CONTEÚDO
RESOLUÇÃO CMN Nº 3.308, DE 31.08.2005
Altera as normas que disciplinam a aplicação dos recursos das reservas, das provisões e dos fundos das sociedades seguradoras, das sociedades de capitalização e das entidades abertas de previdência complementar, bem como a aceitação dos ativos correspondentes como garantidores dos respectivos recursos, na forma da legislação e da regulamentação em vigor.
O Banco Central do Brasil, na forma do Art. 9º da Lei nº 4.595, de 31 de dezembro de 1964, torna público que o Conselho Monetário Nacional, em sessão realizada em 31 de agosto de 2005, tendo em vista o disposto nos Arts. 28 do Decreto-lei nº 73, de 21 de novembro de 1966, 4º do Decreto-lei nº 261, de 28 de fevereiro de 1967, 1º, §5º, da Lei nº 10.185, de 12 de fevereiro de 2001, e 9º, §1º, da Lei Complementar nº 109, de 29 de maio de 2001,
RESOLVEU:
Art. 1º - Alterar, nos termos do regulamento anexo, as normas que disciplinam a aplicação dos recursos das reservas, das provisões e dos fundos das sociedades seguradoras, das sociedades de capitalização e das entidades abertas de previdência complementar, bem como a aceitação dos ativos correspondentes como garantidores dos respectivos recursos, na forma da legislação e da regulamentação em vigor.
Art. 2º - Fica alterado o Art. 1º da Resolução nº 3.042, de 28 de novembro de 2002, que passa a vigorar com a seguinte redação:
“Art. 1º - Estabelecer que os recursos das reservas, das provisões e dos fundos das sociedades seguradoras especializadas em seguro saúde, constituídos de acordo com os critérios fixados pelo Conselho Nacional de Saúde Suplementar CONSU, devem ser aplicados com observância das diretrizes e condições previstas na Resolução nº 3.308, de 31 de agosto de 2005, e do regulamento a ela anexo, excetuadas aquelas constantes dos Arts. 5º a 9º e 12, §2º, inciso III, do regulamento.
Parágrafo único - Os ativos correspondentes às aplicações dos recursos referidos neste artigo são considerados garantidores desses, na forma da legislação e da regulamentação em vigor.” (NR)
Art. 3º - Ficam a Superintendência de Seguros Privados (SUSEP), o Banco Central do Brasil e a Comissão de Valores Mobiliários, nas respectivas áreas de competência, autorizados a adotar as medidas e a baixar as normas que se fizerem necessárias à execução do disposto nesta resolução.
Art. 3º-A. Entre 31 de dezembro de 2015 e 31 de dezembro de 2016, o prazo médio de repactuação de que trata o inciso II do art. 15 do Anexo I desta Resolução deverá ser de pelo menos trezentos e sessenta e cinco dias.
Nota da Editora: Art. 3º- A incluído pela Resolução CMN nº 4.402, de 26.03.2015.
Art. 4º - Esta resolução entra em vigor na data de sua publicação.
Art. 5º - Ficam revogados as Resoluções nº 3.034, de 29 de outubro de 2002, e nº 3.144, de 27 de novembro de 2003, e o parágrafo único do Art. 11 da Resolução nº 3.121, de 25 de setembro de 2003.
Henrique de Campos Meirelles
Presidente do Banco
(DOU de 05.09.2005 - páginas. 55 a 57 - Seção 1)
___________________________________________
Regulamento anexo à Resolução nº 3.308, de 31 de agosto de 2005, que disciplina a aplicação dos recursos das reservas, das provisões e dos fundos das sociedades seguradoras, das sociedades de capitalização e das entidades abertas de previdência complementar, bem como a aceitação dos ativos correspondentes como garantidores dos respectivos recursos, na forma da legislação e da regulamentação em vigor.
___________________________________________
ANEXO I
REGULAMENTO
Nota da Editora: O Regulamento anexo à Resolução CMN nº 3.308, de 31 de agosto de 2005, passa a ser denomindo de "Anexo I - Regulamento" conforme o art. 1º da Resolução CMN nº 4.176, de 02.01.2013.
CAPÍTULO I
DOS RECURSOS E DA ACEITAÇÃO DE ATIVOS COMO GARANTIDORES
Art. 1º - Os recursos das reservas, das provisões e dos fundos das sociedades seguradoras, das sociedades de capitalização e das entidades abertas de previdência complementar, constituídos de acordo com os critérios fixados pelo Conselho Nacional de Seguros Privados (CNSP), devem ser aplicados conforme as diretrizes deste regulamento, tendo presentes as condições de segurança, rentabilidade, solvência e liquidez.
Parágrafo único - Para efeito do disposto neste regulamento, consideram-se recursos aqueles referidos no “caput”.
Art. 2º - Observadas as limitações e as demais condições estabelecidas neste regulamento, os recursos devem ser alocados nos seguintes segmentos:
I - de renda fixa;
II - de renda variável;
III - de imóveis.
Art. 3º - Os ativos correspondentes às aplicações dos recursos são considerados garantidores desses, na forma da legislação e da regulamentação em vigor.
