CONTEÚDO
RESOLUÇÃO BCB Nº 110, DE 01.07.2021
Institui as Linhas Financeiras de Liquidez (LFL) do Banco Central do Brasil e aprova o seu regulamento.
A Diretoria Colegiada do Banco Central do Brasil, em sessão realizada em 30 de junho de 2021, com base no art. 10, inciso V, da Lei nº 4.595, de 31 de dezembro de 1964, no art. 1º-A da Lei nº 11.882, de 23 de dezembro de 2008, tendo em vista o disposto no art. 66-B da Lei nº 4.728, de 14 de julho de 1965, no art. 68, parágrafo único, da Lei nº 9.069, de 29 de junho de 1995, e nos arts. 26, § 1º, e 28, § 2º, da Lei Complementar nº 101, de 4 de maio de 2000, resolve:
Art. 1º Esta Resolução institui as Linhas Financeiras de Liquidez (LFL) do Banco Central do Brasil, nos termos do Regulamento anexo.
Art. 2º As LFL entrarão em funcionamento em 8 de novembro de 2021, com a possibilidade de disponibilização gradual das funcionalidades do sistema, e estarão em pleno funcionamento a partir de 16 de novembro de 2021.
Art. 3º Ficam o Departamento de Operações Bancárias e de Sistema de Pagamentos (Deban), o Departamento de Monitoramento do Sistema Financeiro (Desig) e o Departamento de Tecnologia da Informação (Deinf), no âmbito de suas competências, autorizados a adotar as medidas necessárias à execução do disposto nesta Resolução, inclusive definindo os horários de operação e procedimentos que serão observados até o pleno funcionamento de que trata o art. 2º.
Art. 4º Esta Resolução entra em vigor em 2 de agosto de 2021.
PAULO SÉRGIO NEVES DE SOUZA
Diretor de Política Monetária,
Diretor de FiscalizaçãoSubstituto
CAROLINA DE ASSIS BARROS
Diretora de Administração
(DOU de 02.07.2021 – págs. 41 a 46 – Seção 1)
ANEXO
CAPÍTULO I
DO OBJETO E DO ÂMBITO DE APLICAÇÃO
Art. 1º As Linhas Financeiras de Liquidez (LFL) do Banco Central do Brasil, permanentemente disponíveis, compreendem operações de empréstimo concedidas pelo Banco Central do Brasil, em moeda nacional, a instituições financeiras, nas condições estabelecidas neste Regulamento.
Art. 2º Constituem as LFL as seguintes modalidades operacionais:
I - Linha de Liquidez Imediata (LLI), destinada ao gerenciamento de descasamentos de fluxos de caixa de curto prazo, abrangendo operações pelo prazo de até 5 (cinco) dias úteis, mediante rito automático de solicitação, aprovação e concessão;
II - Linha de Liquidez a Termo (LLT), voltada a atender necessidades de liquidez decorrentes de descasamentos entre operações ativas e passivas de instituições financeiras, abrangendo operações pelo prazo de até 359 (trezentos e cinquenta e nove) dias corridos.
Parágrafo único. As operações de que tratam os incisos I e II poderão ser liquidadas antes da data de vencimento, de forma parcial ou integral, pelas instituições financeiras participantes das LFL.
Art. 3º A concessão das operações da LLT é condicionada a autorizações específicas do Banco Central do Brasil.
§ 1º As autorizações de que trata o caput estão sujeitas ao juízo técnico do Banco Central do Brasil e estabelecerão, no seu âmbito, no mínimo, as seguintes condições operacionais:
I - a data limite para a realização das operações;
II - o valor máximo de concessão de operações;
III - o prazo máximo para as operações.
§ 2º A decisão específica de que trata o § 1º considerará o enquadramento nos requerimentos mínimos de Patrimônio de Referência (PR), de Nível I, de Capital Principal e de Adicional de Capital Principal de que trata a Resolução nº 4.193, de 1º de março de 2013.
§ 3º A instituição financeira que solicitar autorização para operações da LLT deverá fundamentar a efetiva necessidade de liquidez decorrente de descasamentos entre operações ativas e passivas.
Art. 4º As Instituições financeiras, para se habilitarem às LFL, deverão:
I - ser participantes do Sistema de Transferência de Reservas (STR);
II - atender às exigências estabelecidas no art. 12; e
III - passar por testes de homologação, demonstrando estarem aptas para realização dos procedimentos operacionais estabelecidos pelo Banco Central do Brasil.
Art. 5º As operações de empréstimo de que trata esta Resolução sujeitam-se à cobrança de encargos financeiros diários, na forma estabelecida nos arts. 14 e 15.
CAPÍTULO II
DAS DEFINIÇÕES
Art. 6º Para os efeitos desta Resolução, considera-se:
I - Participante LFL: instituição financeira habilitada a realizar operações de empréstimo no âmbito das LFL, nas condições estabelecidas neste Regulamento;
II - Sistema LFL: sistema de tecnologia de informação e comunicação operacionalizado pelo Banco Central do Brasil, responsável, no âmbito das LFL, pelo gerenciamento das operações de empréstimos e dos limites financeiros de crédito, pela desconstituição de gravames sobre ativos financeiros e valores mobiliários entregues em garantia, e pelas movimentações de recursos na Conta de Garantia em Espécie no Banco Central do Brasil;
III - Conta de Garantia em Espécie no Banco Central do Brasil (CGE): subtítulo da Conta Reservas Bancárias ou da Conta de Liquidação do Participante LFL, de acordo com a condição de titularidade da instituição, estabelecida nos arts. 35 e 36 do regulamento anexo à Resolução BCB nº 105, de 9 de junho de 2021, onde são mantidos recursos em espécie caucionados em favor do Banco Central do Brasil, como garantia das operações de empréstimo realizadas ao amparo desta Resolução;
IV - depositário central: pessoa jurídica autorizada, pelo Banco Central do Brasil e pela Comissão de Valores Mobiliários, no âmbito de suas respectivas competências, a exercer a atividade de depósito centralizado de ativos financeiros e de valores mobiliários, onde ocorre a constituição de gravames sobre ativos financeiros ou valores mobiliários nela depositados, conforme as disposições da Lei nº 12.810, de 15 de maio de 2013, e regulamentação em vigor;
V - entidade registradora: pessoa jurídica autorizada, pelo Banco Central do Brasil e pela Comissão de Valores Mobiliários, no âmbito de suas respectivas competências, a exercer a atividade de registro de ativos financeiros e de valores mobiliários, onde se efetua a constituição de gravames sobre ativos financeiros ou valores mobiliários nela registrados, conforme as disposições da Lei nº 12.810, de 2013, e regulamentação em vigor;
VI - pré-posicionamento: a constituição de gravame sobre ativos financeiros ou valores mobiliários, em favor do Banco Central do Brasil, de forma prévia à contratação de operação de empréstimo, por meio da transferência de ativos para conta de gravame titulada pelo Banco Central do Brasil na entidade em que os ativos garantidores estiverem depositados ou registrados;
VII - cesta de garantias: conjunto de ativos financeiros e de valores mobiliários mantidos em conta de gravame de titularidade do Banco Central do Brasil em depositário central ou na entidade registradora, e de recursos em espécie, mantidos na CGE;
VIII - evento financeiro: obrigação de pagamento estabelecida nos ativos financeiros ou valores mobiliários, tais como, mas não se limitando a, juros, amortizações e resgates;
IX - agenda de eventos: conjunto de informações mantido no depositário central ou na entidade registradora, disponibilizado ao Banco Central do Brasil, em que são apresentados os eventos financeiros de ativos financeiros ou valores mobiliários, ocorridos no passado ou previstos para o futuro, contendo o seu tipo, a sua identificação, a data de ocorrência, o estado de liquidação e outras informações estabelecidas pelo depositário central ou pela entidade registradora;
X - Agente de Notas: pessoa jurídica que, de acordo com a nota comercial, representa a comunhão dos titulares perante o emitente da nota comercial;
XI - Agente Fiduciário: pessoa jurídica que, nos termos da regulamentação em vigor e do estabelecido pelos documentos ou registros de emissão, representa a comunhão dos investidores perante o emissor;
XII - Agente de Pagamento: pessoa jurídica participante de entidade registradora ou de depositário central, responsável pela cobrança de eventos financeiros incidentes sobre ativos financeiros e valores mobiliários e pela entrega do produto da cobrança a um sistema de liquidação, para pagamento aos titulares desses bens;
XIII - debêntures incentivadas: debêntures emitidas com a finalidade de financiar projetos de investimento em infraestrutura, com tratamento tributário na forma do art. 2º da Lei nº 12.431, de 24 de junho de 2011;
XIV - retirada de garantias: operação autorizada pelo Sistema LFL, a partir de solicitação do Participante LFL, em que é feita a baixa de gravame, desvinculação de ativos garantidores da conta de gravame do Banco Central do Brasil e sua devolução para a custódia do Participante LFL, ou, no caso de solicitação de retirada de garantia em espécie, a transferência de recursos da CGE para conta Reservas Bancárias ou da Conta de Liquidação do Participante LFL.
