RESOLUÇÃO CMN Nº 4.176, DE 02.01.2013
Altera o Regulamento anexo à Resolução nº 3.308, 31 de agosto de 2005, que disciplina a aplicação dos recursos das reservas, das provisões e dos fundos das sociedades seguradoras, das sociedades de capitalização e das entidades abertas de previdência complementar, bem como a aceitação dos ativos correspondentes como garantidores dos respectivos recursos, na forma da legislação e da regulamentação em vigor.
O BANCO CENTRAL DO BRASIL, na forma do Art. 9º da Lei nº 4.595, de 31 de dezembro de 1964, torna público que o Conselho Monetário Nacional, em sessão extraordinária realizada em 27 de dezembro de 2012, tendo em vista o disposto nos Arts. 28 do Decreto-Lei nº 73, de 21 de novembro de 1966, 4º do Decreto-Lei nº 261, de 28 de fevereiro de 1967, 1º, §5º, da Lei nº 10.185, de 12 de fevereiro de 2001, 9º, §1º, da Lei Complementar nº 109, de 29 de maio de 2001,
Resolveu:
Nota da Editora: Sobre a Resolução CMN nº 4.176, de 2013, vide, também, orientações da Susep ao mercado.
Art. 1º - O Regulamento anexo à Resolução nº 3.308, de 31 de agosto de 2005, passa a ser denominado de "Anexo I - Regulamento" e a vigorar acrescido do seguinte capítulo:
"CAPÍTULO IV
DOS PRAZOS DOS FUNDOS DE INVESTIMENTO ESPECIALMENTE CONSTITUÍDOS
Art. 15 - A carteira de renda fixa dos fundos de investimento especialmente constituídos de uma mesma sociedade seguradora ou entidade aberta de previdência complementar, de que tratam os Arts. 5º a 7º deste Anexo, deverá respeitar, cumulativamente, as seguintes regras de enquadramento:
I - apresentar prazo médio remanescente mínimo de 1.825 dias corridos; e
II - apresentar prazo médio de repactuação mínimo de 1.095 dias corridos.
§1º - As métricas e definições necessárias para cômputo das regras de enquadramento previstas no caput observarão o disposto no Anexo II.
§2º - Para fins de verificação dos prazos de que tratam os incisos I e II deste artigo, deverá ser utilizada a média aritmética dos valores diariamente observados, no mínimo, no período referente aos últimos 90 dias antecedentes ao dia de referência.
§3º - O Conselho Monetário Nacional, em casos excepcionais, poderá reduzir o prazo de que trata o inciso II deste artigo, por período de tempo determinado.
Art. 16 - O prazo para enquadramento às regras definidas no Art. 15 é 31 de dezembro de 2015.
Parágrafo único - A partir de 31 de maio de 2013, ficam impedidos investimentos que reduzam os prazos médios verificados na data de publicação desta Resolução, nos casos das sociedades seguradoras ou entidades abertas de previdência complementar que apresentem prazos médios inferiores ao disposto no Art. 15 na data de publicação desta Resolução.
Art. 2º - A Resolução nº 3.308, de 31 de agosto de 2005, passa a vigorar acrescida do seguinte Anexo II:
"ANEXO II
DAS MÉTRICAS E DEFINIÇÕES PARA CÔMPUTO DOS PRAZOS DOS FUNDOS DE INVESTIMENTO ESPECIALMENTE CONSTITUÍDOS
Art. 1º - Para efeito do cálculo dos prazos de que trata o Art. 15 do Anexo I desta Resolução, devem ser considerados todos os ativos ou instrumentos financeiros de renda fixa, operações compromissadas e contratos de derivativos que tenham fator de risco associado à variação de taxa de juros flutuante, integrantes das carteiras dos fundos de investimento especialmente constituídos de que tratam os Arts. 5º a 7º do referido Anexo I.
Art. 2º - Para fins do disposto no inciso I do Art. 15 do Anexo I desta Resolução, o prazo médio remanescente da carteira é dado pelo prazo médio remanescente, em dias corridos, ponderado pelos respectivos valores financeiros:
I - dos títulos de renda fixa; e
II - das operações compromissadas lastreadas em títulos de renda fixa.
§1º - Para efeito do disposto no inciso I do caput devem ser considerados todos os títulos de que trata a Seção I, Capítulo II do Anexo I desta Resolução.