CAPÍTULO II
DA APLICAÇÃO DOS RECURSOS
Seção I
Do Segmento de Renda Fixa
Subseção I
Dos Limites Gerais e das Condições
Art. 4º - No segmento de renda fixa, os recursos devem ser aplicados, isolada ou cumulativamente:
I - até 100% (cem por cento) em:
a) títulos de emissão do Tesouro Nacional;
b) títulos de emissão do Banco Central do Brasil;
c) créditos securitizados pelo Tesouro Nacional;
d) títulos de emissão de estados e municípios objeto de contratos firmados ao amparo da Lei 9.496, de 11 de setembro de 1997, ou da Medida Provisória 2.185-35, de 24 de agosto de 2001;
e) cotas de fundos de investimento, constituídos sob a forma de condomínio aberto, cujas carteiras estejam representadas exclusivamente pelos títulos referidos nas alíneas “a” a “c” deste artigo, dos quais as sociedades seguradoras, as sociedades de capitalização e as entidades abertas de previdência complementar sejam as únicas cotistas, e ressalvadas as disponibilidades de caixa permitidas pela regulamentação em vigor;
II - até 80% (oitenta por cento) em:
a) certificados e recibos de depósito bancário;
b) letras de câmbio de aceite de instituições financeiras;
c) letras hipotecárias;
d) letras e cédulas de crédito imobiliário;
e) cédulas de crédito bancário consideradas, pela sociedade seguradora, pela sociedade de capitalização ou pela entidade aberta de previdência complementar, com base em classificação efetuada por agência classificadora de risco em funcionamento no País, como de baixo risco de crédito;
f) certificados de cédulas de crédito bancário considerados, pela sociedade seguradora, pela sociedade de capitalização ou pela entidade aberta de previdência complementar, com base em classificação efetuada por agência classificadora de risco em funcionamento no País, como de baixo risco de crédito;
g) debêntures de distribuição pública;
h) cédulas de debêntures;
i) notas promissórias emitidas por sociedades por ações, destinadas a oferta pública;
j) certificados de recebíveis imobiliários;
l) contratos mercantis de compra e venda de produtos, mercadorias e/ou serviços para entrega ou prestação futura, bem como em títulos ou certificados representativos desses contratos;
m) cotas de fundos de investimento constituídos sob a forma de condomínio aberto;
n) cotas de fundos de investimento em cotas de fundos de investimento constituídos sob a forma de condomínio aberto;
o) depósitos de poupança;
p) letras financeiras.
Nota da Editora: Alínea “p” incluída pela Resolução CMN nº 4.026, de 27.10.2011.
q) Depósitos a Prazo com Garantia Especial Proporcionada pelo Fundo Garantidor de Créditos (DPGE).
Nota da Editora: Alínea "q" incluída pela Resolução CMN nº 4.176, de 02.01.2013.
III - até 25% (vinte e cinco por cento) dos recursos dos fundos de investimento especialmente constituídos de que tratam os arts. 5º e 7º deste Anexo em operações de compra de títulos de renda fixa com compromisso de revenda, conjugado com o compromisso de recompra assumido pelo vendedor, para data futura preestabelecida (operação compromissada);
Nota da Editora: Inciso III alterado, IV e V renumerados pela Resolução CMN nº 4.402, de 26.03.2015.
IV - até 10% (dez por cento) em:
a) cotas de fundos de investimento classificados como fundos de dívida externa, constituídos sob a forma de condomínio aberto;
b) cotas de fundos de investimento em cotas de fundos de investimento classificados como fundos de dívida externa, constituídos sob a forma de condomínio aberto;
c) cotas de fundos de investimento em direitos creditórios;
d) cotas de fundos de investimento em cotas de fundos de investimento em direitos creditórios;
e) cotas de fundos de investimento classificados como fundos cambiais, constituídos sob a forma de condomínio aberto;
f) cotas de fundos de investimento em cotas de fundos de investimento classificados como fundos cambiais, constituídos sob a forma de condomínio aberto;
V - até 5% (cinco por cento) em:
a) cédulas de produto rural com liquidação financeira;
b) letras de crédito do agronegócio;
c) certificados de direitos creditórios do agronegócio;
d) certificados de recebíveis do agronegócio.
§1º - Adicionalmente aos limites estabelecidos neste artigo, as aplicações em letras de câmbio, em letras e cédulas de crédito imobiliário, em cédulas de crédito bancário, em certificados de cédulas de crédito bancário, em debêntures, em cédulas de debêntures, em notas promissórias e em certificados de recebíveis imobiliários de uma única companhia não podem exceder 5% (cinco por cento) do valor total dos recursos.
§2º - Os contratos mercantis de compra e venda de produtos, mercadorias e/ou serviços para entrega ou prestação futura, bem como em títulos ou certificados representativos desses contratos, devem, sem prejuízo do atendimento das disposições da Resolução 2.801, de 7 de dezembro de 2000, contar com garantia de instituição financeira ou de sociedade seguradora, observada, nesse último caso, regulamentação específica da Superintendência de Seguros Privados (SUSEP).
§3º - Os fundos de investimento previstos no inciso II, alíneas “m” e “n”, devem estar classificados como fundos de curto prazo, fundos referenciados em indicadores de desempenho de renda fixa ou fundos de renda fixa.
§4º - As cédulas de produto rural com liquidação financeira devem contar com aval de instituição financeira ou com cobertura de seguro, neste último caso conforme regulamentação específica da SUSEP.
Subseção II
Das Condições Especiais
Art. 5º - Os recursos das provisões matemáticas de planos abertos de previdência complementar e de seguros de pessoas, estruturados na modalidade de contribuição variável, cuja remuneração esteja calcada na rentabilidade de carteiras de investimentos, devem ser aplicados, em sua totalidade, durante o prazo de diferimento, em cotas de fundos de investimento especialmente constituídos para acolher tais recursos.
