) de cada mês.
§ 9º Para fins de cálculo dos Juros Prefixados da TLP (J) de que trata o art. 1º, § 6º, inciso IV, desta Resolução, será aplicada a seguinte fórmula:
J = ak ∗ Jm / 100 , em que:
I - ak corresponde ao fator de ajuste de que tratam o § 1º do art. 3º da Lei nº 13.483, de 2017, e o art. 4º da Resolução nº 4.600, de 25 de setembro de 2017; e
II - Jm corresponde à taxa de juros prefixada de que tratam os arts. 2º e 3º da Resolução nº 4.600, de 2017.
§ 10. A taxa “J” a que se refere o § 9º, estipulada para determinada operação de crédito, será:
I - fixada com base na taxa de juros “Jm” e no fator de ajuste “ak” vigentes no mês de contratação da operação de financiamento; e
II - aplicada de forma uniforme até o vencimento da operação de crédito.” (NR)
“Art. 3º ............................................................................................................
..........................................................................................................................
II - ....................................................................................................................
..........................................................................................................................
a) de 4,85% a.a. (quatro inteiros e oitenta e cinco centésimos por cento ao ano) até 7% a.a. (sete inteiros por cento ao ano) sobre o saldo devedor de cada operação contratada de 1º de abril de 2017 a 31 de dezembro de 2017, conforme o Anexo I; e
b) equivalente à TFD, conforme metodologia definida no art. 1º, §§ 6º a 10, desta Resolução, descontada da remuneração dos agentes operadores definida no art. 4º desta Resolução, sobre o saldo devedor de cada operação contratada a partir de 1º de janeiro de 2018.
...............................................................................................................” (NR)
Art. 2º A Resolução nº 4.171, de 2012, passa a vigorar acrescida do anexo a esta Resolução.
Art. 3º Esta Resolução entra em vigor na data de sua publicação.
Ilan Goldfajn
Presidente do Banco Central do Brasil
(DOU de 03.01.2018 - Seção 1 - pág. 140)
ANEXO
(Anexo III à Resolução nº 4.171, de 20 de dezembro de 2012)
Fator de Programa
|
Tipo de Projeto |
Prioridade Setorial da Sudene |
Prioridade Espacial da Sudam/Sudene/Sudeco |
Infraestrutura |
Fator de Programa |
|
A |
x |
x |
x |
0,65 |
|
B |
x |
x |
|
0,85 |
|
C |
x |
|
x |
1,05 |
|
D |
x |
|
|
1,25 |