CIRCULAR BACEN Nº 3.850, DE 26.09.2017
Dispõe sobre procedimento para o cálculo da taxa de juros “Jm” de que trata o art. 2º da Resolução nº 4.600, de 25 de setembro de 2017.
A Diretoria Colegiada do Banco Central do Brasil, em sessão realizada em 26 de setembro de 2017, tendo em vista o disposto no art. 6º da Resolução nº 4.600, de 25 de setembro de 2017,
RESOLVE:
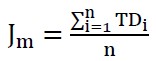
Art. 1º A taxa “Jm” de que trata o art. 2º da Resolução nº 4.600, de 25 de setembro de 2017, será calculada com base nas taxas relativas ao prazo de cinco anos apuradas a cada dia útil a partir da estrutura a termo de taxas de juros das Notas do Tesouro Nacional, Série B (NTN-B) - TD, de acordo com a seguinte fórmula:

em que:
I - TDi corresponde a i-ésima taxa de juros relativa ao prazo de cinco anos apurada a partir da estrutura a termo de taxas de juros das NTN-B, disponível nos três meses imediatamente anteriores ao dia de apuração da taxa “Jm”, contados de data a data, expressa sob a forma anual, considerando a convenção de 252 dias úteis, com duas casas decimais;
II - n corresponde ao número de dias úteis com taxas TD disponíveis nos três meses imediatamente anteriores ao dia de apuração da taxa “Jm”, contados de data a data.
Parágrafo único. A taxa “Jm” será expressa sob a forma anual, considerando a convenção de 252 dias úteis, com duas casas decimais.
Art. 2º As taxas TD mencionadas no inciso I do art. 1º serão calculadas a partir da estrutura a termo de taxas de juros das NTN-B a ser estimada diariamente com base na seguinte fórmula, conforme determinado pelo art. 3º da Resolução nº 4.600, de 2017:

em que:
I - τ corresponde ao prazo, em anos, considerando a convenção de 252 dias úteis;
II - β0, β1, β2, β3, λ1 e λ2 correspondem aos parâmetros calculados a partir de metodologia de minimização de erros gerados no processo de estimação de que trata o art. 5º;
III - r(τ) corresponde à taxa de juros à vista, com capitalização contínua, relativa ao prazo τ expressa sob a forma anual, considerando a convenção de 252 dias úteis.
Parágrafo único. Para fins de apuração das taxas de juros a que se refere o caput, será aplicada conversão ao regime de capitalização anual, considerando a convenção de 252 dias úteis.
Art. 3º A base de dados para a estimação da estrutura a termo de taxas de juros de que trata o art. 2º serão as operações definitivas com NTN-B realizadas no mercado secundário, registradas no Sistema Especial de Liquidação e de Custódia (Selic), excluídas as operações que apresentarem taxas discrepantes, de acordo com tratamento estatístico.
§ 1º O vencimento de NTN-B que sistematicamente não apresentar negociações no mercado secundário será excluído da base de dados.
§ 2º Se determinado vencimento de NTN-B não apresentar negociação no mercado secundário no dia ou não apresentar número suficiente de negócios que possibilite a estimação adequada de sua taxa, será utilizada taxa de juros indicativa que tenha ampla aceitação como referência de preços no mercado financeiro nacional, para a NTN-B daquele vencimento.
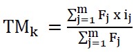
Art. 4º Para cada vencimento de NTN-B que compõe a base de dados de que trata o art. 3º será calculada, a cada dia útil, a taxa de juros média - TM, de acordo com a seguinte fórmula:

em que:
I - Fj corresponde ao montante financeiro da j-ésima operação definitiva do k-ésimo vencimento de NTN-B;
II - ij corresponde à taxa de juros da j-ésima operação definitiva do k-ésimo vencimento de NTN-B, expressa sob a forma anual, considerando a convenção de 252 dias úteis;
III - m corresponde ao número de operações definitivas com o k-ésimo vencimento de NTN-B.
Art. 5º Os parâmetros β0, β1, β2, β3, λ1 e λ2 mencionados no art. 2º serão calculados diariamente a partir da minimização da média dos quadrados dos erros de estimação.
§ 1º Os erros de estimação consistem na diferença entre o preço médio de cada vencimento de NTN-B que compõe a base de cálculo e o respectivo preço teórico.
§ 2º O preço médio de cada vencimento de NTN-B corresponde ao somatório de seus pagamentos descontados pela taxa de juros média calculada de acordo com o art. 4º.
§ 3º O preço teórico de cada vencimento de NTN-B corresponde ao somatório de seus pagamentos descontados pelas taxas de juros estimadas conforme a estrutura a termo de taxa de juros de que trata o art. 2º para cada prazo de pagamento.
§ 4º O quadrado do erro de estimação de cada vencimento de NTN-B será ponderado pelo valor inverso da medida da duração do título a que se refere.
§ 5º Na eventual impossibilidade de estimar, para um determinado dia, os parâmetros mencionados no caput, inclusive em virtude de insuficiência de informações, serão adotados no cálculo da taxa de juros relativa ao prazo de cinco anos os parâmetros utilizados no dia útil imediatamente anterior.
Art. 6º Fica o Departamento de Operações do Mercado Aberto (Demab) autorizado a adotar as medidas julgadas necessárias à execução do disposto nesta Circular.
Art. 6º Fica o Departamento de Operações do Mercado Aberto (Demab) autorizado a adotar as medidas julgadas necessárias à execução do disposto nesta Circular.
Art. 7º Esta Circular entra em vigor na data de sua publicação.
Reinaldo Le Grazie
Diretor de Política Monetária
(DOU de 28.09.2017 - pág. 55 - Seção 1)