Art. 6º - Respeitadas as situações existentes na data da entrada em vigor desta resolução, os recursos das provisões matemáticas, das provisões técnicas de excedentes financeiros, das provisões de oscilação financeira, quando for o caso, e os recursos destinados à cobertura de déficits quando relacionados a planos de previdência complementar aberta ou a seguros de pessoas, que prevejam a reversão total ou parcial de resultados financeiros devem ser aplicados, em sua totalidade, no período contratado para a reversão de resultados financeiros, em cotas de fundos de investimento especialmente constituídos para acolher tais recursos.
Art. 7º - Admite-se que os recursos referidos nos Arts. 5º e 6º sejam aplicados em cotas de fundos de investimento em cotas de fundos de investimento especialmente constituídos para acolher tais recursos, observadas as normas baixadas pelo CNSP.
Parágrafo único - Os recursos dos fundos de investimento referidos neste artigo devem ser aplicados, em sua totalidade, em cotas de fundos de investimento especialmente constituídos para acolher os recursos mencionados nos Arts. 5º e 6º.
Art. 8º - Os recursos das provisões de sociedades seguradoras e das entidades abertas de previdência complementar, não referidos nos Arts. 5º e 6º, bem como das sociedades de capitalização podem ser aplicados em cotas de fundos de investimento especialmente constituídos ou em cotas de fundos de investimento em cotas de fundos de investimento especialmente constituídos, destinados exclusivamente a investidores qualificados, observada regulamentação específica baixada pelo CNSP.
Art. 9º - Os fundos de investimento constituídos para os fins desta subseção são regidos pelas normas baixadas pela Comissão de Valores Mobiliários - CVM.
§1º - As carteiras dos fundos de investimento referidos neste artigo devem estar representadas, exclusivamente, por ativos admitidos nos termos dos Arts. 4º e 10, observados os limites e as condições ali estabelecidos - exceto os limites previstos no Art. 10, incisos I a IV - e respeitados os requisitos de diversificação de que trata o Capítulo III.
§2º - A observância dos limites estabelecidos no Art. 10, prevista nos termos do §1º, não se aplica aos fundos de investimento especialmente constituídos, referidos neste artigo, classificados como fundos de ações, constituídos sob a forma de condomínio aberto, ou fundos multimercado, constituídos sob a forma de condomínio aberto.
§3º - A aplicação de recursos nos fundos de investimento referidos neste artigo fica igualmente condicionada à observância das normas complementares baixadas pelo CNSP.
§4º - A CVM deve disponibilizar para a SUSEP as informações relativas aos fundos de investimento referidos neste artigo, ressalvadas as informações protegidas pelo sigilo de que trata a Lei Complementar nº 105, de 10 de janeiro de 2001.
Seção II
Do Segmento de Renda Variável
Art. 10 - No segmento de renda variável, os recursos devem ser aplicados, limitados a 49% (quarenta e nove por cento) no conjunto dos investimentos, isolada ou cumulativamente:
I - até 49% (quarenta e nove por cento) em:
a) ações de emissão de companhias que, em função de adesão aos padrões de governança societária definidos - conforme Anexo I do Regulamento anexo à Resolução nº 3.121, de 25 de setembro de 2003, e alterações posteriores - por bolsa de valores ou entidade mantenedora de mercado de balcão organizado credenciada na CVM, sejam admitidas à negociação em segmento especial por essa mantido nos moldes do Novo Mercado da Bolsa de Valores de São Paulo - Bovespa;
b) bônus de subscrição de ações, recibos de subscrição de ações e certificados de depósitos de ações de emissão de companhias que atendam às condições da alínea ‘a’ deste inciso;
c) cotas de fundos de investimento classificados como fundos de ações, constituídos sob a forma de condomínio aberto, cujas carteiras estejam representadas exclusivamente por valores mobiliários referidos nas alíneas ‘a’ e ‘b’ deste inciso, ressalvadas as disponibilidades de caixa permitidas pela regulamentação em vigor;
d) cotas de fundos de investimento em cotas de fundos de investimento classificados como fundos de ações, constituídos sob a forma de condomínio aberto, cujas carteiras estejam representadas exclusivamente por cotas dos fundos de investimento referidos na alínea ‘c’ deste inciso, ressalvadas as disponibilidades de caixa permitidas pela regulamentação em vigor;
e) cotas de fundos de investimento classificados como fundos referenciados em índices de ações da Bovespa, constituídos sob a forma de condomínio aberto;
f) cotas de fundos de investimento em cotas de fundos de investimento classificados como fundos referenciados em índices de ações da Bovespa, constituídos sob a forma de condomínio aberto;
II - até 40% (quarenta por cento) em:
a) ações de emissão de companhias que, em função de adesão aos padrões de governança societária definidos - conforme Anexo II do Regulamento anexo à Resolução nº 3.121, de 2003, e alterações posteriores - por bolsa de valores ou entidade mantenedora de mercado de balcão organizado credenciada na CVM, sejam classificadas no Nível 2 da Bovespa;
b) bônus de subscrição de ações, recibos de subscrição de ações e certificados de depósitos de ações de emissão de companhias que atendam às condições da alínea ‘a’ deste inciso;
c) cotas de fundos de investimento classificados como fundos de ações, constituídos sob a forma de condomínio aberto, cujas carteiras estejam representadas exclusivamente por valores mobiliários referidos nas alíneas ‘a’ e ‘b’ deste inciso, ressalvadas as disponibilidades de caixa permitidas pela regulamentação em vigor;
d) cotas de fundos de investimento em cotas de fundos de investimento classificados como fundos de ações, constituídos sob a forma de condomínio aberto, cujas carteiras estejam representadas exclusivamente por cotas dos fundos de investimento referidos na alínea ‘c’ deste inciso, ressalvadas as disponibilidades de caixa permitidas pela regulamentação em vigor;
