CONTEÚDO
RESOLUÇÃO BCB Nº 189, DE 23.02.2022
Define e consolida as regras do recolhimento compulsório sobre recursos à vista e incorpora regras do recolhimento compulsório sobre recursos de depósitos e de garantias realizadas.
A Diretoria Colegiada do Banco Central do Brasil, em sessão realizada em 23 de fevereiro de 2022, com base no art. 10, incisos III e IV, da Lei nº 4.595, de 31 de dezembro de 1964, e no art. 66 da Lei nº 9.069, de 29 de junho de 1995, resolve:
CAPÍTULO I
DAS REGRAS GERAIS
Art. 1º Esta Resolução dispõe sobre o recolhimento compulsório sobre recursos à vista.
Art. 2º Os bancos múltiplos e de investimento titulares de conta Reservas Bancárias, os bancos comerciais e as caixas econômicas estão sujeitos ao recolhimento compulsório sobre recursos à vista.
Parágrafo único. Para fins de cálculo de recolhimento compulsório, também são considerados como recursos à vista, de que trata o caput, aqueles captados por bancos múltiplos, bancos de investimento e sociedades de crédito, financiamento e investimento, desde que estes não sejam titulares de conta Reservas Bancárias, no caso das referidas instituições bancárias, que sejam pertencentes a conglomerado financeiro de instituição sujeita ao recolhimento compulsório sobre recursos à vista.
Art. 3º Constituem Valor Sujeito a Recolhimento (VSR), em cada dia útil, os saldos inscritos nos seguintes subgrupos e títulos do Padrão Contábil das Instituições Reguladas pelo Banco Central do Brasil (Cosif):
I - 4.1.1.00.00-0 Depósitos à Vista;
II - 4.5.1.00.00-6 Recursos em Trânsito de Terceiros;
III - 4.9.1.00.00-2 Cobrança e Arrecadação de Tributos e Assemelhados;
IV - 4.9.9.05.00-1 Cheques Administrativos;
V - 4.9.9.12.10-4 Contratos de Assunção de Obrigações - Vinculados a Operações Realizadas no País;
VI - 4.9.9.27.00-3 Obrigações de Pagamento em Nome de Terceiros; e
VII - 4.9.9.60.00-8 Recursos de Garantias Realizadas.
§ 1º São isentos do recolhimento compulsório sobre recursos à vista os valores inscritos na rubrica contábil do Cosif 4.5.1.85.00-7 Ordens de Pagamento em Moedas Estrangeiras.
§ 2º Os valores inscritos na rubrica Recursos em Trânsito de Terceiros, sujeitos à exigência, são balanceados com as respectivas contrapartidas do ativo, ressalvado que aqueles de origem eminentemente devedora não são computados para efeito do balanceamento.
§ 3º Os valores inscritos nas rubricas do VSR das instituições referidas no parágrafo único do art. 2º em que ao menos um dos integrantes esteja sujeito ao recolhimento compulsório sobre recursos à vista devem ser informados pelo participante com o maior VSR.
Art. 4º A base de cálculo da exigibilidade do recolhimento compulsório sobre recursos à vista corresponde à média aritmética dos VSRs apurados no período de cálculo, deduzida de R$500.000.000,00 (quinhentos milhões de reais).
Parágrafo único. O período de cálculo tem início na segunda-feira de uma semana e término na sexta-feira da semana seguinte.
Art. 5º A exigibilidade do recolhimento compulsório sobre recursos à vista é apurada aplicando-se, sobre a base de cálculo de que trata o art. 4º, a alíquota de 21% (vinte e um por cento).
CAPÍTULO II
DA ISENÇÃO
Art. 6º A instituição financeira que apresentar exigibilidade igual ou inferior a R$500.000,00 (quinhentos mil reais) fica isenta da obrigatoriedade de recolhimento, devendo prestar as informações previstas no art. 15 desta Resolução.
CAPÍTULO III
DO RECOLHIMENTO
Art. 7º A verificação do cumprimento da exigibilidade é feita com base nas posições apuradas em cada dia útil do período de movimentação, que tem início na segunda-feira da segunda semana seguinte ao fim do período de cálculo e término na sexta-feira da semana subsequente.
