CONTEÚDO
CIRCULAR BACEN Nº 3.863, DE 07.12.2017
Estabelece os procedimentos para o cálculo da parcela dos ativos ponderados pelo risco na forma simplificada (RWAS5) relativa ao cálculo do capital requerido para o risco operacional mediante abordagem padronizada simplificada (RWAROSimp), de que trata a Resolução nº 4.606, de 19 de outubro de 2017.
A Diretoria Colegiada do Banco Central do Brasil, em sessão realizada em 7 de dezembro de 2017, com base no disposto nos arts. 9º, 10, inciso IX, e 11, inciso VII, da Lei nº 4.595, de 31 de dezembro de 1964, e tendo em vista o disposto no art. 11 da Resolução nº 4.606, de 19 de outubro de 2017,
RESOLVE:
CAPÍTULO I
DO OBJETO DE APLICAÇÃO
Art. 1º Esta Circular estabelece os procedimentos para o cálculo da parcela dos ativos ponderados pelo risco na forma simplificada (RWAS5) relativa ao cálculo do requerimento de capital para cobertura do risco operacional mediante abordagem padronizada simplificada (RWAROSimp), de que trata a Resolução nº 4.606, de 19 de outubro de 2017.
CAPÍTULO II
DO CÁLCULO DA PARCELA RWAROSimp
Art. 2º O valor da parcela RWAROSimp deve ser apurado semestralmente, considerados os últimos três períodos anuais.
§ 1º Para fins do disposto nesta Circular, entende-se como período anual o conjunto de dados correspondentes a dois semestres consecutivos que se encerram na data-base de 30 de junho ou de 31 de dezembro.
§ 2º O valor da parcela RWAROSimp deve ser apurado com informações relativas às datas-bases mencionadas no § 1º.
§ 3º O valor da parcela RWAROSimp apurado com informações relativas a cada data-base deve ser mantido até a data-base seguinte.
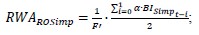
Art. 3º O valor da parcela RWAROSimp deve ser apurado com base na seguinte fórmula:

em que:
I - F’ = requerimento mínimo de PRS5 estabelecido no art. 12 da Resolução nº 4.606, de 2017;
II - α = 5% (cinco por cento) para instituição pertencente ao grupo I ou ao grupo II, de que trata o art. 2º, incisos I e II, da Resolução nº 4.606, de 2017;
III - α = 15% (quinze por cento) para instituição pertencente ao grupo III, de que trata o art. 2º, inciso III, da Resolução nº 4.606, de 2017; e
IV - ???????= Indicador Simplificado de Exposição ao Risco Operacional no período anual “t”.
Art. 4º O BISimp corresponde, para cada período anual, à soma dos seguintes componentes:
??????? = ???? + ???, em que:
I - CFAt = componente financeiro ampliado do período anual “t”; e
II - CSt = componente de prestação de serviços e outros resultados operacionais do período anual “t”.
§ 1º O componente CFAt deve ser apurado, em cada período anual “t”, de acordo com a seguinte fórmula:
???? = ???(??? − ???(??? ) + ??? ) + ???(????), em que:
I - Abs(∙) é a função que retorna o valor absoluto do parâmetro;
II - RJt = receitas de juros e arrendamentos do período anual “t”;
III - DJt = despesas de juros e arrendamentos do período anual “t”;
IV - RPt = receitas de participações do período anual “t”; e
V - RFLt = resultado financeiro líquido referente ao período anual “t”.
§ 2º O componente CSt deve ser apurado, em cada período anual “t”, de acordo com a seguinte fórmula:
??? = ???(???; ???(???)) + ???(????; ???(????)), em que:
I - Abs(∙) é a função que retorna o valor absoluto do parâmetro;
II - Max(∙) é a função que retorna o maior valor dentre os diferentes parâmetros;
III - RSt = receitas de serviços do período anual “t”;
IV - DSt = despesas de serviços do período anual “t”;
V - OROt = outras receitas operacionais do período anual “t”; e
VI - ODOt = outras despesas operacionais do período anual “t”.
Art. 5º A instituição que ainda não tenha completado três períodos anuais em atividade deve efetuar o cálculo da parcela RWAROSimp da seguinte forma:
I - enquanto a instituição não tenha completado a terceira data-base em atividade, a parcela RWAROSimp deve corresponder a:
a) 10% (dez por cento) do somatório das parcelas RWARCSimp e RWACAMSimp, caso a instituição pertença ao grupos I ou II;
b) 160% (cento e sessenta por cento) do somatório das parcelas RWARCSimp e RWACAMSimp, caso a instituição pertença ao grupo III;
II - após a instituição completar a terceira data-base em atividade, o cálculo da parcela RWAROSimp deve:
a) apurar o ???????com base nas informações relativas às duas últimas datas-bases; e
b) utilizar a seguinte fórmula:

III - após a instituição completar a quarta data-base em atividade, o cálculo da parcela RWAROSimp deve:
a) apurar o ??????? com base nas informações relativas às três últimas datas-bases; e
b) utilizar a seguinte fórmula:

IV - após a instituição completar a quinta data-base em atividade, o cálculo da parcela RWAROSimp deve:
a) apurar o ??????? com base nas informações relativas aos dois últimos períodos anuais; e
b) utilizar a seguinte fórmula:

V - após a instituição completar a sexta data-base em atividade, o cálculo da parcela RWAROSimp deve:
a) apurar o ??????? relativo ao período anual mais recente com base nas informações relativas às duas últimas datas-bases;
b) apurar o ??????? relativo ao segundo período anual com base nas informações referentes aos três semestres imediatamente anteriores àqueles do período anual mais recente, multiplicando-se a soma dos componentes do ??????? por 02/3 (dois terços); e
c) utilizar a seguinte fórmula:

VI - após a instituição completar a sétima data-base em atividade, o cálculo da parcela RWAROSimp deve ser feito com a fórmula prevista no art. 3º.
Art. 6º A instituição financeira resultante de processo de fusão ou incorporação deve efetuar o cálculo da parcela RWAROSimp utilizando o somatório dos subcomponentes mencionados no art. 4º, §§ 1º e 2º, de cada instituição original, para apuração do BISimp da instituição resultante.
Art. 7º A instituição financeira resultante de processo de cisão deve efetuar o cálculo da parcela RWAROSimp utilizando valores para os subcomponentes mencionados no art. 4º, §§ 1º e 2º, de maneira proporcional à divisão verificada nos ativos da instituição original.
Art. 8º Os procedimentos definidos nos arts. 5º, 6º e 7º somente podem ser utilizados para os períodos anuais em que as informações relativas à nova instituição não estiverem disponíveis.
Art. 9º As instituições integrantes de conglomerado prudencial nos termos do Plano Contábil das Instituições do Sistema Financeiro Nacional (Cosif) devem efetuar o cálculo do montante RWAROSimp com base em demonstrações contábeis consolidadas.
Art. 10. A instituição que deixe de elaborar as demonstrações contábeis na forma individual e passe a elaborá-las na forma do conglomerado prudencial, ou vice-versa, deve efetuar o cálculo da parcela RWAROSimp da seguinte forma:
I - enquanto a instituição não tenha completado a terceira data-base na forma atual de elaboração das demonstrações contábeis, a parcela RWAROSimp deve corresponder ao somatório das parcelas RWARCSimp e RWACAMSimp, multiplicado pelo máximo entre:
a) o quociente entre o saldo da parcela RWAROSimp e o somatório dos saldos das parcelas RWARCSimp e RWACAMSimp, apurados antes da mudança na forma de elaboração das demonstrações contábeis mencionada no caput;
b) 10% (dez por cento) caso a instituição pertença ao grupo I ou ao grupo II, de que trata o art. 2º, incisos I e II, da Resolução nº 4.606, de 2017; ou
c) 160% (cento e sessenta por cento), caso a instituição pertença ao grupo III, de que trata o art. 2º, inciso III, da Resolução nº 4.606, de 2017;
II - após a instituição completar a terceira data-base, contada a partir da mudança na forma de elaboração das demonstrações contábeis, a parcela RWAROSimp deve corresponder ao disposto no art. 5º.
Art. 11. Os dados utilizados no cálculo do montante RWAS5 devem ser conciliados com as informações auditadas semestral e anualmente.
CAPÍTULO III
DA DISPOSIÇÃO FINAL
Art. 12. Esta Circular entra em vigor em 18 de fevereiro de 2018.
Otávio Ribeiro Damaso
Diretor de Regulação
(DOU de 11.12.2017 - pág. 63/64, retificado em 12.12.2017 - pág. 24/25 - Seção 1)