§2º - Os títulos de renda fixa recebidos como lastro de operações compromissadas devem ser desconsiderados no cálculo de que trata o caput.
§3º - O prazo médio remanescente de um título de renda fixa é dado pela média dos prazos de cada vencimento de principal e de juros, ponderada pelos respectivos valores nominais na data de apuração do prazo médio da carteira, sem considerar qualquer projeção de índice.
§4º - O prazo de cada vencimento de principal e juros é dado pelo prazo remanescente de cada evento financeiro, entendido como sendo o número de dias corridos entre a data de apuração do prazo médio da carteira e a data de cada vencimento, excluindo-se da sua contagem a data de apuração e incluindo-se a de vencimento.
§5º - O prazo médio remanescente da operação compromissada é entendido como sendo o número de dias corridos entre a data de apuração do prazo médio da carteira e a data de vencimento da operação, excluindo-se da sua contagem a data de apuração e incluindo-se a de vencimento.
§6º - O valor financeiro de que trata o caput é dado pelo valor contábil, diariamente avaliado.
Art. 3º - Para fins do disposto no inciso II do Art. 15 do Anexo I, o prazo médio de repactuação da carteira é dado pelo prazo de repactuação, em dias corridos, ponderado pelos respectivos valores financeiros:
I - dos títulos de renda fixa;
II - das operações compromissadas lastreadas em títulos de renda fixa; e
III - dos contratos de derivativos que tenham fator de risco associado à variação de taxas de juros flutuante.
§1º - O prazo de repactuação dos títulos de renda fixa de que trata o inciso I do caput será apurado conforme o Art. 4º deste Anexo.
§2º - O prazo de repactuação das operações compromissadas será dado pelo seu prazo médio remanescente, apurado na forma do disposto no §5º do Art. 2º deste Anexo.
§3º - Os títulos de renda fixa recebidos como lastro das operações compromissadas não deverão ser utilizados para o cálculo de que trata o caput deste artigo.
§4º - O prazo de repactuação dos contratos de derivativos de que trata o inciso III do caput considerará todas as exposições deles resultantes, sendo computadas:
I - com sinal positivo, para as exposições ativas; e
II - com sinal negativo, para as exposições passivas.
§5º - O valor financeiro dos contratos derivativos não deverá ser computado no denominador da ponderação de que trata o caput.
Art. 4º - O prazo de repactuação dos títulos de que trata o §1º do Art. 3º e das exposições dos contratos de derivativos de que trata o §4º do Art. 3º será definido de acordo com o tipo de remuneração do instrumento, sendo:
I - de 1 dia para Taxa Média Selic (TMS), apurada pelo Banco Central do Brasil;
II - de 1 dia para Taxa DI-CETIP Over (Extra-Grupo), apurada pela CETIP S.A. Mercados Organizados;
III - de 30 dias para Taxa Referencial de Juros Mensal – TR Mensal, apurada pelo Banco Central do Brasil;
IV - de 91 dias para Taxa de Juros de Referência de 3 meses TJ3, apurada pela BM&FBovespa;
V - de 182 dias para Taxa de Juros de Referência de 6 meses TJ6, apurada pela BM&FBovespa;
VI - de 1 dia para outras taxas de juros flutuantes;
VII - igual ao prazo médio remanescente, na forma do Art. 2º deste Anexo, para títulos não indexados a taxas de juros flutuantes; e
VIII - igual ao prazo do contrato de derivativo para exposições oriundas de contratos derivativos não indexados a taxas de juros flutuantes. (NR)"
Art. 3º - A Resolução nº 3.308, de 31 de agosto de 2005, passa a vigorar acrescida do seguinte Anexo III:
"ANEXO III
FÓRMULAS PARA CÁLCULO DOS PRAZOS MÉDIOS REMANESCENTE E DE REPACTUAÇÃO DA CARTEIRA DE RENDA FIXA DOS FUNDOS DE INVESTIMENTO ESPECIALMENTE CONSTITUÍDOS
Art. 1º - Para o cômputo dos prazos de que tratam os Arts. 2º e 3º do Anexo II desta Resolução, devem ser consideradas as seguintes fórmulas:
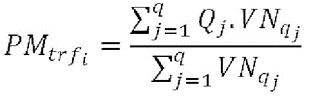
I - prazo médio remanescente de um título de renda fixa (PMtrfi), em dias corridos:

