CIRCULAR BACEN Nº 4.028, DE 23.06.2020
Dispõe sobre as operações de compra e de venda de ativos privados em mercados secundários nacionais pelo Banco Central do Brasil.
A Diretoria Colegiada do Banco Central do Brasil, em sessão realizada em 10 de junho de 2020, com base no disposto nos arts. 7º e 8º da Emenda Constitucional nº 106, de 7 de maio de 2020, resolve:
Art. 1º Esta Circular dispõe sobre as operações de compra e de venda de ativos privados em mercados secundários nacionais, no âmbito dos mercados financeiros, de capitais e de pagamentos, pelo Banco Central do Brasil, de que tratam os arts. 7º e 8º da Emenda Constitucional nº 106, de 7 de maio de 2020.
Art. 2º São elegíveis nas operações de que trata esta Circular os ativos privados que, no momento da compra pelo Banco Central do Brasil:
I - tenham classificação em categoria de risco de crédito no mercado local equivalente a BB- ou superior, conferida por pelo menos uma das três maiores agências internacionais de classificação de risco; e
II - apresentem preço de referência publicado por entidade do mercado financeiro acreditada pelo Banco Central do Brasil.
§ 1º A classificação em categoria de risco de crédito no mercado local seguirá o critério de equivalência entre as três maiores agências internacionais de classificação de risco, na forma do Anexo 1 desta Circular.
§ 2º A Associação Brasileira das Entidades dos Mercados Financeiro e de Capitais (Anbima) e a B3 S.A. - Brasil, Bolsa, Balcão são consideradas entidades do mercado financeiro acreditadas pelo Banco Central do Brasil para os fins do inciso II do caput.
Art. 3º As operações de que trata esta Circular serão conduzidas pelo Banco Central do Brasil por meio da realização de oferta pública, da qual poderão participar todas as instituições financeiras cadastradas no módulo complementar Oferta Pública (Ofpub) do Sistema Especial de Liquidação e de Custódia (Selic).
§ 1º As pessoas jurídicas não financeiras e as pessoas físicas poderão participar da oferta por intermédio das instituições referidas no caput.
§ 2º Na hipótese de indisponibilidade do módulo complementar Ofpub, ou a critério do Banco Central do Brasil, as propostas para a oferta pública de que trata o caput poderão ser coletadas por meio de mensagens eletrônicas (e-mail), assinadas digitalmente pelo proponente, por intermédio de certificado digital emitido por autoridade certificadora da Infraestrutura de Chaves Públicas do Brasil (ICP-Brasil).
Art. 4º Na realização da oferta pública de que trata o art. 3°, o Banco Central do Brasil, visando à adequada gestão de riscos das operações de que trata esta Circular, indicará para compra de ativos privados que:
I - tenham sido emitidos de forma escritural e estejam depositados em depositário central autorizado pelo Banco Central do Brasil ou pela Comissão de Valores Mobiliários, em consonância com a Lei nº 12.810, de 15 de maio de 2013;
II - apresentem prazo para o vencimento igual ou superior a 12 (doze) meses; e
III - não sejam objeto de ônus ou gravames nem tenham cláusulas de subordinação, conversão em ações, repactuação ou permutação.
§ 1º A Diretoria Colegiada do Banco Central do Brasil, limitada ao enfrentamento da calamidade pública nacional, levará em consideração, para a realização da oferta pública de que trata o art. 3°, as condições de mercado, em particular a oferta e a demanda por liquidez no segmento correspondente do mercado financeiro, prezando pelo seu regular funcionamento.
§ 2º As condições específicas de cada oferta pública serão estabelecidas pela Diretoria Colegiada do Banco Central do Brasil e serão divulgadas ao público por comunicado expedido pelo Departamento de Operações do Mercado Aberto (Demab) antes da abertura de cada oferta pública de que trata o art. 3º.
§ 3º Para fins de seleção das propostas, que será realizada pela Diretoria Colegiada do Banco Central do Brasil, serão considerados, para cada ativo, os preços de referência das entidades do mercado financeiro acreditadas pelo Banco Central do Brasil, os preços de negociação em mercado secundário, bem como as características do ativo, a exemplo da categoria de risco, do prazo até o vencimento, da classe de remuneração e das isenções tributárias previstas em lei.
§ 4º Na hipótese de serem ofertadas condições equivalentes em duas ou mais propostas, será dada prioridade às propostas que tenham ofertado ativos emitidos por microempresas e pequenas e médias empresas, na forma do art. 10.
§ 5º O Banco Central do Brasil poderá recusar integral ou parcialmente, com base em critérios de risco, precificação e liquidez, as propostas feitas no âmbito da oferta pública de que trata o art. 3º, ainda que atendidas as condições de elegibilidade dispostas no art. 2º.
Art. 5º Não serão objeto de compra pelo Banco Central do Brasil ativos privados cujos proprietários, na sequência de consulta ao Cadastro Informativo de Créditos Não Quitados do Setor Público Federal (Cadin), deixarem de apresentar documentação comprobatória de sua regularidade perante o Poder Público, na forma da legislação aplicável.
