RESOLUÇÃO CGSR Nº 040, DE 18.11.2015
Define procedimentos de fiscalização das operações de subvenção econômica ao prê- mio do seguro rural.
O COMITÊ GESTOR INTERMINISTERIAL DO SEGURO RURAL - CGSR, no exercício da competência que lhe confere a o artigo 22, do Decreto nº 5.121, de 29 de junho de 2004, observado o disposto no inciso IV, do artigo 5º, do Regimento Interno do Comitê Gestor Interministerial do Seguro Rural - CGSR, editado pela Resolução nº 5, de 3 de agosto de 2005,
Resolveu:
Art. 1º Definir procedimentos a serem observados na fiscalização das operações de subvenção econômica ao prêmio do seguro rural.
Art. 2º A fiscalização tem por finalidade comprovar as informações e dados constantes das apólices ou certificados de seguro rural, tendo como prioridade a comprovação de confirmação do recebimento da subvenção federal por parte do beneficiário, e será realizada por instituição contratada pelo Ministério da Agricultura, Pecuária e Abastecimento - MAPA para esse fim.
Art. 3º A fiscalização será realizada por amostragem probabilística que garanta a sua representatividade.
§1º A amostragem probabilística será realizada pela Secretaria-Executiva do CGSR.
§2º Na apuração da amostragem probabilística serão observados os seguintes critérios:
I - as operações serão agrupadas em 8 (oito) estratos, considerando o valor da subvenção de cada apólice, conforme a tabela abaixo:
Tabela Estratificação por quantis
| Estrato | Quantil |
| 1 | 0-10% |
| 2 | 10-20% |
| 2 | 20-40% |
| 4 | 40-60% |
| 5 | 60-80% |
| 6 | 80-90% |
| 7 | 90-95% |
| 5 | 95%-100% |
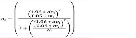
II - O tamanho da amostra (ni) será calculado por estrato para um intervalo de confiança de 95% e um erro tolerável de auditoria de 5%, com base na seguinte equação:
III - No caso da fórmula acima, ni é o tamanho da amostra por estrato, dpi é o desvio padrão dos valores de subvenção por estrato, mi é a média dos valores de subvenção por estrato e Ni é o tamanho total do estrato.
§3º Além da fiscalização por amostragem probabilística, também deverão ser fiscalizadas as operações envolvidas em denúncias recebidas e aquelas sob suspeita de irregularidades, por parte da Secretaria-Executiva do CGSR ou deste Comitê.
Art. 4º As sociedades seguradoras devem disponibilizar, mediante solicitação da Secretaria-Executiva do CGSR, cópias digitais dos documentos comprobatórios das operações a serem fiscalizadas em um prazo máximo de quinze dias após o recebimento do comunicado. Fica a critério da Secretaria-Executiva do CGSR a solicitação adicional de material em meio físico, quando julgar necessário.
§1º Caso a sociedade seguradora extrapole o prazo determinado no caput, sem motivos justificados, a mesma estará sujeita a pena de suspensão de operacionalização no Programa de Subvenção ao Prêmio do Seguro Rural por um período de até 120 dias.
§2º. Ao fim do prazo, persistindo a irregularidade, a suspensão será mantida até a regularização, podendo ser excepcionada, se justificada, somente por proposta da Secretaria-Executiva do CGSR, aprovada por este Comitê.
Parágrafo único. A partir de 1º de janeiro de 2021 será obrigatório que todos os laudos de vistoria das seguradoras estejam disponíveis em sistema próprio (digitizados).
(Nota: Parágrafo único incluído pela Resolução CGSR nº 073, de 22.06.2020, revogando-se, tacitamente, os parágrafos 1° e 2°)
Art. 5º A Secretaria-Executiva do CGSR disponibilizará a base de dados das operações a serem fiscalizadas à instituição contratada para executar a fiscalização.
Art. 6º O resultado de cada fiscalização deverá ser registrado, pelo(s) preposto(s) da instituição contratada para esse fim, em laudo específico, conforme modelo constante no anexo desta Resolução.
Art. 7º Os laudos emitidos serão encaminhados à Secretaria-Executiva do CGSR, a qual caberá adotar as providências relativas a eventuais irregularidades detectadas na fiscalização.
Art. 8º A fiscalização das operações de subvenção realizadas em cada quadrimestre do ano civil será realizada no decorrer do respectivo quadrimestre subseqüente.
Parágrafo único. A fiscalização das operações de subvenção será procedida a partir do recebimento, pela instituição contratada, de toda a base de dados das operações de determinado quadrimestre enviada pela Secretaria-Executiva do CGSR, com o prazo de 90 dias para sua conclusão.
Art. 9º Concluído o trabalho de fiscalização pela instituição contratada pelo Ministério da Agricultura, esta elaborará e submeterá à consideração do Comitê, na primeira reunião ordinária que se seguir, resultado das vistorias realizadas.
Parágrafo único. A Secretaria-Executiva do CGSR apresentará ao plenário do Comitê, em um prazo de até 60 dias a partir da reunião referida no caput, o resultado das providências adotadas no caso de irregularidades.
Art. 10º Esta Resolução entra em vigor na data de sua publicação, ficando revogada a Resolução nº 32, de 23 de outubro de 2014.
ANDRÉ MELONI NASSAR
Presidente do Comitê
(DOU de 19.11. 2015 – págs. 5 e 6 – Seção 1)
ANEXO I (download)
Ministério da Agricultura, Pecuária e Abastecimento
Laudo de Fiscalização da Subvenção Econômica ao Prêmio do Seguro Rural
(Nota: Anexo I alterado pela Resolução CGSR nº 070, de 29.10.2019)