e) cotas de fundos de investimento classificados como fundos referenciados em índices de ações do Nível 2 da Bovespa, constituídos sob a forma de condomínio aberto;
f) cotas de fundos de investimento em cotas de fundos de investimento classificados como fundos referenciados em índices de ações do Nível 2 da Bovespa, constituídos sob a forma de condomínio aberto;
III - até 35% (trinta e cinco por cento) em:
a) ações de emissão de companhias que, em função de adesão aos padrões de governança societária definidos - conforme Anexos II e III do Regulamento anexo à Resolução nº 3.121, de 2003, e alterações posteriores - por bolsa de valores ou entidade mantenedora de mercado de balcão organizado credenciada na CVM, sejam classificadas no Nível 1 da Bovespa ou admitidas à negociação em segmento especial por essa mantido nos moldes do Bovespa Mais;
b) bônus de subscrição de ações, recibos de subscrição de ações e certificados de depósitos de ações de emissão de companhias que atendam às condições da alínea ‘a’ deste inciso;
c) cotas de fundos de investimento classificados como fundos de ações, constituídos sob a forma de condomínio aberto, cujas carteiras estejam representadas exclusivamente por valores mobiliários referidos nas alíneas ‘a’ e ‘b’ deste inciso, ressalvadas as disponibilidades de caixa permitidas pela regulamentação em vigor;
d) cotas de fundos de investimento em cotas de fundos de investimento classificados como fundos de ações, constituídos sob a forma de condomínio aberto, cujas carteiras estejam representadas exclusivamente por cotas dos fundos de investimento referidos na alínea ‘c’ deste inciso, ressalvadas as disponibilidades de caixa permitidas pela regulamentação em vigor;
e) cotas de fundos de investimento classificados como fundos referenciados em índices de ações do Nível 1 da Bovespa ou do Bovespa Mais, constituídos sob a forma de condomínio aberto;
f) cotas de fundos de investimento em cotas de fundos de investimento classificados como fundos referenciados em índices de ações do Nível 1 da Bovespa ou do Bovespa Mais, constituídos sob a forma de condomínio aberto;
IV - até 30% (trinta por cento) nos ativos abaixo relacionados que não satisfaçam as condições previstas nos incisos I a III:
a) ações, bônus de subscrição de ações, recibos de subscrição de ações e certificados de depósitos de ações de emissão de companhias abertas negociadas em bolsa de valores;
b) cotas de fundos de investimento classificados como fundos de ações, constituídos sob a forma de condomínio aberto, cujas carteiras estejam representadas por valores mobiliários referidos na alínea ‘a’ deste inciso;
c) cotas de fundos de investimento em cotas de fundos de investimento classificados como fundos de ações, constituídos sob a forma de condomínio aberto, cujas carteiras estejam representadas por cotas dos fundos de investimento referidos na alínea ‘b’ deste inciso;
d) cotas de fundos de investimento classificados como fundos referenciados em índices do mercado de ações, constituídos sob a forma de condomínio aberto;
e) cotas de fundos de investimento em cotas de fundos de investimento classificados como fundos referenciados em índices do mercado de ações, constituídos sob a forma de condomínio aberto;
V - até 15% (quinze por cento) em:
a) cotas de fundos de investimento classificados como fundos multimercado, constituídos sob a forma de condomínio aberto;
b) cotas de fundos de investimento em cotas de fundos de investimento classificados como fundos multimercado, constituídos sob a forma de condomínio aberto;
VI - até 5% (cinco por cento) em ações, em bônus de subscrição de ações, em recibos de subscrição de ações e em certificados de depósitos de ações de companhia aberta admitidos à negociação em mercado de balcão organizado por entidade credenciada na CVM, quando referidos ativos não satisfizerem as condições previstas nos incisos I a III, alíneas ‘a’ e ‘b’;
VII - até 3% (três por cento) nos seguintes ativos, observadas as condições definidas no §2º:
a) ações e debêntures de emissão de sociedades de propósito específico constituídas com a finalidade de viabilizar financiamento de projetos;
b) cotas de fundos de investimento em empresas emergentes;
c) cotas de fundos de investimento em participações;
d) cotas de fundos de investimento classificados como fundos de ações, constituídos sob a forma de condomínio fechado;
e) cotas de fundos de investimento em cotas de fundos de investimento classificados como fundos de ações, constituídos sob a forma de condomínio fechado;
f) cotas de fundos de investimento classificados como fundos referenciados em índices do mercado de ações, constituídos sob a forma de condomínio fechado;
g) cotas de fundos de investimento em cotas de fundos de investimento classificados como fundos referenciados em índices do mercado de ações, constituídos sob a forma de condomínio fechado;
VIII - até 3% (três por cento) em:
a) certificados de depósito de valores mobiliários com lastro em ações de emissão de companhia aberta, ou de companhia que tenha características semelhantes às companhias abertas brasileiras, com sede no exterior (Brazilian Depositary Receipts - BDRs), classificados nos Níveis II e III definidos na regulamentação baixada pela CVM, cujos programas tenham sido registrados naquela autarquia;
b) ações de emissão de companhias sediadas em países signatários do Mercosul - Mercado Comum do Sul ou em certificados de depósito dessas ações admitidos à negociação em bolsa de valores no País, observado o disposto na Resolução nº 1.968, de 30 de setembro de 1992;
c) debêntures com participação nos lucros cuja distribuição tenha sido registrada na CVM.