§ 1º Para efeito da verificação de que trata o caput deste artigo, considera-se posição o saldo diário registrado na conta Reservas Bancárias no fechamento da grade regular de operações dos participantes no Sistema de Transferência de Reservas (STR), apurada antes do início da janela adicional para aportes em Conta Pagamentos Instantâneos (Conta PI), de que trata o Regulamento do STR.
§ 2º A média aritmética das posições da instituição durante o período de movimentação deve corresponder a 100% (cem por cento) da exigibilidade apurada para o respectivo período.
§ 3º No momento da apuração do saldo de que trata o § 1º, a posição da instituição deve ser equivalente a, no mínimo, 65% (sessenta e cinco por cento) da exigibilidade apurada para o respectivo período.
CAPÍTULO IV
DO CUSTO FINANCEIRO
Art. 8º A instituição financeira que não observar as normas relativas ao cumprimento da exigibilidade do recolhimento compulsório sobre recursos à vista incorre no pagamento de custo financeiro.
Art. 9º O custo financeiro sobre deficiência na posição diária dos recolhimentos compulsórios sobre recursos à vista é devido no dia útil seguinte à data em que verificada a deficiência e calculado com a utilização da seguinte fórmula:

I - Cvt = custo financeiro sobre a deficiência na posição diária verificada no dia "t", expresso com 2 (duas) casas decimais, com arredondamento matemático;
II - s = Taxa Selic da data da deficiência ("t"), expressa de forma unitária, com 4 (quatro) casas decimais;
III - r = acréscimo à Taxa Selic, correspondendo a 4% (quatro por cento) ao ano, expresso com 4 (quatro) casas decimais; e
IV - Dvt = deficiência na posição diária do recolhimento compulsório no dia "t", em que Dvt = p x E - St, para todo St < p x E, sendo:
a) St = posição do dia "t" ou saldo de encerramento da respectiva conta de recolhimento no dia útil "t";
b) p = percentual mínimo diário exigido do recolhimento compulsório, expresso sob a forma unitária; e
c) E = exigibilidade apurada na forma do art. 5º para o respectivo período de movimentação.
Parágrafo único. A instituição financeira que apresentar deficiência na posição diária do recolhimento compulsório sobre recursos à vista por 3 (três) dias úteis, consecutivos ou não, no período de 10 (dez) dias úteis, deverá encaminhar, imediatamente, ao Departamento de Operações Bancárias e de Sistema de Pagamentos (Deban) do Banco Central do Brasil justificativas para a ocorrência, independentemente do pagamento do custo financeiro.
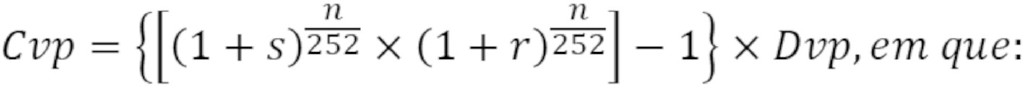
Art. 10. O custo financeiro sobre deficiência na média das posições diárias do recolhimento compulsório sobre recursos à vista (Cvp) é devido no dia útil seguinte ao encerramento do respectivo período de movimentação e calculado com a utilização da seguinte fórmula:

I - Cvp = custo financeiro sobre a deficiência na média das posições diárias, expresso com 2 (duas) casas decimais, com arredondamento matemático;
II - s = Taxa Selic do último dia útil do período de movimentação, expressa de forma unitária, com 4 (quatro) casas decimais;
III - r = acréscimo à Taxa Selic, correspondendo a 4% (quatro por cento) ao ano, expresso com 4 (quatro) casas decimais;
IV - n = número de dias úteis do respectivo período de movimentação; e
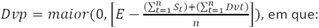
V - Dvp = deficiência na média das posições diárias, sendo:

a) St = posição do dia útil ("t") do respectivo período de movimentação;
b) E = exigibilidade apurada na forma do art. 5º para o respectivo período de movimentação;
c) Dvt = deficiência na posição diária do recolhimento sobre recursos à vista no dia "t", calculada tal como no art. 9º; e
d) n = número de dias úteis do respectivo período de movimentação.
Parágrafo único. A deficiência na média das posições diárias igual ou inferior a 3% (três por cento) da respectiva exigibilidade não estará sujeita a custo financeiro desde que, no período de movimentação imediatamente anterior, se verifique excesso na média das posições diárias, em relação à correspondente exigibilidade, de valor igual ou superior à deficiência.