Parágrafo único. O Banco Central do Brasil poderá comprar ativos privados de propriedade de pessoas jurídicas em débito com o sistema da seguridade social, como estabelecido em lei, na forma do disposto no parágrafo único do art. 3º da Emenda Constitucional nº 106, de 2020.
Art. 6º A liquidação das operações de que trata esta Circular ocorrerá entre o Banco Central do Brasil e as partes beneficiárias finais das operações, observando-se a entrega do ativo contra pagamento.
§ 1º Em caso de falha de liquidação imputável à parte proponente, por deficiência na entrega do ativo ou no pagamento tempestivo, a operação será cancelada.
§ 2º Os eventos financeiros relativos aos pagamentos de juros, amortizações e resgate dos ativos privados que venham a ocorrer enquanto estiverem na carteira do Banco Central do Brasil serão realizados pelos emissores dos ativos a seus representantes em depositário central.
Art. 7º A instituição financeira que tenha proposta contemplada em operação de compra de ativo de sua propriedade pelo Banco Central do Brasil, na forma desta Circular, ficará obrigada, durante a vigência da Emenda Constitucional nº 106, de 2020, às seguintes vedações:
I - remunerar o capital próprio acima:
a) do montante equivalente ao dividendo mínimo obrigatório, estabelecido pelo art. 202 da Lei nº 6.404, de 15 de dezembro de 1976, inclusive sob a forma de juros sobre o capital próprio, caso esteja constituída sob a forma de sociedade anônima; ou
b) do montante equivalente à distribuição mínima de lucro estabelecida em estatuto ou contrato social, caso esteja constituída sob a forma de sociedade limitada; e
II - aumentar a remuneração, fixa ou variável, de diretores, administradores e membros do conselho de administração e do conselho fiscal.
§ 1º Os montantes não distribuídos em decorrência do disposto no caput não podem ser objeto de obrigação de desembolso futuro, inclusive sob a forma de distribuição de lucros.
§ 2º Para fins do disposto no inciso I do caput, deve ser considerada a última versão do estatuto ou contrato social registrada no registro público competente até a data de entrada em vigor da Emenda Constitucional nº 106, de 2020.
§ 3º Os montantes mencionados no inciso I do caput são resultado da aplicação da regra de cálculo da distribuição mínima de lucro aos sócios para o período de verificação.
§ 4º A remuneração variável de que trata o inciso II do caput:
I - inclui bônus, participação nos lucros, bem como quaisquer parcelas de remuneração diferidas e outros incentivos remuneratórios associados ao desempenho; e
II - não poderá ser superior, em valores nominais ou percentuais, o que for menor, à remuneração paga no mesmo período do exercício anterior.
§ 5º As vedações de que trata o caput não se aplicam às instituições financeiras que estejam apresentando proposta de venda de ativos pertencentes a terceiros.
Art. 8º Nas operações de que trata esta Circular, o Banco Central do Brasil observará os seguintes limites de concentração em relação ao montante total de ativos privados em sua carteira, com base em categorias de risco conferidas por pelo menos uma das três maiores agências internacionais de classificação de risco:
I - 100% (cem por cento) em séries de ativos com categoria de risco de crédito no mercado local equivalente a AAA;
II - 65% (sessenta e cinco por cento) em séries de ativos com categoria de risco de crédito no mercado local equivalente a AA+, AA ou AA-;
III - 20% (vinte por cento) em séries de ativos com categoria de risco de crédito no mercado local equivalente a A+, A ou A-; e
IV - 10% (dez por cento) em séries de ativos com categoria de risco de crédito no mercado local equivalente a BBB+, BBB, BBB-, BB+, BB, BB-.
§ 1º A concentração por classificação de risco de crédito das séries de ativos (CRCi) na carteira do Banco Central do Brasil será apurada de acordo com a seguinte fórmula:

em que
I - Qk,i corresponde à quantidade da k-ésima série de ativo da i-ésima classificação de risco de crédito na carteira do Banco Central do Brasil;
II - Pk,i corresponde ao preço da k-ésima série de ativo da i-ésima classificação de risco de crédito na contabilidade do Banco Central do Brasil;
III - m corresponde ao número de séries de ativos da i-ésima classificação de risco na carteira do Banco Central do Brasil; e
IV - j corresponde ao número de classificações de risco na carteira do Banco Central do Brasil.
Art. 9º Nas operações de que trata esta Circular, o Banco Central do Brasil observará os seguintes limites relativos ao emissor e à série de ativos privados:
I - 7,5% (sete e meio por cento) de concentração por emissor, em relação ao montante total de ativos privados em sua carteira; e
II - 25% (vinte e cinco por cento) de concentração por série de ativo, em relação ao montante total da referida série em mercado.
