CIRCULAR BACEN Nº 3.938, DE 17.04.2019
Altera a Circular nº 3.876, de 31 de janeiro de 2018, que dispõe sobre metodologias e procedimentos para a avaliação da suficiência do valor de Patrimônio de Referência (PR) mantido para a cobertura do risco de variação das taxas de juros em instrumentos classificados na carteira bancária (IRRBB), a identificação, mensuração e controle do IRRBB, e altera a Circular nº 3.930, de 14 de fevereiro de 2019, nos dispositivos relacionados à divulgação pública e remessa ao Banco Central do Brasil de informações relativas ao IRRBB para as instituições enquadradas no Segmento 3 (S3).
A Diretoria Colegiada do Banco Central do Brasil, em sessão realizada em 17 de abril de 2019, com base nos arts. 10, inciso IX, 11, inciso VII, e 37 da Lei nº 4.595, de 31 de dezembro 1964, e tendo em vista o disposto na Resolução nº 4.193, de 1º de março de 2013, na Resolução nº 4.553, de 30 de janeiro de 2017, e na Resolução nº 4.557, de 23 de fevereiro de 2017,
RESOLVE:
Art. 1º A Circular nº 3.876, de 31 de janeiro de 2018, passa a vigorar com as seguintes alterações:
“Art. 2º O disposto nesta Circular aplica-se às instituições enquadradas no Segmento 1 (S1), no Segmento 2 (S2) e no Segmento 3 (S3), nos termos do art. 2º da Resolução nº 4.553, de 30 de janeiro de 2017.”(NR)
“Art. 4º ............................................................................................................
.........................................................................................................................
II - ser adequadamente documentado no relatório do Processo Interno de Avaliação da Adequação de Capital (Icaap), para instituições enquadradas no S1, e no relatório do Processo Interno Simplificado de Avaliação da Adequação de Capital (IcaapSimp), para instituições enquadradas no S2.” (NR)
“Art. 11. ..........................................................................................................
.........................................................................................................................
§ 1º Para fins do disposto no caput, consideram-se os seguintes cenários de choque padronizados:
I - para i=1, aumento das taxas de juros de curto prazo e de longo prazo (paralelo de alta); e
II - para i=2, redução das taxas de juros de curto prazo e de longo prazo (paralelo de baixa).
§ 2º-A Para as instituições enquadradas no S1 e no S2, devem ser considerados os seguintes cenários de choque padronizado adicionais:
I - para i=3, aumento das taxas de juros de curto prazo;
II - para i=4, redução das taxas de juros de curto prazo;
III - para i=5, redução das taxas de juros de curto prazo e aumento das taxas de juros de longo prazo (steepener); e
IV - para i=6, aumento das taxas de juros de curto prazo e redução das taxas de juros de longo prazo (flattener).
§ 2º-B Para os cenários mencionados nos §§ 1º e 2º-A, os choques Δ??,? devem ser calculados de acordo com as seguintes fórmulas:
I - para i=1,
Δ?1,? (?? ) = ? ̅ ????????,?;
II - para i=2,
Δ?2,? (??) = − ? ̅ ????????,?;
III - para i=3,
Δ?3,? (??) = ? ̅ ?????,? ∙ ?−?? 4 ;
IV - para i=4,
Δ?4,? (??) = −? ̅ ?????,? ∙ ?−?? 4 ;
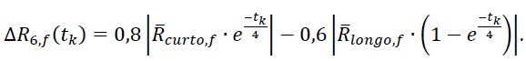
V - para i=5,

VI - para i=6,

§ 3º Os valores de ? ̅ ????????,?, ? ̅ ?????,? e ? ̅ ?????,? , mencionados no § 2º-B, são definidos no Anexo 1 desta Circular, segregados por fator de risco.
§ 4º Para os instrumentos que possuírem exposição simultânea a fatores de risco de taxa de juros pós-fixadas e a taxas de cupons prefixadas, o cálculo das métricas de ΔEVE segundo a abordagem padronizada deve observar os seguintes procedimentos:
I - os valores de ? ̅ ????????,? referentes às taxas de cupons devem ser compatíveis com o 1º e o 99º percentis de uma distribuição histórica de variações nas taxas de cupom, considerando o período de manutenção (holding period) de um ano e o período de observação de cinco anos;
II - os valores de ? ̅ ?????,? referentes às taxas de cupons devem ser 25% (vinte e cinco por cento) superiores ao valor de ? ̅ ????????,? referente às taxas de cupons, de que trata o inciso I; e
III - os valores de ? ̅ ?????,? referentes às taxas de cupons devem ser 25% (vinte e cinco por cento) inferiores ao valor de ? ̅ ????????,? referente às taxas de cupons, de que trata o inciso I.
