RESOLUÇÃO CMN Nº 4.622, DE 02.01.2018
Dispõe sobre metodologia de cálculo dos encargos financeiros incidentes sobre os financiamentos de operações de crédito não rural com recursos dos Fundos Constitucionais de Financiamento do Norte, do Nordeste e do Centro-Oeste de que trata o art. 1º-A da Lei nº 10.177, de 12 de janeiro de 2001.
O Banco Central do Brasil, na forma do art. 9º da Lei nº 4.595, de 31 de dezembro de 1964, torna público que o Conselho Monetário Nacional, em sessão extraordinária realizada em 2 de janeiro de 2018, com base no § 6º do art. 1º-A da Lei nº 10.177, de 12 de janeiro de 2001,
RESOLVEU:
Art. 1º Os encargos financeiros incidentes sobre os financiamentos de operações de crédito não rural com recursos dos Fundos Constitucionais de Financiamento do Norte, do Nordeste e do Centro-Oeste (Taxa de Juros dos Fundos Constitucionais - TFC), de que trata o art. 1º-A da Lei nº 10.177, de 12 de janeiro de 2001, serão apurados mensalmente, de acordo com a seguinte fórmula:
(TFC) = (FAM) x [1 + (BA x CDR x FP x FL x Juros Prefixados da TLP)]^(DU/252) - 1, em que:
(Nota: Redação dada pela Resolução nº 4.672, de 26.06.2018)
I - FAM corresponde ao Fator de Atualização Monetária (FAM), de que trata o inciso I do art. 1º-A da Lei nº 10.177, de 2001, apurado conforme metodologia definida no art. 2º desta Resolução;
II - BA corresponde ao Bônus de Adimplência, definido no inciso VI do art. 1º-A da Lei nº 10.177, de 2001;
(Nota: Redação dada pela Resolução nº 4.672, de 26.06.2018)
III - CDR corresponde ao Coeficiente de Desequilíbrio Regional (CDR), mencionado nos arts. 1º-A, inciso III, e 1º-D da Lei nº 10.177, de 2001;
IV - FP corresponde ao Fator de Programa, calculado de acordo com o tipo de operação ou a finalidade do projeto, assim definido:
a) fator 0,7 (sete décimos), para operação de investimento para pessoas físicas com rendimento bruto anual de até R$50.000,00 (cinquenta mil reais), conforme Declaração do Imposto Sobre a Renda da Pessoa Física (DIRPF), e para empreendedores classificados como microempresa ou empresa de pequeno porte, de acordo com os critérios estabelecidos no art. 3º da Lei Complementar nº 123, de 14 de dezembro de 2006;
b) fator 1 (um inteiro), para operação de investimento para pessoas físicas com rendimento bruto anual acima de R$50.000,00 (cinquenta mil reais) até R$100.000,00 (cem mil reais), conforme DIRPF, e para empreendedores não classificados como microempresa ou empresa de pequeno porte, de acordo com os critérios estabelecidos no art. 3º da Lei Complementar nº 123, de 2006, com receita bruta anual de até R$90.000.000,00 (noventa milhões de reais);
c) fator 1,5 (um inteiro e cinco décimos), para operação de investimento para pessoas físicas com rendimento bruto anual acima de R$100.000,00 (cem mil reais) até R$150.000,00 (cento e cinquenta mil reais), conforme informado na DIRPF, e para empreendedores com receita bruta anual acima de R$90.000.000,00 (noventa milhões de reais);
d) fator 1,2 (um inteiro e dois décimos), para operação de capital de giro para empreendedores classificados como microempresa ou empresa de pequeno porte, de acordo com os critérios estabelecidos no art. 3º da Lei Complementar nº 123, de 2006;
e) fator 1,5 (um inteiro e cinco décimos), para operação de capital de giro para empreendedores não classificados como microempresa ou empresa de pequeno porte, de acordo com os critérios estabelecidos no art. 3º da Lei Complementar nº 123, de 2006, com receita bruta anual de até R$90.000.000,00 (noventa milhões de reais);
f) fator 2 (dois inteiros), para operação de investimento para pessoas físicas com rendimento bruto anual acima de R$150.000,00 (cento e cinquenta mil reais), conforme informado na DIRPF, e para operação de capital de giro para empreendedores com receita bruta anual acima de R$90.000.000,00 (noventa milhões de reais);
g) fator 0,8 (oito décimos), para financiamento de projeto de investimento em infraestrutura para água e esgoto e em logística;
h) fator 0,5 (cinco décimos), para financiamento de projeto de investimento em inovação de até R$200.000,00 (duzentos mil reais); e
i) fator 0,9 (nove décimos), para financiamento de projeto de investimento em inovação acima de R$200.000,00 (duzentos mil reais);
(Nota: Inciso IV com redação dada, a partir de 01.01.2020, pela Resolução nº 4.768, de 19.12.2019)
V - Juros Prefixados da TLP corresponde à taxa de juros prefixada mencionada no inciso II do art. 1º-A da Lei nº 10.177, de 2001, e apurada nos termos do art. 3º da Lei nº 13.483, de 21 de setembro de 2017, conforme metodologia definida no art. 3º desta Resolução.
