RESOLUÇÃO CMN Nº 4.609, DE 30.11.2017
Ajusta normas do Programa de Garantia de Preços para Agricultura Familiar (PGPAF), de que trata a Seção 15 do Capítulo 10 (Programa Nacional de Fortalecimento da Agricultura Familiar - Pronaf) do Manual de Crédito Rural (MCR).
O Banco Central do Brasil, na forma do art. 9º da Lei nº 4.595, de 31 de dezembro de 1964, torna público que o Conselho Monetário Nacional, em sessão realizada em 30 de novembro de 2017, com base no disposto nos arts. 4º, inciso VI, da Lei nº 4.595, de 1964; 4º e 14 da Lei nº 4.829, de 5 de novembro de 1965, na Lei nº 8.427, de 27 de maio de 1992, e no Decreto nº 5.996, de 20 de dezembro de 2006,
RESOLVEU:
Art. 1º O item 4 da Seção 15 (Programa de Garantia de Preços para Agricultura Familiar - PGPAF) do Capítulo 10 (Programa Nacional de Fortalecimento da Agricultura Familiar - Pronaf) do Manual de Crédito Rural (MCR) passa vigorar com a seguinte redação:
“4 - A STN reembolsará os custos dos bônus de descontos de garantia de preços relativos às operações do Pronaf formalizadas com recursos equalizados pelo Tesouro Nacional (TN), do Orçamento Geral da União (OGU) ou das exigibilidades de aplicação em crédito rural, observadas as seguintes condições:
a) as instituições financeiras devem:
I - encaminhar mensalmente, por meio eletrônico, planilha(s) com a relação de informações referentes aos bônus concedidos, conforme exigido pela Secretaria do Tesouro Nacional (STN);
II - após atestada a conformidade de que trata a alínea “c” pela STN, encaminhar Ofício com solicitação formal de ressarcimento, conforme modelo exigido pela STN, no qual deverá constar a declaração de responsabilidade pela exatidão das informações necessárias para o cálculo da subvenção e pela regularidade da aplicação dos recursos, nos termos do § 2º do art. 1º da Lei nº 8.427, de 27 de maio de 1992;
III - quando do efetivo ressarcimento, se devida aplicação da Selic e solicitado for pela STN, enviar o valor do bônus de desconto calculado conforme metodologia do inciso IV da alínea “f”;
IV - quando verificada a aplicação irregular ou o desvio dos recursos de operações de crédito que fizeram jus a subvenção econômica, bem como a concessão irregular da subvenção econômica, transferir imediatamente à União, por intermédio do Banco Central do Brasil, via ordem de transferência de fundos de sua conta de Reservas Bancárias, o equivalente ao valor de que trata o art. 6º da Lei nº 8.427, de 1992, atualizado pela Taxa Média Selic (TMS);
V - realizar e manter o registro analítico dos atos e fatos administrativos pertinentes às operações reembolsadas, conforme padrões de contabilidade requeridos pela legislação e regulamentação aplicáveis;
VI - fornecer, quando solicitada, aos órgãos de operacionalização, de controle e de fiscalização competentes as informações necessárias ao acompanhamento, controle e avaliação do mecanismo de subvenção econômica de que trata este item;
b) a União, por intermédio da STN, efetuará o ressarcimento dos recursos relativos à subvenção econômica, desde que constatada a conformidade das informações prestadas, nos termos e condições das alíneas “c”, “d”, “e” e “f”;
c) recebidas as planilhas referidas no inciso I da alínea “a”, a STN manifestar- se-á, no prazo de até dez dias úteis a contar do dia seguinte à data do recebimento, sobre a conformidade dos valores apresentados pela instituição financeira, podendo solicitar, nesse prazo, as correções porventura necessárias, por meio eletrônico, considerando que o prazo estabelecido inclui cinco dias úteis para a confirmação da Declaração de Aptidão ao Pronaf (DAP) de cada beneficiário pela Secretaria Especial de Agricultura Familiar e do Desenvolvimento Agrário (Sead), nos termos do MCR 10-15-5-“a”;
d) reapresentada, pela instituição financeira, versão corrigida das planilhas referidas no inciso I da alínea “a”, renovar-se-á o prazo de que trata a alínea “c” para manifestação da STN;
e) a conferência de que trata a alínea “c” será realizada por bônus concedido; se for detectada incorreção no cálculo de algum bônus, a planilha encaminhada será devolvida integralmente para verificação pela instituição financeira;
f) fica estabelecida a aplicação da taxa Selic sobre os valores devidos, excepcionalmente, quando o pagamento do bônus de desconto ocorrer em data posterior ao fim do prazo estabelecido nas alíneas “c” c/c “d” ou quando a STN não se manifestar sobre a conformidade no prazo previsto nas alíneas “c” c/c “d”, observado que:
I - a Selic será devida desde o último dia do prazo definido na alínea “c” ou, se for o caso, do último dia de sua renovação, conforme alínea “d”, até a data do efetivo ressarcimento;
II - não será aplicável a taxa Selic em razão da ocorrência de manifestação da STN em prazo superior ao definido na alínea “c” c/c “d”, se constatada a não conformidade e não forem recebidas, no prazo de cinco dias úteis a contar do dia seguinte à data da comunicação pela STN, novas planilhas corrigidas pela instituição financeira;
III - a contagem do prazo, para fins de aplicação da taxa Selic sobre o valor do bônus de desconto, ficará suspensa a partir da data de comunicação da conformidade pela STN, até a data de recebimento da solicitação formal de ressarcimento do bônus prevista no inciso II da alínea “a”;
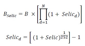
IV - quando devida a aplicação da taxa Selic, os valores serão calculados conforme metodologia abaixo:

Legenda:
• N = Número de Selicd vigentes no período de aplicação da taxa.” (NR)
Art. 2º Esta Resolução entra em vigor na data de sua publicação.
Ilan Goldfajn
Presidente do Banco Central do Brasil
(DOU de 04.12.2017 - pág. 24 - Seção 1)