CAPÍTULO III
DA NATUREZA JURÍDICA DAS OPERAÇÕES E DE SUAS GARANTIAS, E DA CONTA DE GARANTIA EM ESPÉCIE NO BANCO CENTRAL DO BRASIL
Art. 7º As LFL são disponibilizadas sob a forma de operações de empréstimo, garantidas por cesta de garantias integrada por ativos financeiros, valores mobiliários e recursos em espécie.
§ 1º Os ativos financeiros e os valores mobiliários integrantes da cesta de garantias de que trata o caput serão alienados ou cedidos fiduciariamente ao Banco Central do Brasil, na forma do § 3º do art. 66-B da Lei nº 4.728, de 14 de julho de 1965.
§ 2º Todas as operações de empréstimo concedidas às instituições financeiras no âmbito das LFL são garantidas pela totalidade dos ativos integrantes da cesta de garantias de que trata o caput.
Art. 8º Os recursos em espécie integrantes da cesta de garantias de que trata o art. 7º ficam caucionados, em favor do Banco Centra do Brasil, na CGE, e podem ser provenientes de:
I - pagamentos de eventos financeiros relacionados aos ativos garantidores depositados em depositários centrais ou registrados em entidades registradoras, inclusive os correspondentes a juros, amortizações e resgates, liquidados no ambiente dos depositários centrais e das entidades registradoras; e
II - transferências voluntárias, pelo participante das LFL, para constituição de garantia em espécie no Banco Central do Brasil.
§ 1º As movimentações na CGE por ordem dos Participantes LFL são realizadas por meio do Sistema LFL, com a utilização de mensagens do Catálogo de Serviços do SFN.
§ 2º Não há remuneração incidente sobre o saldo da CGE.
Art. 9º A contratação das operações de empréstimo ao amparo desta Resolução é condicionada ao pré-posicionamento, pelo Participante LFL, de ativos financeiros ou de valores mobiliários que estejam registrados em entidade registradora ou depositados em depositários centrais.
§ 1º O pré-posicionamento é a constituição de gravame sobre ativos financeiros ou valores mobiliários, em favor do Banco Central do Brasil, de forma prévia à contratação de operação de empréstimo, ou para recomposição de suficiência de garantias na forma estabelecida neste Regulamento, na entidade em que os ativos garantidores estiverem depositados ou registrados.
§ 2º O pré-posicionamento de ativos ensejará a abertura ou atualização de limite financeiro de crédito específico para cada modalidade operacional das LFL, de acordo com a elegibilidade de acesso do participante de que trata o art. 11, devendo ser observadas as condições para concessão de crédito relativas a cada uma dessas modalidades.
CAPÍTULO IV
DA PARTICIPAÇÃO OPERACIONAL, DO ACESSO E DA ADESÃO
Seção I
Da participação operacional
Art. 10. A participação operacional de instituição financeira nas Linhas Financeiras de Liquidez é condicionada à observância do disposto no art. 4º e dos requisitos de elegibilidade de acesso para cada modalidade das LFL de que trata o art. 11, sendo:
I - obrigatória para pelo menos uma instituição financeira titular de Conta Reservas Bancárias integrante de conglomerado prudencial dos segmentos S1 e S2;
II - facultativa às instituições financeiras elegíveis ao acesso às LFL não compreendidas no inciso I.
Parágrafo único. A participação operacional não implica obrigatoriedade de pré-posicionamento de ativos em garantia para as LFL ou de contratação de operações de empréstimo.
Seção II
Do acesso às LFL
Art. 11. São elegíveis para acesso às LFL:
I - na modalidade LLT: os bancos múltiplos, os bancos comerciais, os bancos de investimentos, as caixas econômicas, as sociedades de crédito, financiamento e investimento e as cooperativas singulares de crédito, à exceção das cooperativas classificadas na categoria de capital e empréstimo;
II - na modalidade LLI: as instituições financeiras de que trata o inciso I, os bancos de desenvolvimento, os bancos de câmbio, as sociedades corretoras de títulos e valores mobiliários, as sociedades distribuidoras de títulos e valores mobiliários, as cooperativas de crédito classificadas na categoria de capital e empréstimo, as sociedades de crédito imobiliário, as companhias hipotecárias, as associações de poupança e empréstimo, as sociedades de crédito ao microempreendedor, as sociedades de crédito direto e as sociedades de empréstimos entre pessoas.
Seção III
Da adesão às LFL
Art. 12. Para adesão contratual às LFL, observado o disposto no art. 11, as instituições financeiras devem apresentar ao Departamento de Operações Bancárias e de Sistema de Pagamentos (Deban) os seguintes documentos:
I - Contrato de Abertura de Limite de Crédito Garantido por Alienação ou por Cessão Fiduciária de Ativos e por Caução de Recursos em Espécie para a Realização de Empréstimos no âmbito das Linhas das Financeiras de Liquidez, conforme modelo divulgado pelo Deban e disponibilizado no sítio do Banco Central do Brasil na internet, firmado pela instituição financeira e pelo Banco Central do Brasil;
II - documentos que comprovem que os poderes dos signatários do contrato, de que trata o inciso I, atendem as disposições de que trata o § 2º;
III - documentação expedida pela Secretaria da Receita Federal do Brasil e pela Procuradoria-Geral da Fazenda Nacional que certifique regularidade fiscal em relação à Seguridade Social, para fins de observância ao § 3º do art. 195 da Constituição Federal, e aos tributos federais, conforme previsto no art. 62 do Decreto-Lei nº 147, de 3 de fevereiro de 1967, e no art. 1º, § 1º, do Decreto-Lei nº 1.715, de 22 de novembro de 1979;
IV - documentação expedida pela Caixa Econômica Federal que ateste não haver débitos com o Fundo de Garantia por Tempo de Serviço, para fins de observância do art. 27 da Lei nº 8.036, de 11 de maio de 1990; e
V - formulário padrão contendo a identificação de diretor responsável pelas operações no âmbito das LFL, dos representantes signatários do contrato de que trata o inciso I do caput, dos representantes indicados para a realização de contatos operacionais, e de número de conta de custódia própria, no depositário central ou na entidade registradora de origem para o pré-posicionamento de ativos garantidores.
§ 1º O contrato de que trata o inciso I do caput deve ser assinado por meio de certificado digital emitido por autoridade certificadora da Infraestrutura de Chaves Públicas do Brasil (ICP-Brasil).
§ 2º São necessários 2 (dois) representantes do Participante LFL para assinatura do contrato de que trata o inciso I do caput, com poderes plenos, sem restrições ou limites quanto aos valores das operações contratadas, quanto aos seus encargos, e quanto à natureza ou aos valores dos ativos dados em garantia.
§ 3º Todas as constituições e desconstituições de gravames, realizadas no âmbito da entidade registradora ou do depositário central, sobre ativos dados em garantia às operações contratadas ao amparo das LFL, constituem, para todos os fins de direito, aditivos ao contrato de que trata o inciso I do caput.
§ 4º O Deban divulgará, mediante ato específico, os procedimentos necessários para obtenção, preenchimento e envio, por meio eletrônico, dos documentos de que trata o caput.
§ 5º O Participante LFL cujas documentações previstas nos incisos III e IV do caput estejam com datas de validade vencidas fica impedido de contratar novas operações ao amparo das LFL até que seja apresentada ao Deban nova documentação válida.
§ 6º O Banco Central do Brasil consultará a situação do Participante LFL no Cadastro Informativo de Créditos não Quitados do Setor Público Federal (Cadin), de que trata a Lei nº 10.522, de 19 de julho de 2002, sem que eventual inscrição nesse cadastro, por si só, caracterize impeditivo à contratação de operações no âmbito das LFL. (Nota: Redação dada pela Resolução BCB nº 192, de 23.02.2022)
§ 7º A instituição financeira em processo de adesão às LFL deverá realizar as confirmações necessárias ao registro do contrato de que trata o inciso I do caput, conforme os procedimentos regulamentares da entidade registradora ou do depositário central.
§ 8º O Deban informará aos representantes indicados pelos Participantes LFL a identificação da conta de gravame de titularidade do Banco Central do Brasil, de modo a permitir a constituição de garantias, conforme os procedimentos operacionais previstos pelo depositário central ou pela entidade registradora.