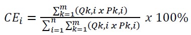
§ 1º A concentração por emissor (CEi) na carteira do Banco Central do Brasil, em relação ao montante total de ativos privados em sua carteira, será apurada de acordo com a seguinte fórmula:

em que
I - Qk,i corresponde à quantidade da k-ésima série de ativo do i-ésimo emissor na carteira do Banco Central do Brasil;
II - Pk,i corresponde o preço da k-ésima série de ativo do i-ésimo emissor na contabilidade do Banco Central do Brasil;
III - m corresponde ao número de séries de ativos do i-ésimo emissor na carteira do Banco Central do Brasil; e
IV - n corresponde ao número de emissores na carteira do Banco Central do Brasil.
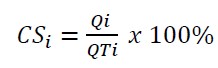
§ 2º A concentração por série de ativo (CSi) na carteira do Banco Central do Brasil, em relação ao montante total da referida série em mercado, será apurada de acordo com a seguinte fórmula:

em que
I - Qi corresponde à quantidade da i-ésima série de ativo na carteira do Banco Central do Brasil; e
II - QTi corresponde à quantidade total da i-ésima série de ativo em mercado.
§ 3º Os limites de concentração de que tratam o art. 8º e o inciso I do caput deverão ser observados quando o montante total da carteira de ativos privados do Banco Central do Brasil for superior a R$1.000.000.000,00 (um bilhão de reais).
Art. 10. Em se tratando de ativos emitidos por microempresas e por pequenas e médias empresas, na forma definida no Anexo II a esta Circular, levando em conta a Receita Operacional Bruta (ROB) dos últimos 12 (doze) meses anteriores a dezembro de 2019:
I - não se aplicam os limites de concentração definidos no art. 8º, desde que respeitadas as condições previstas no art. 2º; e
II - o limite de concentração definido no inciso II do art. 9º será de 35% (trinta e cinco por cento) por série do ativo, em relação ao montante total da referida série em mercado.
Art. 11. Nas hipóteses de desenquadramento passivo em relação aos limites estabelecidos nos arts. 8º, 9º e 10, por força de circunstâncias posteriores alheias ao controle do Banco Central do Brasil, não serão adquiridos, nas ofertas subsequentes, ativos que possam levar à ampliação do desenquadramento.
Art. 12. O Banco Central do Brasil divulgará em sua página na internet, de forma individualizada, as operações de que trata esta Circular, com todas as respectivas informações, incluindo, no mínimo, identificação do vendedor ou comprador, identificação do ativo, data de vencimento, prazo, quantidade, preço, taxa de juros implícita no preço e valor financeiro.
Parágrafo único. A divulgação de que trata o caput ocorrerá após a liquidação da operação, na forma prevista no art. 6º.
Art. 13. Fica o Demab autorizado a adotar as medidas necessárias à execução do disposto nesta Circular.
Art. 14. Esta Circular entra em vigor na data de sua publicação.
BRUNO SERRA FERNANDES
Diretor de Política Monetária
(DOU de 24.06.2020 – págs. 72 e 73 – Seção 1)
ANEXO I
Critério de equivalência da classificação em categoria de risco de crédito no mercado local entre as três maiores agências internacionais de classificação de risco
|
Categoria de risco de crédito
|
Fitch Ratings
|
Standard & Poor's
|
Moody's
|
|
AAA
|
AAA(bra)
|
brAAA
|
Aaa.br
|
|
AA+
|
AA+(bra)
|
brAA+
|
Aa1.br
|
|
AA
|
AA(bra)
|
brAA
|
Aa2.br
|
|
AA-
|
AA-(bra)
|
brAA-
|
Aa3.br
|
|
A+
|
A+(bra)
|
brA+
|
A1.br
|
|
A
|
A(bra)
|
brA
|
A2.br
|
|
A-
|
A-(bra)
|
brA-
|
A3.br
|
|
BBB+
|
BBB+(bra)
|
brBBB+
|
Baa1.br
|
|
BBB
|
BBB(bra)
|
brBBB
|
Baa2.br
|
|
BBB-
|
BBB-(bra)
|
brBBB-
|
Baa3.br
|
|
BB+
|
BB+(bra)
|
brBB+
|
Ba1.br
|
|
BB
|
BB(bra)
|
brBB
|
Ba2.br
|
|
BB-
|
BB-(bra)
|
brBB-
|
Ba3.br
|
ANEXO II
Classificação do porte da empresa emissora de ativos privados
|
Classificação
|
Receita Operacional Bruta (ROB) em 2019
|
|
Microempresa
|
Menor ou igual a R$360 mil
|
|
Pequena empresa
|
Maior que R$360 mil e menor ou igual R$4,80 milhões
|
|
Média empresa
|
Maior que R$4,80 milhões e menor ou igual a R$300 milhões
|
|
Grande empresa
|
Maior que R$300 milhões
|
Obs.: Quando a empresa integrar um grupo econômico, a classificação do porte considerará a ROB consolidada do grupo.