VI - FL corresponde ao Fator de Localização, assim definido:
a) fator 0,9 (nove décimos), para financiamento de empreendimentos localizados em municípios considerados prioritários pelos respectivos Conselhos Deliberativos das Superintendências de Desenvolvimento Regional, respeitadas as áreas prioritárias da Política Nacional de Desenvolvimento Regional; e
b) fator 1,1 (um inteiro e um décimo), nos demais casos.
(Nota: Inciso VI com redação dada, a partir de 01.01.2020, pela Resolução nº 4.768, de 19.12.2019)
Art. 1º-A O volume máximo de recursos dos Fundos Constitucionais de Financiamento do Norte, do Nordeste e do Centro-Oeste, alocados para o conjunto das linhas de crédito de inovação de que trata a alínea “h” do inciso IV do art. 1º-A da Lei nº 10.177, de 2001,será de R$100.000.000,00 (cem milhões de reais) por ano, alocados entre os Fundos conforme a proporção utilizada para a distribuição dos recursos a que se refere o parágrafo único do art. 6º da Lei nº 7.827, de 27 de setembro de 1989.
(Nota: Incluído, a partir de 01.01.2020, pela Resolução nº 4.768, de 19.12.2019)
Art. 1º-B Os Fatores de Programa e o Fator de Localização definidos nos incisos IV e VI do art. 1º e o limite a que se refere o art.1º-A desta Resolução terão vigência até 31 de dezembro de 2023.
(Nota: Incluído, a partir de 01.01.2020, pela Resolução nº 4.768, de 19.12.2019)
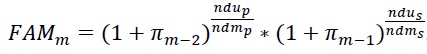
Art. 2º Para fins de cálculo do FAM, de que trata o art. 1º desta Resolução, será aplicada a seguinte fórmula:

, em que:
I - FAMm corresponde ao fator a ser aplicado durante o mês de referência m às operações de crédito a que se refere o caput do art. 1º, expresso com seis casas decimais e arredondamento matemático;
II - πm−1 corresponde à variação percentual do Índice Nacional de Preços ao Consumidor Amplo (IPCA), apurado e divulgado pela Fundação Instituto Brasileiro de Geografia
e Estatística (IBGE), referente ao primeiro mês anterior ao mês de referência m, expressa em forma unitária com quatro casas decimais;
III - πm−2 corresponde à variação percentual do Índice Nacional de Preços ao Consumidor Amplo (IPCA), apurado e divulgado pela Fundação Instituto Brasileiro de Geografia
e Estatística (IBGE), referente ao segundo mês anterior ao mês de referência m, expressa em forma unitária com quatro casas decimais;
IV - ndup é igual ao número de dias úteis entre o dia 1º (inclusive) e o dia 15 (exclusive) do mês de referência m das operações de crédito a que se refere o caput do art. 1º;
V - ndus é igual ao número de dias úteis entre o dia 15 (inclusive) e o último dia (inclusive) do mês de referência m das operações de crédito a que se refere o caput do art. 1º;
VI - ndmp é igual ao número total de dias úteis entre o dia 15 do primeiro mês anterior ao mês de referência m (inclusive) e o dia 15 do mês de referência m (exclusive); e
VII - ndms é igual ao número total de dias úteis entre o dia 15 do mês de referência m (inclusive) e o dia 15 do primeiro mês posterior ao mês de referência m (exclusive).
Parágrafo único. O FAM deve ser apurado levando em consideração cada dia útil de vigência da operação de crédito, utilizando como referência a variação percentual do IPCA referente:
I - ao segundo mês anterior ao mês de referência m, pro rata die, para atualizações até o dia 14 (inclusive) de cada mês; e
II - ao segundo mês anterior ao mês de referência m, pro rata die, até o dia 14 (inclusive) de cada mês, conjugado ao primeiro mês anterior ao mês de referência m, pro rata die, a partir do dia 15 (inclusive), para atualizações posteriores ao dia 14 (exclusive) de cada mês.
Art. 3º Para fins de cálculo dos Juros Prefixados da TLP (J), de que trata o art. 1º desta Resolução, será aplicada a seguinte fórmula:
J = ak ∗ Jm / 100, em que:
I - ak corresponde ao fator de ajuste de que tratam o § 1º do art. 3º da Lei nº 13.483, de 2017, e o art. 4º da Resolução nº 4.600, de 25 de setembro de 2017; e
II - Jm corresponde à taxa de juros prefixada de que tratam os arts. 2º e 3º da Resolução nº 4.600, de 2017.
Parágrafo único. A taxa “J”, a que se refere o caput, estipulada para determinada operação de crédito, será:
I - fixada com base na taxa de juros “Jm” e no fator de ajuste “ak” vigentes no mês de contratação da operação de financiamento; e
II - aplicada de forma uniforme até o vencimento da operação de crédito.
Art. 4º Fica o Banco Central do Brasil autorizado a baixar as normas e a adotar as medidas julgadas necessárias à execução do disposto nesta Resolução.
Art. 5º Esta Resolução entra em vigor na data de sua publicação.
Ilan Goldfajn
Presidente do Banco Central do Brasil
(DOU de 03.01.2018 - Seção 1 - pág. 139, retificada em 04.01.2018 - Seção 1 - pág. 13)