Seção IV
Da classificação dos participantes
Art. 13. A instituição financeira que concluir os procedimentos para a adesão às LFL, nos termos do art. 12, torna-se Participante LFL e é classificada:
I - quanto ao acesso às modalidades operacionais previstas nos incisos I e II do art. 11, como:
a) Participante com Acesso Imediato, elegível, exclusivamente, à LLI; ou
b) Participante com Acesso Pleno, elegível à LLI e à LLT;
II - quanto à condição operacional, como:
a) Participante Inativo: aquele que, temporária ou definitivamente, isolada ou cumulativamente:
1. não apresentar aptidão operacional necessária para atuação nas LFL;
2. não observar as exigências estabelecidas no art. 12;
3. estiver suspenso do STR, da entidade registradora ou do depositário central;
4. for submetido à liquidação extrajudicial nos termos da Lei nº 6.024, de 13 de março de 1974; ou
b) Participante Ativo: aquele que, após ter sido aprovado nos testes de homologação e efetuado a adesão na forma do art. 12, não incorrer em nenhuma das situações indicadas na alínea "a";
III - quanto à condição financeira nas LFL, como:
a) Participante Devedor: aquele que não liquidar operação, de forma integral, até o prazo de seu vencimento ou que não atender as solicitações de recomposição dos Limites Disponíveis, até o prazo fixado no art. 66;
b) Participante Inadimplente: aquele que, na condição prévia de Participante Devedor, for considerado, por decisão do Banco Central do Brasil, inadimplente nos termos dos arts 74 e 75; ou
c) Participante Adimplente: aquele que não incorrer em quaisquer das hipóteses previstas nas alíneas "a" e "b".
§ 1º Somente os participantes classificados como Ativo e Adimplente, concomitantemente, podem contratar operações ao amparo das LFL.
§ 2º Os participantes podem liquidar suas operações em aberto, integral ou parcialmente, independentemente da classificação de que trata os incisos II e III do caput, ou realizar o pré-posicionamento de ativos em garantia para as LFL, desde que não haja impedimento operacional no STR ou no depositário central ou na entidade registradora.
§ 3º O Banco Central do Brasil poderá alterar a classificação operacional do Participante Ativo para Participante Inativo se identificada alguma condição excepcional que traga riscos ao Banco Central do Brasil ou ao Sistema Financeiro Nacional (SFN).
§ 4º Não será permitida a retirada de garantias por participante Devedor ou Inadimplente.
§ 5º O Participante Inadimplente está sujeito, além da vedação prevista no § 4º, à aplicação do disposto nos arts. 74 e 75.
CAPÍTULO V
DOS ENCARGOS FINANCEIROS E MORATÓRIOS
Art. 14. As operações da LLI e da LLT sujeitam-se a encargos financeiros diários correspondentes à aplicação, sobre o saldo devedor do empréstimo, da taxa obtida pela composição da Taxa Selic, definida consoante a regulamentação em vigor, apurada para cada dia útil do período da operação, com acréscimos fixados na data da contração da operação, assim definidos:
I - 0,60% a.a. (sessenta centésimos por cento ao ano) para as operações da LLI;
II - 0, 75% a.a. (setenta e cinco centésimos por cento ao ano) para as operações da LLT no decurso do 1º dia útil até o 21º dia útil seguinte ao da data da contratação ou até a data de liquidação do pagamento, se esta ocorrer primeiro;
III - 0,50% a.a. (cinquenta centésimos por cento ao ano) para as operações da LLT no decurso entre o 22º dia útil e 126º dia útil seguinte ao da data da contratação ou até a data de liquidação do pagamento, se esta ocorrer primeiro;
IV - 0,40% a.a. (quarenta centésimos por cento ao ano) para as operações da LLT no decurso entre o 127º dia útil seguinte ao da data da contratação e a data de liquidação do pagamento das operações.
§ 1º Sobre as operações de empréstimo da LLI e da LLT cujos pagamentos forem liquidados na mesma data em que as operações forem contratadas não incidem encargos financeiros.
§ 2º Os encargos de que trata o caput deixam de ser exigidos do Participante Inadimplente a partir da data de decretação de inadimplência.
Art. 15. Sobre o saldo das operações da LLI ou da LLT:
I - de Participante Devedor, não liquidadas até o vencimento, incidem encargos financeiros diários por atraso de pagamento, em adição aos encargos financeiros estabelecidos na forma do art. 14, com início na data de vencimento, de 2,50% a.a (dois inteiros e cinquenta centésimos por cento ao ano);
II - de Participante Inadimplente, inclusive das operações que tiveram o seu vencimento antecipado por decretação de inadimplência, incidirão a partir da data da decretação de inadimplência, juros moratórios e multa de mora na forma do art. 37 da Lei nº 10.522, de 2002.
§ 1º Os encargos de que trata o inciso I do caput, deixam de ser exigidos do Participante Inadimplente a partir da data de decretação de inadimplência.
§ 2º O saldo devedor de cada operação de empréstimo sobre os quais incidirão os encargos de que trata o inciso II do caput será o saldo de encerramento na data de decretação de inadimplência do Participante LFL.
CAPÍTULO VI
DO PRÉ-POSICIONAMENTO DE ATIVOS E DA CONSTITUIÇÃO DE GARANTIAS EM ESPÉCIE
Art. 16. Para obtenção de limite de crédito para a contratação de operações no âmbito das LFL, as instituições financeiras participantes devem, de forma prévia, constituir gravame sobre ativos financeiros e valores mobiliários, na forma do art. 9º, observando as condições de elegibilidade estabelecidas pelo Banco Central do Brasil.
§ 1º A constituição de gravame ocorrerá por meio de transferência, por comando único da instituição financeira, de ativos de sua titularidade, livres e desembaraçados de quaisquer ônus, gravames ou outra forma de constrição, à conta de gravame específica do Banco Central do Brasil, mantida em entidade registradora ou em depositário central.
§ 2º Os ativos financeiros e valores mobiliários a serem transferidos para a conta de gravame do Banco Central do Brasil devem estar mantidos, antes da constituição de gravame, em conta de custódia própria de titularidade do Participante LFL na entidade registradora ou no depositário central.
§ 3º O Participante LFL é parte garantidora, e, ao constituir o gravame de ativos financeiros ou de valores mobiliários depositados, deve indicar, observado os procedimentos do depositário central ou da entidade registradora, que os eventos financeiros incidentes sobre os ativos com gravame serão destinados ao Banco Central do Brasil, na condição de parte garantida.
Art. 17. Os participantes podem constituir garantia em espécie pela transferência de recursos, a partir da conta Reservas Bancárias ou da Conta de Liquidação de sua titularidade, para a CGE, por meio de mensagem do Grupo de Serviços LFL do Catálogo de Serviços do SFN.
Parágrafo único. Os recursos de que trata o caput ficarão caucionados em favor do Banco Central do Brasil na CGE e só poderão ser retirados da conta pelo Participante LFL mediante autorização do Banco Central do Brasil, observando-se o disposto no § 1º do art. 68.
Art. 18. Enquanto os ativos permanecerem na conta de gravame de titularidade do Banco Central do Brasil, no depositário central ou na entidade registradora, os direitos de comparecer e de votar em assembleias de debenturistas e de credores, ou em outras esferas deliberativas, das quais deva ou possa participar o titular dos ativos, serão exercidos pelo Participante LFL, que deverá atuar de modo diligente na defesa e na preservação dos direitos e interesses econômicos atinentes aos ativos.
CAPÍTULO VII
DAS REGRAS DE ELEGIBILIDADE DE ATIVOS
Seção I
Da qualidade de crédito do emissor de ativos
Art. 19. Somente serão aptos a gerar limite de crédito para contratação de operações de empréstimo ao amparo das LFL, os ativos para os quais possa ser avaliada qualidade de crédito, baseada na classificação de risco de crédito dos seus emissores.
§ 1º A classificação de risco de que trata o caput é calculada com base na média ponderada das provisões mínimas, utilizadas de acordo com a Resolução nº 2.682, de 21 de dezembro de 1999, aplicadas ao valor das operações de crédito efetivamente contraídas por seus emissores e dos valores mobiliários por eles emitidos, no âmbito do SFN, informadas, processadas e incorporadas ao repositório de dados do Sistema de Informações de Crédito (SCR).
§ 2º Não são consideradas, para fins de cálculo da classificação de risco de que trata o caput, as operações de crédito ou valores mobiliários que apresentarem garantias ou coberturas de risco por meio de:
I - cessão de direitos creditórios de aplicações financeiras de renda fixa e variável;
II - alienação fiduciária de veículos e bens imóveis;
III - garantias prestadas pelo Governo Federal ou Tesouro Nacional;
IV - seguros e assemelhados;
V - fundos ou quaisquer outros mecanismos de cobertura do risco de crédito instituídos pela Constituição ou por lei federal, por lei do Distrito Federal, por lei estadual ou por lei municipal, ou criados por organismos oficiais, ou administrados por instituição financeira controlada, direta ou indiretamente, pela União, e pela Lei nº 9.531, de 10 de dezembro de 1997; ou
VI - acordos para compensação e liquidação.
§ 3º Não são consideradas, para fins de cálculo da classificação de risco de que trata o caput, as operações informadas no documento 3040 - Dados de risco de crédito - nas seguintes modalidades:
I - coobrigações;
II - títulos de crédito fora da carteira classificada, exceto nas submodalidades de debêntures e notas comerciais;
III - limites de crédito; e
IV - retenção de risco.