§ 5º Para os instrumentos que possuírem exposição simultânea a fatores de risco de taxa de juros pós-fixadas e a taxas de cupons prefixadas, o cálculo das métricas de ΔNII segundo a abordagem padronizada deve observar os seguintes procedimentos:
I - os valores de ? ̅ ????????,? referentes às taxas de cupons devem ser equivalentes aos valores de ? ̅ ????????,? utilizados no cálculo das métricas de ΔEVE; e
II - a soma dos valores de ? ̅ ????????,? utilizados no fator de risco de taxa de juros pós-fixadas e nas taxas de cupons prefixadas deve ser igual ao ? ̅ ????????,? para instrumentos referenciados em taxas de juros prefixadas na moeda de sua emissão.” (NR)
“Art. 13. O ΔEVE, apurado pela abordagem padronizada (Δ???????Ã? ), deve ser calculado de acordo com a seguinte fórmula:

em que o índice “i” corresponde aos cenários descritos no art. 11.
.........................................................................................................................
§ 7º Para as instituições enquadradas no S3, é facultativo o cálculo da medida de riscos de opcionalidades automáticas (????,?), de que tratam os §§ 3º e 6º, quando o risco de opcionalidades automáticas associado não atender a critérios de relevância avaliados de forma consistente, documentada e passível de verificação.” (NR)
“Art. 15. Para a apuração do Δ???????Ã? e do ΔNII????Ã?, as instituições enquadradas no S1 e no S2 devem considerar todas as opcionalidades automáticas de taxas de juros, tanto em posições compradas quanto vendidas.” (NR)
“Art. 15-A. Para a apuração do Δ???????Ã? e do ΔNII????Ã?, as instituições enquadradas no S3 podem desconsiderar as opcionalidades automáticas de taxas de juros quando o risco de opcionalidades associado não atender a critérios de relevância avaliados de forma consistente, documentada e passível de verificação.” (NR)
“Art. 15-B. Para a apuração do Δ???????Ã? e do Δ???????Ã?, os seguintes tratamentos devem ser aplicados aos instrumentos com opcionalidades automáticas embutidas:
I - as opcionalidades devem ser alocadas separadamente em relação ao instrumento a que estejam vinculadas, recebendo o tratamento dado às opcionalidades automáticas de taxas de juros, conforme descrito no art. 13, § 6º; e
II - os demais fluxos de reapreçamento do instrumento devem ser alocados desconsiderando o exercício das opcionalidades.” (NR)
“Art. 17. As instituições enquadradas no S1 e no S2 devem classificar os depósitos sem vencimento contratual definido, segundo sua natureza, nas seguintes categorias:
................................................................................................................” (NR)
“Art. 18. As instituições enquadradas no S1 e no S2 devem classificar os depósitos sem vencimento contratual definido, segundo o seu grau de estabilidade, nas seguintes categorias:
................................................................................................................” (NR)
“Art. 20. Para instituições enquadradas no S1 e no S2, a alocação dos depósitos sem vencimento contratual definido em vértices temporais deve observar os seguintes critérios:
................................................................................................................” (NR)
“Art. 20-A. Para instituições enquadradas no S3, o prazo médio da alocação em vértices temporais dos depósitos sem vencimento contratual definido não pode ultrapassar 1.260 dias úteis.” (NR)
“Art. 21. ..........................................................................................................
.........................................................................................................................
§ 5º É facultado às instituições enquadradas no S3 desconsiderar os riscos de pré-pagamento que não atendam a critérios de relevância avaliados de forma consistente, documentada e passível de verificação.” (NR)
“Art. 22. ..........................................................................................................
.........................................................................................................................
§ 7º É facultado às instituições enquadradas no S3 desconsiderar os riscos de resgate antecipado que não atendam a critérios de relevância avaliados de forma consistente, documentada e passível de verificação.” (NR)
“Art. 38. A avaliação da adequação de capital, de que trata o art. 40, inciso VI, da Resolução nº 4.557, de 2017, deve considerar, especificamente para o IRRBB:
................................................................................................................” (NR)
“Art. 39. A instituição deve divulgar:
I - os objetivos e as políticas de gerenciamento de risco relativos ao IRRBB, no formato padrão definido na Tabela A do Anexo II desta Circular;
II - os valores calculados de ΔEVE e de ΔNII, no formato padrão definido na Tabela B do Anexo II desta Circular.
§ 1º No cálculo das métricas de ΔEVE e de ΔNII de que trata o caput, inciso II, deve-se:
................................................................................................................” (NR)
“Art. 44. As instituições enquadradas no S1 e no S2 serão avaliadas periodicamente pelo Banco Central do Brasil quanto à exposição potencialmente elevada ao IRRBB (teste de outlier).