§1º - É vedada a aplicação de recursos no caso das inversões de que trata o inciso VI em ações que não pertençam a índice de mercado de balcão organizado, ou que não tenham pertencido ao mesmo índice no mês anterior, bem como nos respectivos bônus de subscrição, recibos de subscrição e certificados de depósitos de ações.
§2º - As aplicações referidas no inciso VII ficam condicionadas à observância de que as sociedades de propósito específico e as empresas emissoras dos ativos integrantes das carteiras dessas sociedades, dos fundos de investimento em empresas emergentes e dos fundos de investimento em participações:
I - prevejam em seus estatutos ou regulamentos:
a) proibição de emissão de partes beneficiárias e inexistência desses títulos em circulação;
b) mandato unificado de até dois anos para todo o conselho de administração;
c) disponibilização de contratos com partes relacionadas, acordos de acionistas e programas de opções de aquisição de ações ou de outros títulos ou valores mobiliários de emissão da companhia;
d) adesão à câmara de arbitragem para resolução de conflitos societários; e
e) auditoria anual de suas demonstrações contábeis por auditores independentes registrados na CVM;
II - obriguem-se formalmente, perante o fundo ou os sócios da sociedade de propósito específico a, no caso de abertura de seu capital, aderir a segmento especial de bolsa de valores ou de entidade mantenedora de mercado de balcão organizado que assegure, no mínimo, níveis diferenciados de práticas de governança corporativa previstos no inciso I.
§3º - As aplicações em ações de uma mesma companhia não podem exceder:
I - 20% (vinte por cento) do capital votante dessa;
II - 20% (vinte por cento) do capital total dessa;
III - 5% (cinco por cento) do valor total dos recursos, podendo esse limite ser majorado para até 10% (dez por cento) no caso de ações:
a) de emissão de companhias que, em função de adesão aos padrões de governança societária definidos - conforme Anexos I e II ao Regulamento anexo à Resolução nº 3.121, de 2003, e alterações posteriores - por bolsa de valores ou entidade mantenedora de mercado de balcão organizado credenciada na CVM, sejam admitidas à negociação em segmento especial por essa mantido nos moldes do Novo Mercado ou classificadas nos moldes do Nível 2 da Bovespa;
b) representativas de percentual igual ou superior a 3% (três por cento) do Ibovespa, do IBX ou do IBX 50.
§4º - Para fins de verificação da observância dos limites de que trata o §3º, deve ser adicionado, ao total de ações, o total de bônus de subscrição e de debêntures conversíveis em ações de uma mesma companhia.
Nota da Editora: Art. 10 alterado conforme Resolução CMN nº 3.358, de 31.03.2006.
Seção III
Do Segmento de Imóveis
Art. 11 - No segmento de imóveis, os recursos devem ser aplicados:
I - em imóveis urbanos, observados os limites a seguir especificados:
a) até 12% (doze por cento), durante os anos de 2005 e 2006;
b) até 8% (oito por cento), a partir do ano de 2007;
II - até 10% (dez por cento) em cotas de fundos de investimento imobiliário.
§1º - O total das aplicações em um único imóvel não pode representar mais que 4% (quatro por cento) do valor total dos recursos garantidores a partir do ano de 2008.
§2º - Fica vedada a realização ou a manutenção de aplicações dos recursos em terrenos a partir do ano de 2008.
§3º - No caso de recepção de recursos de planos de benefícios cuja contratação tenha sido feita originalmente por meio de entidade fechada de previdência complementar, os respectivos imóveis urbanos podem ser oferecidos exclusivamente como ativos garantidores das provisões de planos de sociedades seguradoras e de entidades abertas de previdência complementar para os quais os recursos tenham sido transferidos.
§4º - Os recursos dos planos das sociedades seguradoras e das entidades abertas de previdência complementar referidos no §3º ficam sujeitos aos limites a seguir especificados, relativamente à aplicação em imóveis urbanos:
I - até 14% (quatorze por cento), durante o ano de 2005;
II - até 11 % (onze por cento), durante os anos de 2006, 2007 e 2008;
III - até 8% (oito por cento), a partir do ano de 2009.
§5º - A diferença positiva entre o valor de reavaliação e o valor contabilizado dos imóveis não será computada para efeito de cobertura das reservas, das provisões e dos fundos das sociedades seguradoras, das sociedades de capitalização e das entidades abertas de previdência complementar, pelo prazo de doze meses contados da data de reavaliação.
§6º - Até 2007, podem ser oferecidos como ativos garantidores, observado o limite de 5% (cinco por cento) do valor total dos recursos, os direitos resultantes da venda dos imóveis urbanos que tenham pertencido a sociedades seguradoras, sociedades de capitalização e entidades abertas de previdência complementar.