§ 4º A classificação de risco de crédito do emissor de títulos e valores mobiliários utilizada para fins de identificação da qualidade de crédito do ativo será computada diariamente, devendo ser aquela de maior risco, dentre as apuradas com base nas informações:
I - do último mês disponível no documento 3040 - Dados de Risco de Crédito;
II - da média dos últimos três meses disponíveis no documento 3040 - Dados de Risco de Crédito; ou
III - da média dos últimos seis meses disponíveis no documento 3040 - Dados de Risco de Crédito.
Art. 20. O emissor dos ativos garantidores é classificado, de forma complementar à classificação de risco de crédito, para fins de apuração de regras de elegibilidade de ativos e aplicação de mitigadores de risco ao preço dos ativos (haircuts), quanto à diversificação de entidades avaliadoras de risco de crédito, em:
I - cliente exclusivo, quando o emissor possuir operações de crédito contratadas, observado o disposto nos §§ 2º e 3º do art. 19, em apenas uma instituição financeira ou em instituições de um único conglomerado financeiro, no Documento 3040 - Dados de Risco de Crédito, correspondente ao último mês disponível do calendário de envio;
II - cliente comum, quando o emissor possuir operações de crédito contratadas no SFN, observado o disposto nos §§ 2º e 3º do art. 19, em mais de uma instituição financeira independente ou em instituições de mais de um conglomerado financeiro, no Documento 3040 - Dados de Risco de Crédito, correspondente ao último mês disponível do calendário de envio; ou
III - cliente não encontrado, quando o emissor não possuir operações de crédito contratadas no SFN, observado o disposto no § 2º do art. 19, informadas no Documento 3040 - Dados de Risco de Crédito, correspondente ao último mês disponível do calendário de envio.
Art. 21. Os ativos de emissão de clientes não encontrados no Documento 3040 - Dados de Risco de Crédito, do último mês disponível do calendário de envio, são inelegíveis às LFL.
Seção II
Das classes de ativos elegíveis
Art. 22. São classes de ativos passíveis de gerar limites de crédito para as operações contratadas ao amparo das LFL:
I - debêntures;
II - notas comerciais; e
III - recursos em espécie mantidos na CGE.
Seção III
Dos requisitos de admissibilidade comuns às debêntures e às notas comerciais
Art. 23. As debêntures e as notas comerciais, para serem admissíveis para geração de limites de crédito para as operações de empréstimo ao amparo das LFL, deverão:
I - ser denominadas em reais;
II - ser depositadas em depositário central ou registrados em entidade registradora, autorizados a funcionar pelo Banco Central do Brasil ou pela Comissão de Valores Mobiliários;
III - ter por emissor pessoa jurídica cuja inscrição no Cadastro Nacional da Pessoa Jurídica (CNPJ) esteja classificada na situação cadastral "ativa", na forma do art. 39 da Instrução Normativa RFB nº 1.863, de 27 de dezembro de 2018, da Secretaria da Receita Federal do Brasil;
IV - prever data determinada para o seu vencimento;
V - prever a liquidação de seus eventos financeiros no ambiente do depositário central ou da entidade registradora correspondente, obrigatoriamente com a mediação de Agente de Pagamento;
VI - apresentar agenda de eventos financeiros, informada ao depositário central, com informações que permitam a verificação da elegibilidade bem como o adequado apreçamento do ativo;
VII - apresentar, para fins de determinação do seu fluxo de caixa e de seu valor presente, estruturas de remuneração referenciadas a:
a) um percentual fixo sobre a taxa flutuante dos Depósitos Interfinanceiros de 1 (um) dia ("Percentual do DI");
b) 100% (cem por cento) da taxa flutuante dos Depósitos Interfinanceiros de 1 (um) dia, acrescida de um percentual fixo ("DI + acréscimo");
c) taxa pós-fixada correspondente ao Índice Nacional de Preços ao Consumidor Amplo (IPCA), acrescida de um percentual fixo ("IPCA + acréscimo"); ou
d) taxas pré-fixadas;
VIII - ter por emissor pessoa jurídica com classificação de risco equivalente aos níveis "AA", "A" ou "B", obtida na forma do art. 19.
Art. 24. Não são admissíveis a gerar limites de crédito ao amparo das LFL, as debêntures e as notas comerciais que, isolada ou cumulativamente:
I - tenham por emissor:
a) holdings de instituições financeiras;
b) sociedade de arrendamento mercantil;
c) companhia hipotecária;
d) entidades que atuem como veículo de securitização de créditos;
e) sociedade de fomento mercantil; ou
f) empresas controladas ou gerenciadas por instituição financeira;
II - apresentem fluxo de caixa na agenda de eventos financeiros do depositário central ou da entidade registradora em que exista ocorrência de:
a) vencimento ou amortização, desacompanhados de pagamento de juros, para a mesma data; ou
b) vencimento e amortização, para a mesma data;
III - apresentem pendências ou restrições, relativas ao próprio ativo ou ao seu emissor, no depositário central ou na entidade registradora;
IV - apresentem no histórico ou no fluxo futuro de eventos financeiros a ocorrência de eventos que:
a) denotem característica de renda variável presente no ativo;
b) decorram do acionamento de cláusulas do instrumento de emissão ou de tomada de decisões pelo emissor ou por titulares dos ativos que implicam pagamentos extraordinários não previstos originalmente na agenda de eventos ou que não correspondam a juros, amortização e resgate;
V - apresentem no histórico de eventos financeiros a ocorrência de inadimplência;
VI - tenham como emissor pessoa jurídica que possua a classificação de risco no nível "B" e que seja cliente exclusivo, com apuração na forma do art. 19, no âmbito do SFN.
Parágrafo único. O Banco Central do Brasil poderá, a seu exclusivo critério, tornar não admissíveis, ainda que observados os critérios dos arts. 23 e 24, debêntures e notas comerciais de emissores que apresentarem indícios de incapacidade de pagamento de suas obrigações, conforme informações públicas e não utilizadas no procedimento regular de apuração da classificação de risco de crédito de emissores de que trata o art. 19.
Seção IV
Dos requisitos de admissibilidade adicionais específicos aplicáveis a debêntures
Art. 25. Além do disposto no art. 23, as debêntures para serem admissíveis a gerar limite de crédito para operações das LFL devem:
I - ter a indicação de Agente Fiduciário, informada no depositário central ou na entidade registradora;
II - ter prazo de vencimento a decorrer, contado a partir da data de avalição de sua admissibilidade, inferior a 40 (quarenta) anos;
III - apresentar formulação de cálculo de preço unitário de acordo com padrões estabelecidos pelo depositário central ou pela entidade registradora e ter preço unitário ao par calculado pelo depositário central ou pela entidade registradora;
IV - ter como data de referência, para correção de preço unitário um dia indicado entre os dias 15 (quinze) e 28 (vinte e oito) do mês, quando a estrutura de remuneração da debênture for indexada ao IPCA;
V - adotar sistemática de cálculo dos juros na forma exponencial, com base temporal de 252 (duzentos e cinquenta e dois) dias úteis.
Art. 26. Além do disposto no art. 24, não são admissíveis a gerar limite de crédito no âmbito das LFL, as debêntures que, isolada ou cumulativamente:
I - contiverem cláusula de subordinação ou de conversibilidade em instrumentos de capital;
II - apresentarem eventos de participação informados na agenda de eventos;
III - apresentarem incorporação de juros ao valor nominal na formulação de cálculo de preço unitário; ou
IV - tiverem sido objeto de repactuação em até 90 (noventa) dias corridos anteriores à data de avaliação da admissibilidade do ativo.
Seção V
Do requisito de admissibilidade adicional específico para notas comerciais
Art. 27. Além do disposto no art. 23, as notas comerciais, para serem admissíveis para geração de limites de crédito para operações das LFL, deverão ter a indicação de Agente de Notas, informada no depositário central ou na entidade registradora.
Seção VI
Da elegibilidade e categorização dos ativos elegíveis
Art. 28. As debêntures e as notas comerciais admissíveis à geração de limites de crédito para contratação de empréstimos ao amparo das LFL, observadas as disposições dos arts. 23 a 27, são categorizadas em uma das seguintes cestas:
I - Cesta A: compreende ativos elegíveis para geração de limite financeiro de crédito para a LLI e para a LLT; ou
II - Cesta B: compreende ativos elegíveis para geração de limite financeiros de crédito somente para a LLT.
Parágrafo único. São elegíveis para geração de limites financeiros de crédito somente os ativos que sejam admissíveis nos termos dos arts. 23 a 27 e que estejam classificados em uma das cestas de que trata o caput.
Art. 29. Para classificação na Cesta A, as debêntures e as notas comerciais deverão ser admissíveis e, cumulativamente:
I - ter sido objeto de emissão por oferta pública ou por oferta pública com esforços restritos;
II - apresentar índice de concentração de mercado médio (IMm), num período móvel de 21 (vinte e um) dias úteis, inferior ou igual a 0,7 (sete décimos);
III - ser depositadas em depositário central de valores mobiliários;
IV - ter como emissores empresas que apresentem classificação de risco, apurada na forma do art. 19, nos níveis "AA" ou "A", observado o disposto nos §§ 3º e 4º deste artigo.
