RESOLUÇÃO BCB Nº 046, DE 24.11.2020
Dispõe sobre a metodologia de cálculo e a divulgação da Taxa Selic.
A Diretoria Colegiada do Banco Central do Brasil, em sessão realizada em 24 de novembro de 2020, no uso da competência descrita no art. 2º do Decreto nº 3.088, de 21 de junho de 1999, e tendo em vista o disposto no art. 1º do Regulamento Anexo à Circular nº 3.868, de 19 de dezembro de 2017,
RESOLVE:
Art. 1º Para fins de cálculo da Taxa Selic são consideradas as operações de compra e venda de títulos federais com compromisso de revenda assumido pelo comprador conjugado com compromisso de recompra assumido pelo vendedor para liquidação no dia útil subsequente, que tenham por contratantes:
I - dois participantes distintos do Sistema Especial de Liquidação e de Custódia (Selic); ou
II - um participante e um cliente de participante, desde que os contratantes tenham liquidantes distintos no Selic.
§ 1º Os incisos I e II do caput não se aplicam às operações liquidadas por meio de contraparte central, as quais serão consideradas para fins de cálculo da Taxa Selic.
§ 2º Não integram o universo referido no caput as operações compromissadas:
I - a termo;
II - com taxas pós-fixadas;
III - registradas no próprio dia em que realizadas, porém liquidadas no Selic ou informadas a esse sistema após as 18 horas e 30 minutos ou após as 13 horas, em 24 de dezembro, se dia útil, e no último dia útil de cada ano;
IV - registradas em data posterior àquela em que efetivamente realizadas;
V - que objetivem o acesso temporário a títulos específicos, liquidadas pelos resultados compensados sob a forma de operações conjugadas; e
VI - que objetivem o fornecimento de liquidez no Sistema de Pagamentos Instantâneos.
§ 3º Nas operações com a atuação de instituição intermediária, todas as etapas da operação de compra e venda de títulos federais com compromisso de revenda e recompra são avaliadas para fins de atendimento aos critérios estabelecidos neste artigo.
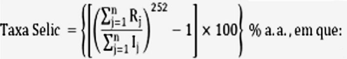
Art. 2º A Taxa Selic, expressa sob a forma anual, em termos percentuais, considerando a convenção de 252 (duzentos e cinquenta e dois) dias úteis, com duas casas decimais, é calculada de acordo com a seguinte fórmula:

I - n corresponde ao número de operações que compõem a base de cálculo;
II - Rj corresponde ao valor financeiro da recompra/revenda da j-ésima operação compromissada; e
III - Ij corresponde ao valor financeiro da compra/venda da j-ésima operação compromissada.
§ 1º A base de cálculo referida neste artigo corresponde ao universo das operações definidas no art. 1º com exclusão:
I - das operações compromissadas com fator diário (Rj/Ij) igual ou inferior a 1 (um) ou superior a 2 (dois); e
II - de 5% (cinco por cento) do valor financeiro das recompras/revendas remanescentes – e as correspondentes compras/vendas que lhes deram origem – observados os seguintes cortes, em função da distribuição amostral dessas operações:
a) se simétrica: corte de 5% (cinco por cento) do valor das recompras/revendas relativamente às operações com os maiores e com os menores fatores diários, sendo 2,5% (dois inteiros e cinco décimos por cento) do corte aplicado a cada uma das extremidades consideradas;
b) se assimétrica positiva: corte de 5% (cinco por cento) do valor das recompras/revendas aplicado sobre as operações com os maiores fatores diários; ou
c) se assimétrica negativa: corte de 5% (cinco por cento) do valor das recompras/revendas aplicado sobre as operações com os menores fatores diários.
§ 2º Para fins do disposto no § 1º, o Primeiro Coeficiente de Assimetria de Pearson (SKp1) define a distribuição como:
I - simétrica se o módulo de SKp1 for menor ou igual 0,3 (três décimos);
II - assimétrica positiva se SKp1 for maior que +0,3 (três décimos positivos); e
III - assimétrica negativa se SKp1 for menor que -0,3 (três décimos negativos).
Art. 3º Na hipótese de a base de cálculo de determinado dia, prevista no art. 2º, não puder ser determinada, inclusive em virtude de ausência de dados, ou de o somatório dos valores financeiros das recompras e revendas das operações compromissadas que a compõem ser inferior a 50% (cinquenta por cento) da correspondente média aritmética simples apurada nos 5 (cinco) dias úteis anteriores, a Taxa Selic é definida com base na seguinte fórmula:
Taxa Selic = Meta para a Taxa Selic + Diferença Residual, em que:
I - Meta para a Taxa Selic corresponde à meta definida pelo Comitê de Política Monetária vigente na data de referência; e
II - Diferença Residual corresponde à média aritmética simples da diferença, apurada nos 5 (cinco) dias úteis anteriores ao de referência, entre a Taxa Selic efetiva e a respectiva meta.
Art. 4º A Taxa Selic será apurada e divulgada no próprio dia de referência até as 19 horas, salvo em 24 de dezembro, se dia útil, e no último dia útil de cada ano, quando será apurada e divulgada até as 13 horas e 30 minutos.
Art. 5º Os horários estabelecidos no inciso III do § 2º do art. 1º e no art. 4º podem ser alterados, a critério do Banco Central do Brasil, diante da ocorrência de fatos extraordinários, caso em que a eventual alteração será informada, no próprio dia, por meio de aviso do Selic a seus participantes.
Art. 6º Fica o Departamento de Operações do Mercado Aberto (Demab) autorizado a adotar as medidas julgadas necessárias à execução do disposto nesta Resolução.
Art. 7º Fica revogada a Circular nº 3.671, de 18 de outubro de 2013.
Art. 8º Esta Resolução entra em vigor na data de sua publicação.
BRUNO SERRA FERNANDES
Diretor de Política Monetária
(DOU de 25.11.2020 – pág. 107 – Seção 1)