em que:
q é a quantidade de eventos financeiros (juros e/ou principal) do título de renda fixa i;
Qj é o prazo remanescente de cada evento financeiro j (juros e/ou principal) do título de renda fixa i, dado em dias corridos; e
VNqj é o valor nominal de cada evento financeiro j (jurose/ou principal) do título de renda fixa i.
II - prazo médio remanescente da carteira de títulos de renda fixa (PMctrf), em dias corridos

em que:
m é a quantidade de títulos de renda fixa na carteira;
PMtrfi é o prazo médio remanescente do título de renda fixa i, apurado conforme os §§3º e 4º do Art. 2º do Anexo II, em dias corridos; e
VFtrfi é o valor financeiro do título de renda fixa i.
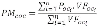
III - prazo médio remanescente da carteira de operações compromissadas (PMcoc), em dias corridos

em que:
n é a quantidade de operações compromissadas na carteira;
Poci é o prazo remanescente da operação compromissada i apurado conforme o §5º do Art. 2º do Anexo II, em dias corridos; e
VFoci é o valor financeiro da operação compromissada i.
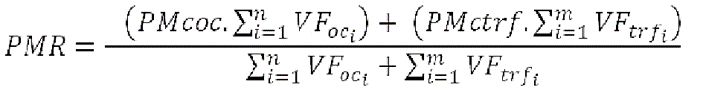
IV - prazo médio remanescente da carteira de renda fixa (PMR), em dias corridos:

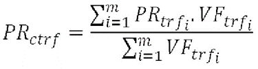
V - prazo médio de repactuação da carteira de títulos de renda fixa (PRctrf), em dias corridos:

em que:
m é a quantidade de títulos de renda fixa na carteira;
PRtrfi é o prazo de repactuação do título de renda fixa i, apurado conforme o Art. 3º do Anexo II, em dias corridos; e
VFtrfi é o valor financeiro do título de renda fixa i.
VI - prazo médio de repactuação da carteira de contratos de derivativos (PRcd), em dias corridos:

em que:
r é a quantidade de contratos de derivativos de taxa de juros na carteira;
PRcdai é o prazo de repactuação da exposição ativa do contrato de derivativo de taxa de juros i, apurado conforme o Art. 4º do Anexo II, em dias corridos;
PRcdp é o prazo de repactuação da exposição passiva do contrato de derivativo de taxa de juros i, apurado conforme o Art. 4º do Anexo II, em dias corridos; e
VFcdi é o valor financeiro do contrato de derivativo de taxa de juros i.
VII - prazo médio de repactuação da carteira de renda fixa (PRC), em dias corridos:

" (NR)
Art. 4º - O inciso II do Art. 4º do Anexo I da Resolução nº 3.308, de 31 de agosto de 2005, passa a vigorar acrescido da alínea "q" a seguir:
"Art. 4º - ....................................................................................
...................................................................................................
II - ..............................................................................................
...................................................................................................
q) Depósitos a Prazo com Garantia Especial Proporcionada pelo Fundo Garantidor de Créditos (DPGE)." (NR)
Art. 5º - Esta Resolução entra em vigor na data de sua publicação.
Alexandre Antonio Tombini
Presidente do Banco Central do Brasil
(DOU de 03.01.2012 – págs. 123 e 124 – Seção 1)