CAPÍTULO III
DOS REQUISITOS DE DIVERSIFICAÇÃO
Art. 12 - Além dos limites estabelecidos no Capítulo II, devem ser observados os seguintes requisitos de diversificação:
I - a aplicação em quaisquer títulos ou valores mobiliários de emissão ou coobrigação de uma mesma pessoa jurídica que não instituição financeira, de sua controladora, de sociedades por ela direta ou indiretamente controladas e de coligadas ou outras sociedades sob controle comum, bem como de um mesmo estado, município ou fundo de investimento não pode exceder 10% (dez por cento) do valor total dos recursos;
II - as aplicações em quaisquer títulos ou valores mobiliários de emissão ou coobrigação de uma mesma instituição financeira, de sua controladora, de sociedades por ela direta ou indiretamente controladas e de coligadas ou outras sociedades sob controle comum não pode exceder 20% (vinte por cento) do valor total dos recursos.
§1º - Para efeito do limite estabelecido no inciso II, devem ser computados os valores dos depósitos de poupança realizados em uma mesma instituição financeira.
§2º - Os limites estabelecidos neste artigo não se aplicam:
I - aos títulos de emissão do Tesouro Nacional, aos títulos de emissão do Banco Central do Brasil e aos créditos securitizados pelo Tesouro Nacional;
II - aos investimentos em cotas de fundos de investimento referidos no Art. 4º, inciso I, alínea “e”;
III - aos investimentos em cotas de fundos de investimento de que trata a Subseção II do Capítulo II.
Art. 13 - As aplicações dos recursos em cotas de quaisquer dos fundos de investimento a seguir especificados não podem exceder 25% (vinte e cinco por cento) do patrimônio líquido desses:
I - fundo de investimento em direitos creditórios, constituído sob a forma de condomínio fechado;
II - fundo de investimento em cotas de fundos de investimento em direitos creditórios, constituído sob a forma de condomínio fechado;
III - fundo de investimento imobiliário;
IV - fundo de investimento em participações;
V - fundo de investimento em empresas emergentes.
Art. 14 - O total das aplicações em valores mobiliários de uma mesma série, exceto ações, bônus de subscrição de ações, recibos de subscrição de ações de uma companhia e certificados de recebíveis imobiliários, não pode exceder 25% (vinte e cinco por cento) da série.
Parágrafo único. O limite de que trata o caput não se aplica às debêntures de infraestrutura emitidas na forma disposta no art. 2º da Lei nº 12.431, de 24 de junho de 2011, por sociedade por ações, aberta ou fechada, cuja oferta pública tenha sido registrada na Comissão de Valores Mobiliários, ou que tenha sido objeto de dispensa, e que possuam garantia de títulos públicos federais que representem pelo menos trinta por cento do principal na data de vencimento dos compromissos estipulados na escritura de emissão, observadas as normas da Comissão de Valores Mobiliários.
Nota da Editora: Parágrafo único incluído pela RESOLUÇÃO CMN Nº 4.449, DE 20.11.2015.
CAPÍTULO IV
DOS PRAZOS DOS FUNDOS DE INVESTIMENTO ESPECIALMENTE CONSTITUÍDOS
Art. 15 - A carteira de renda fixa dos fundos de investimento especialmente constituídos de uma mesma sociedade seguradora ou entidade aberta de previdência complementar, de que tratam os Arts. 5º a 7º deste Anexo, deverá respeitar, cumulativamente, as seguintes regras de enquadramento:
Art. 15 - O conjunto dos ativos de renda fixa dos fundos de investimento especialmente constituídos de uma mesma sociedade seguradora ou entidade aberta de previdência complementar, de que tratam os Arts. 5º a 7º deste Anexo, deverá respeitar, cumulativamente, as seguintes regras de enquadramento:
Nota da Editora: Art. 15 alterado pela Resolução CMN nº 4.221, de 23.05.2013.
I - apresentar prazo médio remanescente mínimo de 1.825 dias corridos; e
II - apresentar prazo médio de repactuação mínimo de 1.095 dias corridos.
Art. 15 - O conjunto dos ativos de renda fixa dos fundos de investimento especialmente constituídos, de que tratam os arts. 5º e 7º deste Anexo, de uma mesma sociedade seguradora ou entidade aberta de previdência complementar deverá respeitar, cumulativamente, as seguintes regras de enquadramento:
I - apresentar prazo médio remanescente mínimo de 1.095 dias corridos; e
II - apresentar prazo médio de repactuação mínimo de 730 dias corridos.
Nota da Editora: Art. 15 e incisos I e II alterados pela Resolução CMN nº 4.402, de 26.03.2015.
§1º - As métricas e definições necessárias para cômputo das regras de enquadramento previstas no caput observarão o disposto no Anexo II.
§2º - Para fins de verificação dos prazos de que tratam os incisos I e II deste artigo, deverá ser utilizada a média aritmética dos valores diariamente observados, no mínimo, no período referente aos últimos 90 dias antecedentes ao dia de referência.
§2º - Para fins de verificação dos prazos de que tratam os incisos I e II deste artigo, deverá ser utilizada a média aritmética dos valores diariamente observados, no mínimo, no período referente aos últimos 63 dias úteis antecedentes ao dia de referência.
Nota da Editora: Parágrafo 2º alterado pela Resolução CMN nº 4.221, de 23.05.2013.
§3º - O Conselho Monetário Nacional, em casos excepcionais, poderá reduzir o prazo de que trata o inciso II deste artigo, por período de tempo determinado.
Art. 16 - O prazo para enquadramento às regras definidas no Art. 15 é 31 de dezembro de 2015.
Parágrafo único - A partir de 31 de maio de 2013, ficam impedidos investimentos que reduzam os prazos médios verificados na data de publicação desta Resolução, nos casos das sociedades seguradoras ou entidades abertas de previdência complementar que apresentem prazos médios inferiores ao disposto no Art. 15 na data de publicação desta Resolução.