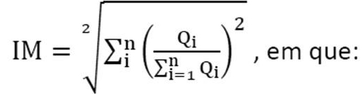
§ 1º O índice de concentração de mercado (IM) de um determinado ativo mede o grau de pulverização desses ativos entre diferentes detentores e é calculado, pelo Banco Central do Brasil, para um determinado dia, com base na seguinte fórmula:

Qi - é a quantidade de um determinado ativo em poder de "i-ésima" posição de custódia de cada detentor do ativo; e
"n" - é a "n-ésima" posição de custódia de cada detentor do ativo.
§ 2º Para os efeitos do § 1º não são consideradas as posições de custódias detidas pelo Banco Central do Brasil ou por outros detentores em contas de gravame, as posições individualizadas de comitentes, e as posições de custódia vinculadas a compromissos de revenda no depositário central ou na entidade registradora dos ativos garantidores.
§ 3º Para ser elegível à classificação na Cesta A, a nota comercial deve ter como emissor um cliente comum, nos termos do inciso II do art. 20.
§ 4º Para ser elegível à classificação na Cesta A, a debênture com classificação de risco de nível "A" deve ter como emissor um cliente comum, nos termos do inciso II do art. 20.
Art. 30. Para serem elegíveis à classificação na Cesta B as debêntures e as notas comerciais devem ser admissíveis, observando as disposições dos arts. 23 a 27, e ao mesmo tempo não se qualificarem, na forma do art. 29, para a Cesta A..
Parágrafo único. As debêntures e as notas comerciais que apresentarem classificação de risco de nível "B" e que tenham como emissor um cliente exclusivo, nos termos do inciso I do art. 20, não são elegíveis à Cesta B.
Art. 31. O Banco Central do Brasil divulgará diariamente o rol de debêntures e de notas comerciais elegíveis às LFL, a partir de seus códigos de identificação no depositário central ou na entidade registradora, e em qual das cestas de que trata o caput do art. 28, estão classificadas.
Art. 32. Não serão atribuídos limites de crédito para as LFL a partir de ativos não passíveis de integrar as Cestas A e B transferidos pelo Participante LFL para a conta de gravame do Banco Central do Brasil no depositário central ou na entidade registradora.
Art. 33. Os recursos mantidos em CGE são classificados na Cesta A.
CAPÍTULO VIII
DO APREÇAMENTO DAS DEBÊNTURES E DAS NOTAS COMERCIAIS
Art. 34. O Banco Central do Brasil adotará modelo próprio para apreçamento das debêntures e das notas comerciais elegíveis a garantir operações ao amparo das LFL, o qual tomará por base os fluxos financeiros previstos na agenda de eventos para cada ativo, descontados pela composição de uma taxa de juros livre de risco e de uma taxa correspondente a um prêmio de risco, ajustados ao prazo de cada fluxo.
§ 1º As taxas de juros livres de risco serão determinadas a partir de taxas de juros referenciais do mercado futuro de juros e de swaps, a exemplo da "taxa pré" (DI x Pré) e do cupom de IPCA (DI x IPCA), publicamente divulgadas por bolsa de valores ou entidade administradora do mercado de balcão organizado.
§ 2º As taxas de juros correspondentes ao prêmio de risco serão determinadas a partir de um modelo matemático de otimização que visa a minimizar o erro observado entre os preços unitários apurados nesse modelo e os preços unitários referenciais de mercado para amostras de debêntures, disponibilizado por entidades do mercado financeiro acreditadas pelo Banco Central do Brasil não participante das LFL.
§ 3º Serão definidas curvas para taxas de juros de prêmio de risco, em função da segmentação da classificação de risco do emissor, nos termos do art. 19, e de classificação do ativo no âmbito do art. 2º da Lei nº 12.431, de 2011.
§ 4º Poderão ser estabelecidas janelas móveis para definição das curvas de que trata o § 3º com o objetivo de reduzir a volatilidade das taxas correspondentes aos prêmios de risco.
Art. 35. A cada ativo integrante das Cestas A e B será atribuído diariamente, como resultado da aplicação do procedimento previsto no art. 34, um preço unitário de referência (PUref), utilizado para fins de verificação de regras de concentração na cesta de garantias por emissor e de estabelecimento de limites de crédito.
CAPÍTULO IX
DA CONCENTRAÇÃO DE ATIVOS POR EMISSOR NA CESTA DE GARANTIAS
Art. 36. Constitui Valor Posicionado Total das garantias (VPos) o valor correspondente ao do PU de referência (PUref) dos ativos garantidores de cada uma das Cestas A e B, multiplicados pelas correspondentes quantidades (Qtd), acrescido do saldo em espécie (GE) caucionado na CGE no Banco Central, nos termos da equação seguinte:

Em que i representa o i-ésimo ativo elegível da cesta de garantias.
Art. 37. Constitui Valor Posicionado de um Emissor (VPose) o valor correspondente ao do PU de referência (PUref) dos ativos elegíveis de um determinado emissor "e", integrante da cesta de garantias, multiplicados pelas correspondentes quantidades (Qtd) pré-posicionadas, nos termos da equação a seguir:
Em que:
k representa o k-ésimo ativo da cesta de garantias de um determinado emissor "e";
PUrefk representa os PUref referidos no art. 35 do k-ésimo ativo do emissor "e"; e
Qtdk representa as quantidades do k-ésimo ativo da cesta de garantia do emissor "e".
Art. 38. Para fins de aproveitamento integral das quantidades de ativos elegíveis pré-posicionados na cesta de garantias, deverá ser observado índice de concentração por emissor (ICe) máximo de 20% (vinte por cento), apurado com tolerância de 0,1 p.p. (um décimo de ponto percentual), e calculado a cada modificação na cesta de garantias ou atualização de preços de referência, calculado da forma a seguir:
Em que:
VPose é o valor posicionado das garantias de um emissor "e" referido no art. 37; e
VPos é valor posicionado total das garantias referido no art. 36.
§ 1º Não haverá restrição de concentração por emissor para o saldo mantido na CGE.
§ 2º A apuração de ICe superior ao definido no caput resultará na aplicação de um Fator de Restrição de Concentração de Cesta (Frcce), que corresponderá a um fator de redução sobre o valor posicionado de um mesmo emissor, utilizado para fins de apuração de limites de crédito, para a totalidade de ativos integrantes das Cestas A e B.
§ 3º O cálculo do Frcce será feito com o auxílio de um mecanismo de otimização do Sistema LFL, que maximizará o aproveitamento de ativos da Cesta A, para um mesmo emissor que tenha ativos classificados nas Cestas A e B.
§ 4º Realizada a otimização de que trata o § 3º, o valor posicionado de cada ativo integrante da cesta de garantias será ajustado a um Valor Líquido de Concentração na Cesta (VLCCi), nos termos da fórmula a seguir:
Em que:
Frcce,i é o fator de restrição de concentração de cesta para o emissor "e", otimizado para o ativo "i" da cesta de garantias, desse emissor.
§ 5º Uma vez atendida a condição estabelecida no caput, o valor do Frcce,i será igual a 0 (zero).
§ 6º Nas hipóteses em que os ativos integrantes da cesta de garantias não houverem sido emitidos por pelo menos 3 (três) emissores distintos, o Banco Central do Brasil estabelecerá Frcce,i de 100% (cem por cento) para todos os ativos da cesta.
CAPÍTULO X
DOS DESÁGIOS APLICÁVEIS A DEBÊNTURES E NOTAS COMERCIAIS
Art. 39. O Banco Central do Brasil aplicará deságios (haircuts) aos valores líquidos de concentração da cesta de cada ativo elegível integrante da cesta de garantias (VLCCi), no intuito de mitigar riscos e de estimar o valor recuperável para a cesta de garantias, na hipótese de inadimplência do Participante LFL, conforme as características de cada debênture ou nota comercial elegível a garantir operações das LFL, levando em consideração os riscos de crédito, de mercado e de apreçamento dos ativos.
§ 1º O risco de crédito de que trata o caput é medido por um percentual que representa a possibilidade de que o emissor do ativo, de determinada classificação de risco de crédito apurada de acordo com os arts. 19 e 20, tenha a sua classificação de risco migrada para classificações de risco maiores ou iguais a "E", num horizonte de 1 (um) ano.
§ 2º O risco de mercado de que trata o caput é entendido como a possibilidade de que variações na curva de juros e nos prêmios de risco dos ativos reduzam o preço unitário de debêntures ou de notas comerciais elegíveis num horizonte de recuperação de 20 (vinte) dias úteis.
§ 3º O risco de apreçamento de que trata o caput é entendido como a possibilidade de que erros inerentes à modelagem de preços dos ativos ou eventuais erros nos dados utilizados levem ao apreçamento incorreto, a maior, para debêntures e notas comerciais elegíveis.
§ 4º A composição do percentual de deságio total (Ht) é definida conforme a fórmula a seguir:
Em que:
Hc: componente de deságio para mitigação de risco de crédito (0<Hc<1);
Hm: componente de deságio para mitigação de risco de mercado (0<Hm<1); e
Hv: componente de deságio para mitigação de risco de apreçamento (0<Hv<1).