Art. 11. Os resultados parciais de multiplicação, divisão e potenciação utilizados nas expressões algébricas do cálculo dos custos financeiros de que trata esta Resolução devem conter 8 (oito) casas decimais, com arredondamento matemático.
Art. 12. Os custos financeiros de que trata esta Resolução, quando pagos em data posterior à data em que devidos, serão atualizados desde a data em que devidos até a data do pagamento, com base na Taxa Selic.
Art. 13. A devolução de custo previsto nesta Resolução, em decorrência de pagamento indevido, será feita com atualização do valor, desde a data do pagamento até a data de devolução, com base na Taxa Selic.
Art. 14. Toda a movimentação relativa à cobrança ou à devolução dos custos financeiros de que trata esta Resolução será efetuada por meio do Sistema de Lançamentos do Banco Central (SLB).
CAPÍTULO V
DO ENVIO DA INFORMAÇÃO
Art. 15. A instituição deve fornecer, até o dia útil imediatamente anterior à data em que se inicia a vigência da respectiva exigibilidade, os dados diários relativos ao VSR do período de cálculo.
§ 1º A instituição financeira está dispensada de prestar as informações de que trata este artigo caso os valores sujeitos a recolhimento e outros relativos ao cumprimento da exigibilidade e deduções de recolhimento permaneçam inalterados em relação à última posição informada.
§ 2º Na hipótese de ausência de informações relativas a um ou mais dias do período de cálculo até o final do prazo fixado no caput, será atribuído a cada posição não informada o valor relativo à última posição informada.
§ 3º A instituição financeira que informar ou alterar os dados após os prazos fixados neste artigo sujeita-se às penalidades previstas na regulamentação em vigor.
Art. 16. A documentação comprobatória das informações objeto desta Resolução, salvo disposição em contrário, deverá ser mantida à disposição do Banco Central do Brasil pelo prazo mínimo de 5 (cinco) anos, contados a partir da data a que se refere cada informação.
CAPÍTULO VI
DISPOSIÇÕES FINAIS
Art. 17. As instituições financeiras são divididas em dois segmentos, denominados Grupo "A" e Grupo "B", para fins do recolhimento compulsório sobre recursos à vista.
§ 1º Os períodos de cálculo e de movimentação do Grupo "A" têm defasagem de uma semana em relação aos do Grupo "B".
§ 2º O Deban divulgará, por meio de instrução normativa BCB, o procedimento para acesso à relação discriminativa das instituições pertencentes a cada grupo.
Art. 18. Fica o Deban autorizado a adotar as medidas necessárias à execução do disposto nesta Resolução.
Art. 19. O disposto nesta Resolução deverá ser observado:
I - para instituições financeiras que integram o Grupo "A", a partir do período de cálculo com início em 6 de junho de 2022 e término em 17 de junho de 2022, cujo ajuste ocorrerá em 27 de junho de 2022; e (Nota: Redação dada pela Resolução BCB nº 227, de 13.04.2022.)
II - para instituições financeiras que integram o Grupo "B", a partir do período de cálculo com início em 30 de maio de 2022 e término em 10 de junho de 2022, cujo ajuste ocorrerá em 20 de junho de 2022. (Nota: Redação dada pela Resolução BCB nº 227, de 13.04.2022.)
Art. 20. Ficam revogados, após a produção de seus efeitos, para instituições financeiras que integram o Grupo "A", no período de cálculo com início em 23 de maio de 2022 e término em 3 de junho de 2022, cujo ajuste ocorrerá em 13 de junho de 2022 e, para instituições financeiras que integram o Grupo "B", no período de cálculo com início em 16 de maio de 2022 e término em 27 de maio de 2022, cujo ajuste ocorrerá em 6 de junho de 2022: (Nota: Redação dada pela Resolução BCB nº 227, de 13.04.2022.)
I - a Circular nº 3.917, de 22 de novembro de 2018; e
II - o art. 6º da Circular nº 4.038, de 28 de julho de 2020.
Art. 21. Esta Resolução entra em vigor em 1º de abril de 2022.
BRUNO SERRA FERNANDES
Diretor de Política Monetária
(DOU de 25.02.2022 - págs. 127 e 128 - Seção 1)