Nota da Editora: Capítulo IV incluído pela Resolução CMN nº 4.176, de 02.01.2013.
ANEXO II
DAS MÉTRICAS E DEFINIÇÕES PARA CÔMPUTO DOS PRAZOS DOS FUNDOS DE INVESTIMENTO ESPECIALMENTE CONSTITUÍDOS
Art. 1º - Para efeito do cálculo dos prazos de que trata o Art. 15 do Anexo I desta Resolução, devem ser considerados todos os ativos ou instrumentos financeiros de renda fixa, operações compromissadas e contratos de derivativos que tenham fator de risco associado à variação de taxa de juros flutuante, integrantes das carteiras dos fundos de investimento especialmente constituídos de que tratam os Arts. 5º a 7º do referido Anexo I.
Art. 1º - Para efeito do cálculo dos prazos de que trata o Art. 15 do Anexo I desta Resolução, devem ser consideradas as operações compromissadas, os contratos de derivativos que tenham fator de risco associado à variação de taxa de juros flutuante e os ativos de que trata o Art. 4º do Anexo I desta Resolução, com exceção dos ativos listados na alínea "o" do inciso II e nas alíneas "c" e "d" do inciso III do mesmo artigo, integrantes das carteiras dos fundos de investimento especialmente constituídos de que tratam os Arts. 5º a 7º do referido Anexo I.
Nota da Editora: Art. 1º alterado pela Resolução CMN nº 4.221, de 23.05.2013.
Art. 1º - Para efeito do cálculo dos prazos de que trata o art. 15 do Anexo I desta Resolução, devem ser consideradas as operações compromissadas e os ativos de que trata o art. 4º do Anexo I desta Resolução, com exceção dos ativos listados na alínea "o" do inciso II e nas alíneas "c" e "d" do inciso IV do mesmo artigo, integrantes das carteiras dos fundos de investimento especialmente constituídos de que tratam os arts. 5º a 7º do referido Anexo I.
Nota da Editora: Art. 1º alterado pela Resolução CMN nº 4.402, de 26.03.2015.
Parágrafo único - Para o cômputo dos prazos médio remanescente e de repactuação das aplicações em fundos de investimento, de que tratam as alíneas "e" do inciso I, "m" e "n" do inciso II e "a", "b","e" e "f" do inciso III do Art. 4º, bem como do Art. 7º e do inciso V do Art. 10 do Anexo I desta Resolução, devem ser considerados os ativos finais utilizados no cálculo dos prazos de que trata o Art. 15 do Anexo I desta Resolução, conforme disposto no caput.
Nota da Editora: Parágrafo único incluído pela Resolução CMN nº 4.221, de 23.05.2013.
Art. 2º - Para fins do disposto no inciso I do Art. 15 do Anexo I desta Resolução, o prazo médio remanescente da carteira é dado pelo prazo médio remanescente, em dias corridos, ponderado pelos respectivos valores financeiros:
I - dos títulos de renda fixa; e
II - das operações compromissadas lastreadas em títulos de renda fixa.
§1º - Para efeito do disposto no inciso I do caput devem ser considerados todos os títulos de que trata a Seção I, Capítulo II do Anexo I desta Resolução.
§1º - Para efeito do disposto no inciso I do caput devem ser considerados os ativos de renda fixa especificados no Art. 1º do Anexo II desta Resolução.
Nota da Editora: Parágrafo 1º alterado pela Resolução CMN nº 4.221, de 23.05.2013.
§2º - Os títulos de renda fixa recebidos como lastro de operações compromissadas devem ser desconsiderados no cálculo de que trata o caput.
§3º - O prazo médio remanescente de um título de renda fixa é dado pela média dos prazos de cada vencimento de principal e de juros, ponderada pelos respectivos valores nominais na data de apuração do prazo médio da carteira, sem considerar qualquer projeção de índice.
§4º - O prazo de cada vencimento de principal e juros é dado pelo prazo remanescente de cada evento financeiro, entendido como sendo o número de dias corridos entre a data de apuração do prazo médio da carteira e a data de cada vencimento, excluindo-se da sua contagem a data de apuração e incluindo-se a de vencimento.
§5º - O prazo médio remanescente da operação compromissada é entendido como sendo o número de dias corridos entre a data de apuração do prazo médio da carteira e a data de vencimento da operação, excluindo-se da sua contagem a data de apuração e incluindo-se a de vencimento.
§6º - O valor financeiro de que trata o caput é dado pelo valor contábil, diariamente avaliado.
Art. 3º - Para fins do disposto no inciso II do Art. 15 do Anexo I, o prazo médio de repactuação da carteira é dado pelo prazo de repactuação, em dias corridos, ponderado pelos respectivos valores financeiros:
I - dos títulos de renda fixa;
II - das operações compromissadas lastreadas em títulos de renda fixa; e
III - dos contratos de derivativos que tenham fator de risco associado à variação de taxas de juros flutuante.
Nota da Editora: Inciso III revogado pela Resolução CMN nº 4.402, de 26.03.2015.
§1º - O prazo de repactuação dos títulos de renda fixa de que trata o inciso I do caput será apurado conforme o Art. 4º deste Anexo.
§2º - O prazo de repactuação das operações compromissadas será dado pelo seu prazo médio remanescente, apurado na forma do disposto no §5º do Art. 2º deste Anexo.
§3º - Os títulos de renda fixa recebidos como lastro das operações compromissadas não deverão ser utilizados para o cálculo de que trata o caput deste artigo.