Art. 40. A definição dos deságios totais levará em consideração o prazo a decorrer até o vencimento do ativo, a qualidade de crédito do emissor, a diversidade de avaliação de crédito do emissor no SFN e a estrutura de remuneração da debênture ou da nota comercial.
Parágrafo único. No caso de debêntures será também levada em consideração sua eventual classificação no âmbito do art. 2º da Lei nº 12.431, de 2011.
Art. 41. Os percentuais de deságios totais, de que trata o art. 39, aplicáveis sobre os Valores Líquidos de Concentração na Cesta de debêntures e notas comerciais estão disponíveis nos Anexos I e II, respectivamente, deste Regulamento.
CAPÍTULO XI
DOS LIMITES FINANCEIROS DE CRÉDITO
Art. 42. Os valores livres de deságios totais para os ativos das Cestas A e B (VLDA e VLDB, respectivamente) consistem na soma dos valores líquidos de concentração de cada um dos ativos elegíveis das Cestas A e B, definidos no art. 38, ajustados pela aplicação dos deságios totais correspondentes a cada ativo, segundo as fórmulas a seguir:

Em que:
VLDA é o valor total livre de deságios para ativos da Cesta A;
VLDB é o valor total livre de deságios para ativos da Cesta B;
VLCCi é o valor líquido de concentração de cesta, para o "i-ésimo" ativo integrante da cesta, conforme definição no § 4º do art. 38;
Ht,i é o percentual de deságio total aplicado ao "i-ésimo" ativo integrante de cada cesta; e
GE é o saldo da CGE.
Art. 43. O Limite Financeiro Total para operações da LLI (LT.LLI) corresponde ao valor total livre de deságios para os ativos da Cesta A (VLDA), conforme a equação a seguir:
LT.LLI = VLDA
Art. 44. O Limite Financeiro Total para as operações da LLT (LT.LLT) corresponde à soma do valor total livre de deságios para os ativos da Cesta A (VLDA) e do valor total livre de deságios para os ativos da Cesta B (VLDB), conforme a equação a seguir:
LT.LLT = VLDA + VLDB
Art. 45. Os Limites Financeiros Utilizados para as operações da LLI (LU.LLI) e da LLT (LU.LLT), consistem no saldo total das operações em aberto de cada uma dessas linhas, nos termos das fórmulas seguintes:

Em que:
SLLIi é o saldo devedor da "i-ésima" operação em aberto da LLI; e
SLLTk é o saldo devedor da "k-ésima" operação em aberto da LLT.
Art. 46. O Limite Bruto para as operações da LLI (LB.LLI) consiste na diferença entre o Limite Financeiro Total para operações da LLI (LT.LLI) e o Limite Utilizado para as operações da LLI (LU.LLI), conforme a equação a seguir:
LB.LLI = LT.LLI - LU.LLI
Art. 47 O Limite Bruto Composto (LBC) corresponde ao Limite Financeiro Total para as operações da LLT (LT.LLT) deduzido dos Limites Financeiros Utilizados nas operações de LLI (LU.LLI) e de LLT (LU.LLT), conforme a equação a seguir:
LBC = LT.LLT - LU.LLI - LU.LLT
Art. 48. No âmbito da LLT, o Limite de Autorização para operações da LLT (LV.LLT) consiste no valor autorizado pelo Banco Central do Brasil, na forma do art. 3º (VV), deduzido do somatório do valor contratado das operações ao amparo dessa autorização, conforme a equação a seguir:
Em que:
VV é o valor total para contratação de operações da LLT no âmbito de uma determinada autorização; e
OLTt é o valor contratado da "t-ésima" operação da LLT no âmbito de uma determinada autorização.
§ 1º Não haverá concomitantemente mais de uma autorização em vigor para contratação de operações de LLT.
§ 2º O Limite de Autorização (LV.LLT) somente é sensibilizado pela contratação de operações, não havendo a recomposição do seu valor por pagamentos totais ou parciais de operações.
Art. 49. Os Limites Disponíveis, por modalidade das LFL, constituem os limites financeiros de crédito sobre os quais os Participantes LFL, de acordo com a classificação de acesso de que trata o inciso I do art. 13, poderão contratar operações em cada modalidade das LFL, e são definidos na forma a seguir:
I - o Limite Disponível para a Linha de Liquidez Imediata (LD.LLI) será o menor valor entre o Limite Bruto para as operações da LLI (LB.LLI) e o Limite Bruto Composto (LBC), conforme a equação a seguir:
LD.LLI = mínimo ( LB.LLI, LBC );
II - o Limite Disponível para a Linha de Liquidez a Termo (LD.LLT) será o menor valor entre o Limite Bruto Composto (LBC) e o Limite de Autorização (LV.LLT), conforme a equação a seguir:
LD.LLT = mínimo ( LV.LLT, LBC ).
Art. 50. Os limites financeiros totais, de que tratam os arts. 43 e 44, são atualizados:
I - na abertura do Sistema LFL, quando é atualizada a relação de ativos elegíveis, de que trata o art. 31, e os preços unitários de referência, de que trata o art. 35;
II - a cada ação do Participante LFL de pré-posicionamento ou de retirada de garantias, ou de movimentações de recursos na CGE, autorizados pelo Sistema LFL.
Art. 51. Os limites financeiros utilizados, de que trata o art. 45, são atualizados:
I - na abertura do Sistema LFL, quando são atualizados os saldos devedores das operações das LFL em aberto, em decorrência da incidência de encargos financeiros;
II - a cada ação do Participante LFL de contratação ou pagamento de operação de LFL, realizadas durante a janela de funcionamento do Sistema LFL.
Art. 52. O Limite Bruto para as operações da LLI (LB.LLI) e o Limite Bruto Composto (LBC), de que tratam os arts. 46 e 47, respectivamente, são atualizados a cada alteração em quaisquer dos limites totais ou utilizados que os determinam.
Art. 53. O Limite de Autorização para operações da LLT (LV.LLT) é atualizado:
I - a cada nova autorização na forma do art. 3º;
II - a cada nova contratação de operação de LLT;
III - no dia útil seguinte à data limite para a realização de operações de LLT, no âmbito da autorização concedida.
Art. 54. Os Limites Disponíveis são atualizados a cada alteração em quaisquer dos limites que os determinam, conforme os arts. 51, 52 e 53.
CAPÍTULO XII
DA CONTRATAÇÃO E DO PAGAMENTO
Seção I
Das disposições específicas para operações da LLI
Art. 55. As operações da LLI são autorizadas aos participantes com acesso Imediato e Pleno com base na existência de Limite Disponível para a LLI, e contratadas por meio de solicitações dos Participantes LFL por meio de mensagens do Grupo de Serviços LFL do Catálogo de Serviços do SFN, desde que após a contração o LD.LLI se mantenha positivo.
§ 1º Na contratação deverá ser indicado, na mensagem, a modalidade LLI a ser utilizada e o valor financeiro solicitado.
§ 2º As contratações poderão ser realizadas durante o horário de funcionamento do STR para liquidação de ordens de transferências de fundos, conforme a Resolução BCB nº 105, de 2021.
§ 3º O Deban poderá estabelecer valor positivo mínimo necessário para manutenção do LD.LLI para fins de concessão de operação da LLI, com o objetivo de reduzir a frequência de notificações para recomposições do LD.LLI, e valor mínimo por operação.
Art. 56. Os pagamentos de operações da LLI serão realizados de forma individualizada por operação, por iniciativa do Participante LFL, mediante mensagens do Grupo de Serviços LFL do Catálogo de Serviços do SFN, com a identificação da operação que se deseja pagar e do valor do pagamento.
§ 1º É admitido o pagamento antecipado, parcial ou total, antes do prazo máximo definido para as operações da LLI, inclusive no mesmo dia da contratação.
§ 2º Os recursos a serem utilizados no pagamento das operações da LLI somente poderão ser originários da CGE, da conta Reservas Bancárias ou da Conta de Liquidação do participante do STR.
§ 3º A mensagem de pagamento indicará em qual das contas previstas no § 2º tiveram a origem os recursos utilizados no pagamento.
§ 4º Os pagamentos das operações da LLI poderão ser realizados durante o horário de funcionamento do STR para liquidação de ordens de transferências de fundos, conforme previsto na Resolução BCB nº 105, de 2021.
Seção II
Das disposições específicas para operações da LLT
Art. 57. Observado o disposto no art. 3º, as autorizações para a realização de operações da LLT poderão ser concedidas, por decisão do Banco Central do Brasil:
I - a partir de solicitações específicas dos Participantes LFL; ou
II - independentemente de solicitações de que trata o inciso I, com o objetivo de prover liquidez aos Participantes LFL de forma abrangente.
Parágrafo único. Não é permitida a existência de mais de uma autorização para a realização de operações da LLT em vigor para um mesmo Participante LFL.