................................................................................................................” (NR)
“Art. 48-A. Para a instituição enquadrada no S3:
I - admite-se a observância do disposto nesta Circular a partir de 1º de janeiro de 2020;
II - fica dispensada a observância do disposto nos arts. 27, §§ 1º, 2º e 3º, 30, incisos II e VIII, 32, 33, 34, incisos II e III, 35, § 3º, 36, 37 e 38, incisos I, II, IV, VII e parágrafo único; e
III - admite-se a divulgação das informações de que trata o art. 39 a partir da data-base de 31 de dezembro de 2019.” (NR)
“Art. 50. ..........................................................................................................
.........................................................................................................................
III - as instituições enquadradas no S3: a partir de 1º de janeiro de 2020.” (NR)
Art. 2º A Circular nº 3.930, de 14 de fevereiro de 2019, passa a vigorar com a seguinte alteração:
“Art. 20. ..........................................................................................................
.........................................................................................................................
V - operações de securitização: SECA;
VI - risco de mercado: MRA e MR1; e
VII - risco de variação das taxas de juros em instrumentos classificados na carteira bancária: IRRBBA e IRRBB1.
................................................................................................................” (NR)
Art. 3º O Anexo I da Circular nº 3.930, de 2019, passa a vigorar com a redação dada no anexo I a esta Circular
Art. 4º Ficam revogados os incisos III, IV, V e VI do § 1º e o § 2º do art. 11 da Circular nº 3.876, de 2018.
Art. 5º Esta Circular entra em vigor na data de sua publicação.
Otávio Ribeiro Damaso
Diretor de Regulação
(DOU de 22.04.2019 - pág. 29-31, retificado em 23.04.2019 - pág. 107 - Seção 1)
ANEXO I
|
|
Tabelas |
Formato |
Frequência |
Segmentação |
|
Indicadores prudenciais e gerenciamento de riscos |
KM1 - Informações quantitativas sobre os requerimentos prudenciais |
Fixo |
Trimestral |
S1 a S3 |
|
OVA - Visão geral do gerenciamento de riscos da instituição |
Flexível |
Anual |
S1 a S4 |
|
|
OV1 - Visão geral dos ativos ponderados pelo risco (RWA) |
Fixo |
Trimestral |
S1 a S3 |
|
|
Comparação en-tre as informações contábeis e prudenciais |
LIA - Explicação das diferenças entre valores registrados nas demonstra-ções contábeis e valores das exposi-ções sujeitas a tratamento prudencial |
Flexível |
Anual |
S1 e S2 |
|
LI1 - Diferenças entre o escopo de consolidação contábil e o escopo de tratamento prudencial, bem como o detalhamento dos valores associados às categorias de risco |
Fixo |
Anual |
S1 e S2 |
|
|
LI2 - Principais causas das diferenças entre os valores considerados na regulamentação prudencial e os valores das exposições |
Flexível |
Anual |
S1 e S2 |
|
|
PV1 - Ajustes prudenciais (PVA) |
Fixo |
Anual |
S1 e S2 |
|
|
Composição do capital |
CCA - Principais características dos instrumentos do Patrimônio de Referência (PR) |
Flexível |
Semestral |
S1, S2 e instituições emitentes de Capital Complementar ou de Nível II |
|
CC1 - Composição do Patrimônio de Referência (PR) |
Fixo |
Semestral |
S1, S2 e instituições emitentes de Capital Complementar ou de Nível II |
|
|
CC2 - Conciliação do Patrimônio de Referência (PR) com o balanço patrimonial |
Flexível |
Semestral |
S1, S2 e instituições emitentes de Capital Complementar ou de Nível II |
|
|
Indicadores macroprudenciais |
GSIB1 - Indicadores utilizados para caracterização de instituição financeira como sistemicamente importante em âmbito global (G-SIBs) |
Fixo |
Anual |
Instituição sujeita ao disposto na Circular nº 3.751, de 2015 |
|
CCyB1 - Distribuição geográfica das exposições ao risco de crédito consideradas no cálculo do ACPContracíclico |
Fixo |
Semestral |
S1 e S2 |
|
|
Razão de alavancagem |
LR1 - Comparação entre informações das demonstrações financeiras e as utilizadas para apuração da Razão de Alavancagem (RA) |