§4º - O prazo de repactuação dos contratos de derivativos de que trata o inciso III do caput considerará todas as exposições deles resultantes, sendo computadas:
I - com sinal positivo, para as exposições ativas; e
II - com sinal negativo, para as exposições passivas.
§5º - O valor financeiro dos contratos derivativos não deverá ser computado no denominador da ponderação de que trata o caput.
Nota da Editora: Parágrafos 4º e 5º revogado pela Resolução CMN nº 4.402, de 26.03.2015.
§6º - Para efeito do disposto no inciso I do caput devem ser considerados os ativos de renda fixa especificados no Art. 1º do Anexo II desta Resolução.
Nota da Editora: Parágrafo 6º incluído pela Resolução CMN nº 4.221, de 23.05.2013.
Art. 4º - O prazo de repactuação dos títulos de que trata o §1º do Art. 3º e das exposições dos contratos de derivativos de que trata o §4º do Art. 3º será definido de acordo com o tipo de remuneração do instrumento, sendo:
I - de 1 dia para Taxa Média Selic (TMS), apurada pelo Banco Central do Brasil;
II - de 1 dia para Taxa DI-CETIP Over (Extra-Grupo), apurada pela CETIP S.A. Mercados Organizados;
III - de 30 dias para Taxa Referencial de Juros Mensal – TR Mensal, apurada pelo Banco Central do Brasil;
IV - de 91 dias para Taxa de Juros de Referência de 3 meses TJ3, apurada pela BM&FBovespa;
V - de 182 dias para Taxa de Juros de Referência de 6 meses TJ6, apurada pela BM&FBovespa;
VI - de 1 dia para outras taxas de juros flutuantes;
VII - igual ao prazo médio remanescente, na forma do Art. 2º deste Anexo, para títulos não indexados a taxas de juros flutuantes; e
VIII - igual ao prazo do contrato de derivativo para exposições oriundas de contratos derivativos não indexados a taxas de juros flutuantes.
Nota da Editora: Inciso VIII revogado pela Resolução CMN nº 4.402, de 26.03.2015.
ANEXO III
FÓRMULAS PARA CÁLCULO DOS PRAZOS MÉDIOS REMANESCENTE E DE REPACTUAÇÃO DA CARTEIRA DE RENDA FIXA DOS FUNDOS DE INVESTIMENTO ESPECIALMENTE CONSTITUÍDOS
Art. 1º - Para o cômputo dos prazos de que tratam os Arts. 2º e 3º do Anexo II desta Resolução, devem ser consideradas as seguintes fórmulas:
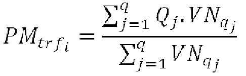
I - prazo médio remanescente de um título de renda fixa (PMtrfi), em dias corridos:

em que:
q é a quantidade de eventos financeiros (juros e/ou principal) do título de renda fixa i;
Qj é o prazo remanescente de cada evento financeiro j (juros e/ou principal) do título de renda fixa i, dado em dias corridos; e
VNqj é o valor nominal de cada evento financeiro j (jurose/ou principal) do título de renda fixa i.
II - prazo médio remanescente da carteira de títulos de renda fixa (PMctrf), em dias corridos:

em que:
m é a quantidade de títulos de renda fixa na carteira;
PMtrfi é o prazo médio remanescente do título de renda fixa i, apurado conforme os §§3º e 4º do Art. 2º do Anexo II, em dias corridos; e
VFtrfi é o valor financeiro do título de renda fixa i.
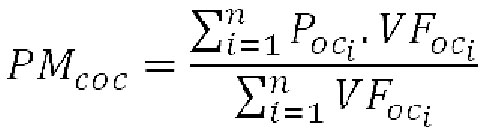
III - prazo médio remanescente da carteira de operações compromissadas (PMcoc), em dias corridos:

em que:
n é a quantidade de operações compromissadas na carteira;
Poci é o prazo remanescente da operação compromissada i apurado conforme o §5º do Art. 2º do Anexo II, em dias corridos; e
VFoci é o valor financeiro da operação compromissada i.
IV - prazo médio remanescente da carteira de renda fixa (PMR), em dias corridos:

V - prazo médio de repactuação da carteira de títulos de renda fixa (PRctrf), em dias corridos:

em que:
m é a quantidade de títulos de renda fixa na carteira;
PRtrfi é o prazo de repactuação do título de renda fixa i, apurado conforme o Art. 3º do Anexo II, em dias corridos; e
VFtrfi é o valor financeiro do título de renda fixa i.
VI - prazo médio de repactuação da carteira de contratos de derivativos (PRcd), em dias corridos:

em que:
r é a quantidade de contratos de derivativos de taxa de juros na carteira;
PRcdai é o prazo de repactuação da exposição ativa do contrato de derivativo de taxa de juros i, apurado conforme o Art. 4º do Anexo II, em dias corridos;
PRcdp é o prazo de repactuação da exposição passiva do contrato de derivativo de taxa de juros i, apurado conforme o Art. 4º do Anexo II, em dias corridos; e
VFcdi é o valor financeiro do contrato de derivativo de taxa de juros i.
Nota da Editora: Inciso VI revogado pela Resolução CMN nº 4.402, de 26.03.2015.

VII - prazo médio de repactuação da carteira de renda fixa (PRC), em dias corridos:
Nota da Editora: Inciso VII alterado pela Resolução CMN nº 4.402, de 26.03.2015.