Art. 58. As solicitações de que trata o inciso I do art. 57 devem ser realizadas pelo Participante LFL e dirigidas ao Deban, que:
I - estabelecerá a forma de envio e recepção dessas solicitações;
II - divulgará calendário ou procedimento que estipule as datas para recepção das solicitações e para comunicação da decisão quanto às solicitações.
Art. 59. As solicitações de que trata inciso I do art. 57 devem conter:
I - o período em dias úteis para poder contratar operações de LLT no âmbito da autorização pretendida, não devendo esse período exceder 42 (quarenta e dois) dias úteis;
II - o montante máximo a ser contratado no período de que trata o inciso I;
III - o prazo máximo, em dias úteis, por operação, no âmbito da autorização pleiteada, devendo o Banco Central do Brasil ajustar o prazo de toda operação em que o prazo se mostre superior a 359 (trezentos e cinquenta e nove) dias corridos.
Parágrafo único. Na hipótese de haver autorização em vigor, nova autorização, se concedida, atualizará os parâmetros de contratação da LLT para o Participante LFL, encerrando-se a autorização original.
Art. 60. O Sistema LFL disponibilizará atualização do Limite de Autorização para as operações da LLT (LV.LLT) até o dia útil seguinte à data em que for concedida autorização ao Participante LFL para operações da LLT e a cada contratação de operação de LLT no âmbito da autorização concedida.
Parágrafo único. O Participante LFL poderá consultar o Limite de Autorização para as operações da LLT (LV.LLT) e o Limite Disponível para operações da LLT (LD.LLT) por meio de mensagem do Grupo de Serviços LFL do Catálogo de Serviços do SFN.
Art. 61. As contratações são realizadas por meio de solicitações dos Participantes LFL mediante mensagens do Grupo de Serviços LFL do Catálogo de Serviços do SFN, e concedidas financeiramente se, após a concessão, se mantiver Limite Disponível positivo para operações da LLT (LD.LLT).
§ 1º Na mensagem de que trata o caput deverão ser indicados:
I - a modalidade LLT;
II - o prazo da operação em dias úteis; e
III - o valor financeiro solicitado.
§ 2º O Deban poderá estabelecer valor positivo mínimo necessário para manutenção do LD.LLT, para fins de concessão de operação da LLT, com o objetivo de reduzir a frequência de notificações para recomposições do LD.LLT, e valor mínimo por operação.
Art. 62. Os pagamentos de operações da LLT devem ser efetuados de forma individualizada por operação, por iniciativa do Participante LFL, por meio de mensagens do Grupo de Serviços LFL do Catálogo de Serviços do SFN, com a identificação da operação a que se deseja pagar e do valor de pagamento.
§ 1º É admitido o pagamento antecipado, parcial ou total, antes do prazo definido para as operações da LLT, inclusive no mesmo dia da contratação.
§ 2º Os recursos a serem utilizados no pagamento das operações da LLT somente poderão ser originários da CGE ou da conta Reservas Bancárias do participante do STR.
§ 3º A mensagem de pagamento indicará de qual das contas previstas no § 2º for a origem dos recursos utilizados no pagamento.
§ 4º Os pagamentos das operações da LLT poderão ser realizados durante o horário de funcionamento do STR, estabelecido na Resolução BCB nº 105, de 2021.
CAPÍTULO XIII
DA DESTINAÇÃO DOS EVENTOS FINANCEIROS DOS ATIVOS INTEGRANTES DA CESTA DE GARANTIAS E DAS DISPOSIÇÕES APLICÁVEIS A DEPOSITÁRIOS CENTRAIS E A ENTIDADES REGISTRADORAS
Seção I
Da destinação dos eventos financeiros dos ativos integrantes da cesta de garantias
Art. 63. Os recursos provenientes de eventos financeiros relacionados aos ativos integrantes da cesta de garantias depositados ou registrados, com liquidação financeira cursada no depositário central ou em entidade registradora, inclusive os correspondentes a juros, amortizações e resgates, deverão ser direcionados pelos depositários centrais ou pelas entidades registradoras ao Banco Central do Brasil e constituirão garantias em espécie dos Participantes LFL depositadas na CGE.
Art. 64. A liquidação financeira da transferência de recursos relativos aos eventos financeiros dos ativos integrantes da cesta de garantias, pelo depositário central ou pela entidade registradora, deverá ser realizada por meio de mensagens do Grupo de Serviços LFL do Catálogo de Serviços do SFN, e ocorre em caráter irrevogável e irretratável.
Parágrafo único. Se identificado crédito de eventos financeiros na CGE do Participante LFL a maior ou menor valor, deverá ser efetuada, pelo Participante LFL, a devolução dos recursos à entidade registradora ou ao depositário central, por meio de mensagem do Grupo de Serviços LFL do Catálogo de Serviços do SFN, devendo-se observar a manutenção de limites disponíveis positivos, uma vez realizada a devolução, para a sua concretização.
Seção II
Das disposições aplicáveis a entidades registradoras e a depositários centrais
Art. 65. As entidades registradoras e os depositários centrais, para que tenham ativos e valores mobiliários neles registrados ou depositados elegíveis para uso como garantia nas LFL, deverão previamente ajustar com o Banco Central do Brasil:
I - o fornecimento de informações relativas aos ativos, de forma a permitir a identificação das características dos ativos, no âmbito da entidade registradora ou do depositário central, necessárias para a verificação das condições de elegibilidade dos ativos e determinação de seus fluxos de caixa, na forma e condições estabelecidas entre as partes;
II - a comunicação e a informação sobre a constituição e desconstituição de gravames sobre ativos para garantia de operações das LFL;
III - o procedimento de entrega à CGE de recursos decorrentes de eventos financeiros sobre os ativos garantidores, na forma do art. 64;
IV - os procedimentos voltados a assegurar o funcionamento integrado dos sistemas da entidade registradora ou do depositário central com o Sistema LFL, com eficiência e segurança.
CAPÍTULO XIV
DA RECOMPOSIÇÃO DE LIMITES E DA RETIRADA DE GARANTIAS
Seção I
Da recomposição dos limites disponíveis
Art. 66. O Participante LFL deve manter os Limites Disponíveis, de que trata o art. 49, positivos, efetuando sua pronta recomposição, na forma do art. 67, caso se apresentem negativos.
§ 1º O Participante LFL que não observar o disposto no caput será notificado para realizar a recomposição dos Limites Disponíveis, na forma do art. 67, devendo fazê-lo no mesmo dia em que recebida a notificação, até o horário de fechamento do STR para ordens de transferências de fundos, nos termos da Resolução BCB nº 105, de 2021.
§ 2º A notificação de que trata o § 1 º será realizada por meio da mensagem do Grupo de Serviços LFL, na qual se informará o valor para recomposição de limites, expedida nos termos do Catálogo de Serviços do SFN.
§ 3º A mensagem de que trata o § 2º constitui notificação ao Participante LFL, para todos os fins de direito.
§ 4º O pré-posicionamento de ativos realizado no depositário central ou na entidade registradora após o horário de que trata o § 1 não será considerado para fins de recomposição de limites no mesmo dia da notificação.
§ 5º O Participante LFL que não atender à notificação para recomposição de Limites Disponíveis nas condições estabelecidas no caput será classificado como Participante Devedor.
§ 6º O não atendimento, de forma reiterada, do dever de recomposição de Limites Disponíveis poderá ensejar a aplicação do disposto no art. 74.
Art. 67. A recomposição de Limites Disponíveis tem por objetivo assegurar a suficiência de garantias nas operações das LFL, a partir da manutenção de valor não negativo para os limites disponíveis da LLI e LLT, podendo ser atendida:
I - pela redução do valor dos limites utilizados (LU.LLI e LU.LLT), por meio de pagamento, parcial ou total, de operações, nas formas estabelecidas nos arts. 56 e 62;
II - pelo aumento do valor dos limites totais, por meio do pré-posicionamento de ativos elegíveis, devendo-se observar a necessidade de pré-posicionamento de ativos de Cesta A na ocorrência de limite disponível negativo para a LLI (LD.LLI < 0), ou de transferências de recursos para a CGE.
Seção II
Da retirada de garantias
Art. 68. A retirada de ativos como garantia de operações no âmbito das LFL pode ser solicitada pelo Participante LFL somente por meio de mensagens específicas do Catálogo de Serviços do SFN, as quais devem conter a identificação dos ativos e quantidades pretendidas para devolução.
§ 1º Na hipótese de solicitação de retirada de recursos da CGE, o Participante LFL deverá:
I - observar o horário de fechamento do STR para liquidação de ordem de transferência de fundos, conforme previsto na Resolução BCB nº 105, de 2021; e
II - informar o valor financeiro para retirada, que será entregue na Conta Reservas Bancárias ou na Conta de Liquidação do Participante LFL.
§ 2º A devolução de ativos garantidores depositados em depositários centrais ou registrados em entidades registradoras será processada no mesmo dia da solicitação de retirada caso a mensagem específica de que trata o caput seja enviada em até 30 (trinta) minutos antes do fechamento do STR para a liquidação de ordens de transferências de fundos.