Fixo |
Semestral |
S1 e S2 |
|
LR2 - Informações detalhadas sobre a Razão de Alavancagem |
Fixo |
Trimestral |
S1 e S2 |
|
|
Indicadores de liquidez |
LIQA - Informações qualitativas sobre o gerenciamento do risco de liquidez |
Flexível |
Anual |
S1 a S3 |
|
LIQ1 - Indicador Liquidez de Curto Prazo (LCR) |
Fixo |
Trimestral |
S1 |
|
|
LIQ 2 Indicador Liquidez de Longo Prazo (NSFR) |
Fixo |
Trimestral |
S1 |
|
|
Risco de crédito |
CRA - Informações qualitativas sobre o gerenciamento do risco de crédito |
Flexível |
Anual |
S1 a S3 |
|
CR1 - Qualidade creditícia das exposições |
Fixo |
Semestral |
S1 a S3 |
|
|
CR2 - Mudanças no estoque de ativos problemáticos |
Fixo |
Semestral |
S1 a S3 |
|
|
CRB - Informações adicionais sobre a qualidade creditícia das exposições |
Flexível |
Anual |
S1 a S3 |
|
|
CRC - Informações sobre instrumentos mitigadores do risco de crédito |
Flexível |
Anual |
S1 e S2 |
|
|
CR3 - Visão geral das técnicas de mitigação do risco de crédito |
Fixo |
Semestral |
S1 e S2 |
|
|
CR4 - Abordagem padronizada - exposições e efeitos da mitigação do risco de crédito |
Fixo |
Semestral |
S1 e S2 |
|
|
CR5 - Abordagem padronizada - segregação de exposições por contraparte e por fator de ponderação de risco (FPR) |
Fixo |
Semestral |
S1 e S2 |
|
|
Risco de crédito de contraparte (CCR) |
CCRA - Informações qualitativas sobre o gerenciamento do risco de crédito de contraparte (CCR) |
Flexível |
Anual |
S1 a S3 |
|
CCR1 - Análise das exposições ao risco de crédito de contraparte (CCR) por abordagem utilizada |
Fixo |
Semestral |
S1 e S2 |
|
|
CCR3 - Abordagem Padronizada - segregação das exposições ao CCR por contraparte e por fator de ponderação de risco |
Fixo |
Semestral |
S1 e S2 |
|
|
CCR5 - Colaterais financeiros associados a exposições ao risco de crédito de contraparte |
Fixo |
Semestral |
S1 e S2 |
|
|
CCR6 - Informações sobre o risco de crédito de contraparte associado a derivativos de crédito |
Fixo |
Semestral |
S1 e S2 |
|
|
CCR8 - Informações sobre o risco de crédito de contraparte associado a exposições a contrapartes centrais |
Fixo |
Semestral |
S1 e S2 |
|
|
Exposições de securitização |
SECA - Informações qualitativas sobre o gerenciamento de risco das exposições de securitização |
Flexível |
Anual |
S1 a S3 |
|
SEC1 - Exposições de securitização classificadas na carteira bancária |
Flexível |
Semestral |
S1 e S2 |
|
|
SEC2 - Exposições de securitização classificadas na carteira de negociação |
Flexível |
Semestral |
S1 e S2 |
|
|
SEC3 - Exposições de securitização da carteira bancária e requerimentos de capital - instituição como originadora ou patrocinadora |
Fixo |
Semestral |
S1 e S2 |
|
|
SEC4 - Exposições de securitização da carteira bancária e requerimentos de capital - instituição como investidora |
Fixo |
Semestral |
S1 e S2 |
|
|
Risco de mercado |
MRA - Informações qualitativas sobre o gerenciamento de risco de mercado |
Flexível |
Anual |
S1 a S3 |
|
MR1 - Abordagem padronizada - fatores de risco associados ao risco de mercado |
Fixo |
Semestral |
S1 a S3 |
|
|
MRB - Informações qualitativas sobre a abordagem de modelos internos de risco de mercado |
Flexível |
Anual |
Instituição financeira autorizada a utilizar modelos internos |
|
|
MR2 - Informações sobre as variações da parcela RWAMINT |
Fixo |
Trimestral |
||
|
MR3 - Valores dos modelos internos de risco de mercado |
Fixo |
Trimestral |
||
|
MR4 - Comparação das estimativas do VaR com os resultados efetivo e hipotético |
Flexível |
Trimestral |
||
|
IRRBB Remuneração de administradores |
IRRBBA - objetivos e políticas para o gerenciamento de IRRBB |
Flexível |
Anual |
S1 a S3 |
|
IRRBB1 - Informações qualitativas sobre o IRRBB |
Fixo |
Anual |
S1 a S3 |
|
|
REMA - Política de remuneração |
Flexível |
Anual |
S1 e S2 |
|
|
REM1 - Remuneração atribuída durante o ano de referência |
Flexível |
Anual |
S1 e S2 |
|
|
REM2 - Pagamentos extraordinários |
Flexível |
Anual |
S1 e S2 |
|
|
REM3 - Remuneração diferida |
Flexível |
Anual |
S1 e S2 |