§ 3º O Deban poderá estabelecer horário limite distinto daquele previsto no § 2º nos casos em que a entidade registradora ou o depositário central apresentar horário limite para movimentação de ativos garantidores inferior ao do fechamento do STR para a liquidação de ordens de transferência de fundos.
Art. 69. A retirada de garantias solicitada somente será autorizada e efetuada pelo Sistema LFL no depositário central ou na entidade registradora se os limites disponíveis não se tornarem negativos com a retirada.
Parágrafo único. Uma vez autorizada, a baixa de gravame será processada mediante a desvinculação de ativos garantidores da conta de gravame do Banco Central do Brasil e sua devolução, nas quantidades requisitadas, para a conta de custódia própria do Participante LFL, previamente informada no procedimento de adesão.
CAPÍTULO XV
DO ACESSO TÉCNICO AO SISTEMA LFL, SUA CONTINGÊNCIA E SERVIÇOS DISPONIBILIZADOS
Art. 70. O acesso técnico ao Sistema LFL é feito por intermédio da Rede do Sistema Financeiro Nacional (RSFN) ou pela internet.
Art. 71. Os Participantes LFL que não possuírem acesso técnico ao STR por meio da RSFN podem utilizar o Grupo de Serviços LFL por meio do aplicativo STR-Web, disponibilizado pelo Banco Central do Brasil, e observar as disposições do Regulamento do STR.
Art. 72. Para os participantes com acesso técnico ao STR por meio da RSFN, a contingência para utilização do Grupo de Serviços LFL ocorrerá pela internet por intermédio do STR-Web.
Art. 73. O Sistema LFL apresenta, além dos serviços relacionados a movimentações de garantias, contratações e pagamentos de operações, serviços específicos de consultas, comunicados e simulações aos Participantes, constantes no Catálogo de Serviços do SFN.
CAPÍTULO XVI
DA INADIMPLÊNCIA E EXECUÇÃO DE GARANTIAS
Art. 74. O Participante Devedor que se mantiver em atraso na liquidação das operações por ele contratadas ou não atender, de forma reiterada, a exigência de recomposição de garantias acarretando ao Banco Central do Brasil riscos não tolerados, poderá ser decretado inadimplente.
Art. 75. A decretação de inadimplência será realizada por decisão do Banco Central do Brasil e poderá ensejar, a seu critério, o vencimento antecipado de todas as operações vincendas e não pagas pela instituição financeira, com a execução, total ou parcial, a alienação dos ativos financeiros ou valores mobiliários, que as estiverem garantindo, e o uso dos recursos mantidos na CGE para liquidação das operações não pagas.
§ 1º Na execução e na alienação dos ativos financeiros e valores mobiliários, oferecidos em garantia nos termos do § 1º do art. 7º, o resultado de eventual excedente de garantias será restituído à instituição financeira contratante.
§ 2º Os contratos que formalizarão a adesão das instituições financeiras às Linhas Financeiras de Liquidez, nos termos do art. 12, deverão conter cláusula prevendo a possibilidade de o Banco Central do Brasil, a seu critério, receber os ativos financeiros ou valores mobiliários garantidores em pagamento da dívida caso a sua alienação não se concretize, sem prejuízo ao disposto no § 3º.
§ 3º Se, após a excussão das garantias constituídas sobre os ativos financeiros ou valores mobiliários garantidores, o produto resultante não bastar para a quitação da dívida decorrente das operações de empréstimo, contratadas e não pagas, acrescida das despesas de cobrança judicial e extrajudicial, a instituição financeira continuará obrigada pelo saldo devedor remanescente, a ela se aplicando o disposto no art. 1º-A da Lei nº 11.882, de 23 de dezembro de 2008.
§ 4º A instituição financeira inadimplente ficará impedida de contratar novas operações de empréstimo ao amparo das LFL enquanto perdurar a inadimplência, aplicando-se o disposto no art. 15.
CAPÍTULO XVII
DISPOSIÇÕES GERAIS E TRANSITÓRIAS
Art. 76. O Banco Central do Brasil exercerá a custódia dos ativos financeiros e valores mobiliários a ele relacionados no âmbito das Linhas Financeiras de Liquidez em seu próprio nome ou na condição de garantido.
Anexo I
percentuais de deságios totais aplicados sobre o valor líquido de concentração na cesta para debêntures elegíveis às LFL (%)
| prazo a decorrer até o vencimento | |||||||
| Debêntures | Classificação de risco do emissor | Estrutura de remuneração | Classificação cliente emissor no SFN | até 1 ano(365 dias) | entre 1 e 2 anos(366 a 730 dias) | entre 2 e 5 anos(731 a 1825 dias) | maior que 5 anos(maior que 1825 dias) |
|
Não Incentivadas |
AA | Percentual do DI | Comum | 6,7 | 8,6 | 16,4 | 22,7 |
| Exclusivo | 10,4 | 12,2 | 19,7 | 25,7 | |||
| DI + Acréscimo | Comum | 8,0 | 10,2 | 20,2 | 23,8 | ||
| Exclusivo | 11,6 | 13,7 | 23,3 | 26,8 | |||
| Pós-fixado em IPCA | Comum | 8,9 | 10,3 | 20,2 | 23,8 | ||
| Exclusivo | 12,4 | 13,8 | 23,3 | 26,8 | |||
| Pré | Comum | 9,9 | 12,3 | 24,2 | 31,3 | ||
| Exclusivo | 13,4 | 15,8 | 27,3 | 34,3 | |||
| A | Percentual do DI | Comum | 15,7 | 17,4 | 23,0 | 29,5 | |
| Exclusivo | 24,3 | 25,9 | 30,9 | 36,7 | |||
| DI + Acréscimo | Comum | 16,8 | 18,9 | 26,5 | 30,5 | ||
| Exclusivo | 25,3 | 27,1 | 34,0 | 37,6 | |||
| Pós-fixado em IPCA | Comum | 17,6 | 18,9 | 26,5 | 30,5 | ||
| Exclusivo | 26,0 | 27,2 | 34,0 | 37,6 | |||
| Pré | Comum | 18,6 | 20,9 | 31,0 | 38,5 | ||
| Exclusivo | 27,0 | 29,2 | 38,5 | 45,6 | |||
| B | Percentual do DI | Comum | 33,5 | 35,0 | 39,2 | 44,0 | |
| DI + Acréscimo | 34,4 | 36,1 | 42,0 | 44,8 | |||
| Pós-fixado em IPCA | 35,0 | 36,1 | 42,0 | 44,8 | |||
| Pré | 36,0 | 38,1 | 47,0 | 53,3 | |||
| Incentivadas* | AA | Pós-fixado em IPCA | Comum | 7,4 | 8,2 | 15,9 | 19,3 |
| Exclusivo | 10,1 | 10,8 | 18,3 | 21,6 | |||
| A | Pós-fixado em IPCA | Comum | 12,6 | 13,4 | 22,3 | 24,9 | |
| Exclusivo | 18,1 | 18,7 | 27,1 | 29,5 | |||
| B | Pós-fixado em IPCA | Comum | 23,9 | 24,5 | 31,8 | 35,1 | |
* Art. 2º da Lei nº 12.431, de 24 de junho de 2011.
Anexo II
percentuais de deságios totais aplicados sobre o valor líquido de concentração na cesta para notas comerciais elegíveis às LFL
| prazo a decorrer até o vencimento | ||||||
| Classificação de risco do emissor | Estrutura de remuneração | Classificação cliente emissor no SFN | até 1 ano(365 dias) | entre 1 e 2 anos(366 a 730 dias) | entre 2 e 5 anos(731 a 1825 dias) | maior que 5 anos(maior que 1825 dias) |
| AA | Percentual do DI | Comum | 13,2 | 15,0 | 22,2 | 28,1 |
| Exclusivo | 17,3 | 19,0 | 25,9 | 31,5 | ||
| DI + Acréscimo | Comum | 14,5 | 16,4 | 25,8 | 29,1 | |
| Exclusivo | 18,5 | 20,4 | 29,3 | 32,4 | ||
| Pré | Comum | 16,2 | 18,5 | 29,8 | 36,6 | |
| Exclusivo | 20,2 | 22,5 | 33,3 | 39,9 | ||
| A | Percentual do DI | Comum | 22,9 | 24,5 | 29,6 | 35,6 |
| Exclusivo | 32,2 | 33,6 | 38,1 | 43,3 | ||
| DI + Acréscimo | Comum | 24,0 | 25,8 | 32,8 | 36,5 | |
| Exclusivo | 33,1 | 34,8 | 40,9 | 44,1 | ||
| Pré | Comum | 25,7 | 27,9 | 37,3 | 44,5 | |
| Exclusivo | 30,5 | 32,7 | 41,6 | 48,6 | ||
| B | Percentual do DI | Comum | 41,9 | 43,2 | 46,9 | 51,1 |
| DI + Acréscimo | 42,7 | 44,2 | 49,3 | 51,8 | ||
| Pré | 44,2 | 46,3 | 54,3 | 60,3 | ||